Bài 1 trang 156 sgk Vật Lý 11 nâng cao
Bài 31: Tương tác giữa hai dòng điện thẳng song song. Định nghĩa đơn vị ampe
Bài 1 (trang 156 sgk Vật Lý 11 nâng cao): Chọn phương án đúng
Khi tăng đồng thời cường độ dòng điện trong cả hai dây dẫn song song lên 3 lần thì lực tác dụng lên một đơn vị chiều dài của mỗi dây tăng lên:
A. 3 lần B. 6 lần C. 9 lần D. 12 lần
Lời giải:
Lực tác dụng lên một đơn vị chiều dài của mỗi dây lúc đầu là:
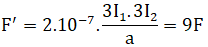
Khi tăng đồng thời cường độ dòng điện trong cả hai dây dẫn song song lên 3 lần, tức là
I'1=3I1; I'2=3I2
Lực tác dụng lên một đơn vị chiều dài của mỗi dây lúc đó là:
Đáp án: C
Các bài giải bài tập Vật Lí 11 nâng cao Bài 31 Chương 4 khác:
Trả lời câu hỏi C giữa bài
Trả lời Câu hỏi (trang 156)
Câu 1 (trang 156 sgk Vật Lí 11 nâng cao): Hãy nêu những điều mà em biết về lực tương tác...
Câu 2 (trang 156 sgk Vật Lí 11 nâng cao): Hãy giải thích về lực hút giữa hai dòng điện song song...
Câu 3 (trang 156 sgk Vật Lí 11 nâng cao): Cho hai dòng điện thẳng song song, viết công thức ...
Câu 4 (trang 156 sgk Vật Lí 11 nâng cao): Phát biểu định nghĩa đơn vị ampe...
Giải Bài tập (trang 156-157)
Bài 1 (trang 156 sgk Vật Lí 11 nâng cao): Chọn phương án đúng...
Bài 2 (trang 157 sgk Vật Lí 11 nâng cao): Hai dây dẫn thẳng, dài, đặt song song nhau và ...
Bài 3 (trang 157 sgk Vật Lí 11 nâng cao): Hai dây dẫn thẳng, dài song song đặt trong không khí...
Bài 4 (trang 157 sgk Vật Lí 11 nâng cao): Hai vòng tròn dây dẫn đặt cách nhau một khoảng...
Tủ sách VIETJACK shopee lớp 10-11 (cả 3 bộ sách):
Đã có app VietJack trên điện thoại, giải bài tập SGK, SBT Soạn văn, Văn mẫu, Thi online, Bài giảng....miễn phí. Tải ngay ứng dụng trên Android và iOS.
Theo dõi chúng tôi miễn phí trên mạng xã hội facebook và youtube:Nếu thấy hay, hãy động viên và chia sẻ nhé! Các bình luận không phù hợp với nội quy bình luận trang web sẽ bị cấm bình luận vĩnh viễn.
- Giải Tiếng Anh 11 Global Success
- Giải sgk Tiếng Anh 11 Smart World
- Giải sgk Tiếng Anh 11 Friends Global
- Lớp 11 - Kết nối tri thức
- Soạn văn 11 (hay nhất) - KNTT
- Soạn văn 11 (ngắn nhất) - KNTT
- Giải sgk Toán 11 - KNTT
- Giải sgk Vật Lí 11 - KNTT
- Giải sgk Hóa học 11 - KNTT
- Giải sgk Sinh học 11 - KNTT
- Giải sgk Lịch Sử 11 - KNTT
- Giải sgk Địa Lí 11 - KNTT
- Giải sgk Giáo dục KTPL 11 - KNTT
- Giải sgk Tin học 11 - KNTT
- Giải sgk Công nghệ 11 - KNTT
- Giải sgk Hoạt động trải nghiệm 11 - KNTT
- Giải sgk Giáo dục quốc phòng 11 - KNTT
- Giải sgk Âm nhạc 11 - KNTT
- Lớp 11 - Chân trời sáng tạo
- Soạn văn 11 (hay nhất) - CTST
- Soạn văn 11 (ngắn nhất) - CTST
- Giải sgk Toán 11 - CTST
- Giải sgk Vật Lí 11 - CTST
- Giải sgk Hóa học 11 - CTST
- Giải sgk Sinh học 11 - CTST
- Giải sgk Lịch Sử 11 - CTST
- Giải sgk Địa Lí 11 - CTST
- Giải sgk Giáo dục KTPL 11 - CTST
- Giải sgk Hoạt động trải nghiệm 11 - CTST
- Giải sgk Âm nhạc 11 - CTST
- Lớp 11 - Cánh diều
- Soạn văn 11 Cánh diều (hay nhất)
- Soạn văn 11 Cánh diều (ngắn nhất)
- Giải sgk Toán 11 - Cánh diều
- Giải sgk Vật Lí 11 - Cánh diều
- Giải sgk Hóa học 11 - Cánh diều
- Giải sgk Sinh học 11 - Cánh diều
- Giải sgk Lịch Sử 11 - Cánh diều
- Giải sgk Địa Lí 11 - Cánh diều
- Giải sgk Giáo dục KTPL 11 - Cánh diều
- Giải sgk Tin học 11 - Cánh diều
- Giải sgk Công nghệ 11 - Cánh diều
- Giải sgk Hoạt động trải nghiệm 11 - Cánh diều
- Giải sgk Giáo dục quốc phòng 11 - Cánh diều
- Giải sgk Âm nhạc 11 - Cánh diều


Giải bài tập SGK & SBT
Tài liệu giáo viên
Sách
Khóa học
Thi online
Hỏi đáp

