Bài 10 trang 243 sgk Vật Lý 11 nâng cao
Bài 48: Thấu kính mỏng
Bài 10 (trang 243 sgk Vật Lý 11 nâng cao): Chiếu một chùm tia sáng hội tụ tới một thấu kính L. cho biết chùm tia ló song song với trục chính của L.
a) L là thấu kính loại gì?
b) Điểm hội tụ của chùm sáng tới là một điểm ở sau thấu kính, cách L là 25 cm. tìm tiêu cự và độ tụ của L.
c) Đặt vật AB = 2cm vuông góc với trục chính và cách L 40 cm. Xác định ảnh của AB.
Lời giải:
a) Chiếu một chùm tia sáng hội tụ một thấu kính L, chùm tia ló song song với trục chính của L ⇒ chùm tia ló phân kì so với chùm tia tới ⇒ L là thấu kính phân kì
b) Điểm hội tụ của chùm sáng tới là một điểm ở sau thấu kính và chính là tiêu điểm vật chính F của thấu kính ⇒ F cách L là 25 cm⇒ tiêu cự và độ tụ của L là:
f=-OF=-25cm
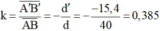
c) AB = 2cm; d = 40 cm. Ảnh A’B’ của AB được xác định bởi:
⇒ Ảnh A'B' là ảnh ảo hiện ra trước thấu kính và cách thấu kính 15,4 cm
Số phóng đại ảnh:
Độ lớn của ảnh: A’B’ = |k|.AB = 0,77 cm
Các bài giải bài tập Vật Lí 11 nâng cao Bài 48 Chương 7 khác:
Trả lời câu hỏi C giữa bài
Bài C1 (trang 239 sgk Vật Lí 11 nâng cao): Quan sát một vật qua một thấu kính. Di chuyển...
Bài C2 (trang 240 sgk Vật Lí 11 nâng cao): Cho hai thấu kính hai mặt lồi, làm bằng thủy tinh...
Trả lời Câu hỏi (trang 242)
Câu 1 (trang 242 sgk Vật Lí 11 nâng cao): Người ta có thể tạo ra lủa với một thấu kính,...
Câu 2 (trang 242 sgk Vật Lí 11 nâng cao): Độ tụ cho biết đặc trưng gì của thấu kính?...
Giải Bài tập (trang 242)
Bài 1 (trang 242 sgk Vật Lí 11 nâng cao): Nhìn qua một thấu kính hội tụ, ta thấy ảnh...
Bài 2 (trang 242 sgk Vật Lí 11 nâng cao): Quan sát ảnh của một vật qua một thấu kính ...
Bài 3 (trang 242 sgk Vật Lí 11 nâng cao): A. Ảnh cho bởi thấu kính hội tụ luôn lớn hơn...
Bài 4 (trang 242 sgk Vật Lí 11 nâng cao): Với một thấu kính..
Bài 5 (trang 242 sgk Vật Lí 11 nâng cao): A. Với thấu kính hội tụ, độ tụ D < 0...
Bài 6 (trang 242 sgk Vật Lí 11 nâng cao): Với thấu kính hội tụ...
Bài 7 (trang 243 sgk Vật Lí 11 nâng cao): Với thấu kính hội tụ...
Bài 8 (trang 243 sgk Vật Lí 11 nâng cao): Chọn câu phát biểu không cính xác. Với...
Bài 9 (trang 243 sgk Vật Lí 11 nâng cao): Cho một thấu kính L có độ tụ D = 5 điop...
Bài 10 (trang 243 sgk Vật Lí 11 nâng cao): Chiếu một chùm tia sáng hội tụ tới một thấu kính L...
Bài 11 (trang 243 sgk Vật Lí 11 nâng cao): Cho hai thấu kính hội tụ L1 và L2 lần lượt...
Bài 12 (trang 243 sgk Vật Lí 11 nâng cao): Cho thấu kính L1 độ tụ D1 = 4điop, ...
Tủ sách VIETJACK shopee lớp 10-11 (cả 3 bộ sách):
Đã có app VietJack trên điện thoại, giải bài tập SGK, SBT Soạn văn, Văn mẫu, Thi online, Bài giảng....miễn phí. Tải ngay ứng dụng trên Android và iOS.
Theo dõi chúng tôi miễn phí trên mạng xã hội facebook và youtube:Nếu thấy hay, hãy động viên và chia sẻ nhé! Các bình luận không phù hợp với nội quy bình luận trang web sẽ bị cấm bình luận vĩnh viễn.
- Giải Tiếng Anh 11 Global Success
- Giải sgk Tiếng Anh 11 Smart World
- Giải sgk Tiếng Anh 11 Friends Global
- Lớp 11 - Kết nối tri thức
- Soạn văn 11 (hay nhất) - KNTT
- Soạn văn 11 (ngắn nhất) - KNTT
- Giải sgk Toán 11 - KNTT
- Giải sgk Vật Lí 11 - KNTT
- Giải sgk Hóa học 11 - KNTT
- Giải sgk Sinh học 11 - KNTT
- Giải sgk Lịch Sử 11 - KNTT
- Giải sgk Địa Lí 11 - KNTT
- Giải sgk Giáo dục KTPL 11 - KNTT
- Giải sgk Tin học 11 - KNTT
- Giải sgk Công nghệ 11 - KNTT
- Giải sgk Hoạt động trải nghiệm 11 - KNTT
- Giải sgk Giáo dục quốc phòng 11 - KNTT
- Giải sgk Âm nhạc 11 - KNTT
- Lớp 11 - Chân trời sáng tạo
- Soạn văn 11 (hay nhất) - CTST
- Soạn văn 11 (ngắn nhất) - CTST
- Giải sgk Toán 11 - CTST
- Giải sgk Vật Lí 11 - CTST
- Giải sgk Hóa học 11 - CTST
- Giải sgk Sinh học 11 - CTST
- Giải sgk Lịch Sử 11 - CTST
- Giải sgk Địa Lí 11 - CTST
- Giải sgk Giáo dục KTPL 11 - CTST
- Giải sgk Hoạt động trải nghiệm 11 - CTST
- Giải sgk Âm nhạc 11 - CTST
- Lớp 11 - Cánh diều
- Soạn văn 11 Cánh diều (hay nhất)
- Soạn văn 11 Cánh diều (ngắn nhất)
- Giải sgk Toán 11 - Cánh diều
- Giải sgk Vật Lí 11 - Cánh diều
- Giải sgk Hóa học 11 - Cánh diều
- Giải sgk Sinh học 11 - Cánh diều
- Giải sgk Lịch Sử 11 - Cánh diều
- Giải sgk Địa Lí 11 - Cánh diều
- Giải sgk Giáo dục KTPL 11 - Cánh diều
- Giải sgk Tin học 11 - Cánh diều
- Giải sgk Công nghệ 11 - Cánh diều
- Giải sgk Hoạt động trải nghiệm 11 - Cánh diều
- Giải sgk Giáo dục quốc phòng 11 - Cánh diều
- Giải sgk Âm nhạc 11 - Cánh diều


Giải bài tập SGK & SBT
Tài liệu giáo viên
Sách
Khóa học
Thi online
Hỏi đáp

