Bài 3 trang 18 sgk Vật Lý 11 nâng cao
Bài 3: Điện trường
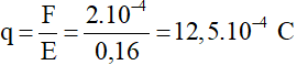
Bài 3 (trang 18 sgk Vật Lý 11 nâng cao): Một điện tích thử đặt tại điểm có cường độ điện trường 0,16 V/m. Lực tác dụng lên điện tích đó bằng 2.10-4N. Hỏi độ lớn của điện tích đó là bao nhiêu?
Lời giải:
Độ lớn của lực điện trường: F = q.E
Vậy độ lớn của điện tích đó là :
Đáp số: q = 12,5.10-4 C
Các bài giải bài tập Vật Lí 11 nâng cao Bài 3 Chương 1 khác:
Trả lời câu hỏi C giữa bài
Bài C1 (trang 14 sgk Vật Lí 11 nâng cao): Một bạn phát biểu: "Từ (3.1) ta có nhận xét...
Bài C2 (trang 16 sgk Vật Lí 11 nâng cao): Có thể coi các đường hạt bột" của điện phổ...
Bài C3 (trang 17 sgk Vật Lí 11 nâng cao): Có hai điện tích q1, q2 đặt tại...
Trả lời Câu hỏi (trang 17)
Câu 1 (trang 17 sgk Vật Lí 11 nâng cao): Cường độ điện trường E luông cùng phương...
Câu 2 (trang 17 sgk Vật Lí 11 nâng cao): Hãy nêu tính chất cơ bản...
Câu 3 (trang 17 sgk Vật Lí 11 nâng cao): Có thể coi đường sức điện là quỹ đạo của...
Câu 4 (trang 17 sgk Vật Lí 11 nâng cao): Hãy nêu tính chất các đường sức điện...
Giải Bài tập (trang 17 - 18)
Bài 1 (trang 17 sgk Vật Lí 11 nâng cao): Chọn phát biểu sai:...
Bài 2 (trang 18 sgk Vật Lí 11 nâng cao): Chọn phương án đúng:...
Bài 3 (trang 18 sgk Vật Lí 11 nâng cao): Một điện tích thử đặt tại điểm có cường độ...
Bài 4 (trang 18 sgk Vật Lí 11 nâng cao): Có một điện tích Q = 5.10-9C đặt tại...
Bài 5 (trang 18 sgk Vật Lí 11 nâng cao): Có hai điện tích q1, q2 đặt cách nhau...
Bài 6 (trang 18 sgk Vật Lí 11 nâng cao): Hai điện tích q1=q2=5.10-6C được đặt...
Bài 7 (trang 18 sgk Vật Lí 11 nâng cao): Ba điện tích q giống nhau được đặt cố định tại ba đỉnh...
Tủ sách VIETJACK shopee lớp 10-11 (cả 3 bộ sách):
Đã có app VietJack trên điện thoại, giải bài tập SGK, SBT Soạn văn, Văn mẫu, Thi online, Bài giảng....miễn phí. Tải ngay ứng dụng trên Android và iOS.
Theo dõi chúng tôi miễn phí trên mạng xã hội facebook và youtube:Nếu thấy hay, hãy động viên và chia sẻ nhé! Các bình luận không phù hợp với nội quy bình luận trang web sẽ bị cấm bình luận vĩnh viễn.
- Giải Tiếng Anh 11 Global Success
- Giải sgk Tiếng Anh 11 Smart World
- Giải sgk Tiếng Anh 11 Friends Global
- Lớp 11 - Kết nối tri thức
- Soạn văn 11 (hay nhất) - KNTT
- Soạn văn 11 (ngắn nhất) - KNTT
- Giải sgk Toán 11 - KNTT
- Giải sgk Vật Lí 11 - KNTT
- Giải sgk Hóa học 11 - KNTT
- Giải sgk Sinh học 11 - KNTT
- Giải sgk Lịch Sử 11 - KNTT
- Giải sgk Địa Lí 11 - KNTT
- Giải sgk Giáo dục KTPL 11 - KNTT
- Giải sgk Tin học 11 - KNTT
- Giải sgk Công nghệ 11 - KNTT
- Giải sgk Hoạt động trải nghiệm 11 - KNTT
- Giải sgk Giáo dục quốc phòng 11 - KNTT
- Giải sgk Âm nhạc 11 - KNTT
- Lớp 11 - Chân trời sáng tạo
- Soạn văn 11 (hay nhất) - CTST
- Soạn văn 11 (ngắn nhất) - CTST
- Giải sgk Toán 11 - CTST
- Giải sgk Vật Lí 11 - CTST
- Giải sgk Hóa học 11 - CTST
- Giải sgk Sinh học 11 - CTST
- Giải sgk Lịch Sử 11 - CTST
- Giải sgk Địa Lí 11 - CTST
- Giải sgk Giáo dục KTPL 11 - CTST
- Giải sgk Hoạt động trải nghiệm 11 - CTST
- Giải sgk Âm nhạc 11 - CTST
- Lớp 11 - Cánh diều
- Soạn văn 11 Cánh diều (hay nhất)
- Soạn văn 11 Cánh diều (ngắn nhất)
- Giải sgk Toán 11 - Cánh diều
- Giải sgk Vật Lí 11 - Cánh diều
- Giải sgk Hóa học 11 - Cánh diều
- Giải sgk Sinh học 11 - Cánh diều
- Giải sgk Lịch Sử 11 - Cánh diều
- Giải sgk Địa Lí 11 - Cánh diều
- Giải sgk Giáo dục KTPL 11 - Cánh diều
- Giải sgk Tin học 11 - Cánh diều
- Giải sgk Công nghệ 11 - Cánh diều
- Giải sgk Hoạt động trải nghiệm 11 - Cánh diều
- Giải sgk Giáo dục quốc phòng 11 - Cánh diều
- Giải sgk Âm nhạc 11 - Cánh diều


Giải bài tập SGK & SBT
Tài liệu giáo viên
Sách
Khóa học
Thi online
Hỏi đáp

