Câu 6 trang 233 sgk Vật Lý 10 nâng cao
Bài 47: Phương trình trạng thái của khí lí tưởng. Định luật Gay Luy - xác
Câu 6 (trang 233 sgk Vật Lý 10 nâng cao): Từ định luật Boilo- Mariot và định luật Gay Luy-xac suy ra phương trình trạng thái của chất khí.
Lời giải:
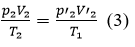
HDTL: xét một lượng khí không đổi, biến đổi trạng thái qua hai quá trình:
- Quá trình đẳng nhiệt:
Quá trình đẳng áp từ (2’) → (2)
- Từ (1) và (3) suy ra
Các bài giải Lý 10 nâng cao bài 47 chương 6 khác:
Trả lời câu hỏi C giữa bài
Trả lời Câu hỏi (trang 233)
Câu 1 (trang 233 sgk Vật Lí 10 nâng cao): Thiết lập phương trình trạng thái bằng cách...
Câu 2 (trang 233 sgk Vật Lí 10 nâng cao): Từ phương trình trạng thái (74.4), hãy tìm...
Câu 3 (trang 233 sgk Vật Lí 10 nâng cao): Hai phương trình trạng thái của hai lượng khí...
Câu 4 (trang 233 sgk Vật Lí 10 nâng cao): Viết phương trình biểu diễn định luật Bôi-lơ-Ma-ri-ốt...
Câu 5 (trang 233 sgk Vật Lí 10 nâng cao): Từ phương trình (47.5) suy ra phương trình...
Câu 6 (trang 233 sgk Vật Lí 10 nâng cao): Từ định luật Bôi-lơ-Ma-ri-ốt và định luật...
Giải Bài tập (trang 233)
Bài 1 (trang 233 sgk Vật Lí 10 nâng cao): Đối với một lượng khí xác định, quá trình...
Bài 2 (trang 233 sgk Vật Lí 10 nâng cao): Nén 10l khí ở nhiệt độ 27oC để cho thể tích...
Bài 3 (trang 233 sgk Vật Lí 10 nâng cao): Một bình bằng thép dung tích 50 l chứa khí...
Bài 4 (trang 233 sgk Vật Lí 10 nâng cao): Một mol khí ở áp suất 2atm và nhiệt độ 30oC...
Để học tốt lớp 10 các môn học sách mới:
- Giải bài tập Lớp 10 Kết nối tri thức
- Giải bài tập Lớp 10 Chân trời sáng tạo
- Giải bài tập Lớp 10 Cánh diều
Tủ sách VIETJACK shopee lớp 10-11 (cả 3 bộ sách):
Đã có app VietJack trên điện thoại, giải bài tập SGK, SBT Soạn văn, Văn mẫu, Thi online, Bài giảng....miễn phí. Tải ngay ứng dụng trên Android và iOS.
Theo dõi chúng tôi miễn phí trên mạng xã hội facebook và youtube:Nếu thấy hay, hãy động viên và chia sẻ nhé! Các bình luận không phù hợp với nội quy bình luận trang web sẽ bị cấm bình luận vĩnh viễn.
- Giải Tiếng Anh 10 Global Success
- Giải Tiếng Anh 10 Friends Global
- Giải sgk Tiếng Anh 10 iLearn Smart World
- Giải sgk Tiếng Anh 10 Explore New Worlds
- Lớp 10 - Kết nối tri thức
- Soạn văn 10 (hay nhất) - KNTT
- Soạn văn 10 (ngắn nhất) - KNTT
- Soạn văn 10 (siêu ngắn) - KNTT
- Giải sgk Toán 10 - KNTT
- Giải sgk Vật lí 10 - KNTT
- Giải sgk Hóa học 10 - KNTT
- Giải sgk Sinh học 10 - KNTT
- Giải sgk Địa lí 10 - KNTT
- Giải sgk Lịch sử 10 - KNTT
- Giải sgk Kinh tế và Pháp luật 10 - KNTT
- Giải sgk Tin học 10 - KNTT
- Giải sgk Công nghệ 10 - KNTT
- Giải sgk Hoạt động trải nghiệm 10 - KNTT
- Giải sgk Giáo dục quốc phòng 10 - KNTT
- Lớp 10 - Chân trời sáng tạo
- Soạn văn 10 (hay nhất) - CTST
- Soạn văn 10 (ngắn nhất) - CTST
- Soạn văn 10 (siêu ngắn) - CTST
- Giải Toán 10 - CTST
- Giải sgk Vật lí 10 - CTST
- Giải sgk Hóa học 10 - CTST
- Giải sgk Sinh học 10 - CTST
- Giải sgk Địa lí 10 - CTST
- Giải sgk Lịch sử 10 - CTST
- Giải sgk Kinh tế và Pháp luật 10 - CTST
- Giải sgk Hoạt động trải nghiệm 10 - CTST
- Lớp 10 - Cánh diều
- Soạn văn 10 (hay nhất) - Cánh diều
- Soạn văn 10 (ngắn nhất) - Cánh diều
- Soạn văn 10 (siêu ngắn) - Cánh diều
- Giải sgk Toán 10 - Cánh diều
- Giải sgk Vật lí 10 - Cánh diều
- Giải sgk Hóa học 10 - Cánh diều
- Giải sgk Sinh học 10 - Cánh diều
- Giải sgk Địa lí 10 - Cánh diều
- Giải sgk Lịch sử 10 - Cánh diều
- Giải sgk Kinh tế và Pháp luật 10 - Cánh diều
- Giải sgk Tin học 10 - Cánh diều
- Giải sgk Công nghệ 10 - Cánh diều
- Giải sgk Hoạt động trải nghiệm 10 - Cánh diều
- Giải sgk Giáo dục quốc phòng 10 - Cánh diều


Giải bài tập SGK & SBT
Tài liệu giáo viên
Sách
Khóa học
Thi online
Hỏi đáp

