Giải Vật Lí 11 trang 73 Kết nối tri thức, Chân trời sáng tạo, Cánh diều
Trọn bộ lời giải bài tập Vật Lí 11 trang 73 Kết nối tri thức, Chân trời sáng tạo, Cánh diều sẽ giúp học sinh lớp 11 dễ dàng làm bài tập Vật Lí 11 trang 73. Bạn vào trang hoặc Xem lời giải để theo dõi chi tiết.
Giải Vật Lí 11 trang 73 Kết nối tri thức, Chân trời sáng tạo, Cánh diều
Lưu trữ: Giải Vật Lí 11 trang 73 (sách cũ)
Bài 3 (trang 73 sgk Vật Lý 11 nâng cao): Cho mạch điện có sơ đồ như hình 14.14, trong đó : ℰ1 = 8V; r1 = 1,2Ω; ℰ2 = 4 V; r2 = 0,4Ω, R = 28,4Ω; hiệu điện thế giữa hai đầu đoạn mạch đo được là UAB = 6V.
a) Tính cường độ dòng điện chạy qua đoạn mạch và cho biết chiều của nó.
b) Cho biết mạch điện này chứa nguồn điện nào và chứa máy thu nào? Vì sao?
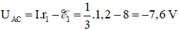
c) Tính hiệu điện thế : UAC và UBC
Lời giải:
a) Cường độ dòng điện qua đoạn mạch:
Giả sử dòng điện mạch có chiều từ A đến B
Áp dụng định luật Ôm cho toàn mạch:
Vì I > 0 nên chiều dòng điện đã chọn từ A đến B là chiều đúng
b) Dòng điện trong mạch theo chiều từ A đến B nên:
+ Với ℰ1: dòng điện đi từ cực âm đến cực dương nên ℰ1 đóng vai trò nguồn điện.
+ Với ℰ2: dòng điện đi từ cực dương đến cực âm nên ℰ2 đóng vai trò máy thu.
c) Áp dụng định luật Ôm cho các đoạn mạch AC và CB ta được:
+ Đoạn AC chứa nguồn ℰ1:
+ Đoạn CB chứa máy thu ℰ2 và điện trở R.
Các bài giải bài tập Vật Lí 11 nâng cao Bài 14 Chương 2 khác:
Trả lời câu hỏi C giữa bài
Bài C1 (trang 68 sgk Vật Lí 11 nâng cao): Từ các kết quả nêu ở Bảng 14.1 hãy tính điện...
Bài C2 (trang 69 sgk Vật Lí 11 nâng cao): Từ các công thức (10.4) và (14.1) hãy chứng minh...
Bài C3 (trang 69 sgk Vật Lí 11 nâng cao): Hãy chứng minh công thức (14.7)...
Bài C4 (trang 71 sgk Vật Lí 11 nâng cao): Áp dụng định luật Ôm, hãy chứng minh...
Bài C5 (trang 71 sgk Vật Lí 11 nâng cao): Áp dụng định luật Ôm, hãy chứng minh...
Bài C6 (trang 72 sgk Vật Lí 11 nâng cao): Áp dụng định luật Ôm, hãy chứng minh...
Bài C7 (trang 72 sgk Vật Lí 11 nâng cao): Hãy chứng minh các công thức...
Trả lời Câu hỏi (trang 72)
Câu 1 (trang 72 sgk Vật Lí 11 nâng cao): Hãy thiết lập định luật Ôm đối với...
Câu 2 (trang 72 sgk Vật Lí 11 nâng cao): Hãy viết công thức tính cường độ dòng điện...
Giải Bài tập (trang 72)
Bài 1 (trang 72 sgk Vật Lí 11 nâng cao): Chọn phương án đúng: Một nguồn điện với...
Bài 2 (trang 73 sgk Vật Lí 11 nâng cao): Chọn phương án đúng:....
Bài 3 (trang 73 sgk Vật Lí 11 nâng cao): Cho mạch điện có sơ đồ như Hình 14.11...
Bài 4 (trang 73 sgk Vật Lí 11 nâng cao): Hai pin được ghép với nhau theo các sơ đồ...
Bài 5 (trang 73 sgk Vật Lí 11 nâng cao): Tìm suất điện động và điện trở trong của...
Bài 6 (trang 73 sgk Vật Lí 11 nâng cao): Cho mạch điện như Hình 14.14. Mỗi pin...
Tủ sách VIETJACK shopee lớp 10-11 (cả 3 bộ sách):
Đã có app VietJack trên điện thoại, giải bài tập SGK, SBT Soạn văn, Văn mẫu, Thi online, Bài giảng....miễn phí. Tải ngay ứng dụng trên Android và iOS.
Theo dõi chúng tôi miễn phí trên mạng xã hội facebook và youtube:Nếu thấy hay, hãy động viên và chia sẻ nhé! Các bình luận không phù hợp với nội quy bình luận trang web sẽ bị cấm bình luận vĩnh viễn.
- Giải Tiếng Anh 11 Global Success
- Giải sgk Tiếng Anh 11 Smart World
- Giải sgk Tiếng Anh 11 Friends Global
- Lớp 11 - Kết nối tri thức
- Soạn văn 11 (hay nhất) - KNTT
- Soạn văn 11 (ngắn nhất) - KNTT
- Giải sgk Toán 11 - KNTT
- Giải sgk Vật Lí 11 - KNTT
- Giải sgk Hóa học 11 - KNTT
- Giải sgk Sinh học 11 - KNTT
- Giải sgk Lịch Sử 11 - KNTT
- Giải sgk Địa Lí 11 - KNTT
- Giải sgk Giáo dục KTPL 11 - KNTT
- Giải sgk Tin học 11 - KNTT
- Giải sgk Công nghệ 11 - KNTT
- Giải sgk Hoạt động trải nghiệm 11 - KNTT
- Giải sgk Giáo dục quốc phòng 11 - KNTT
- Giải sgk Âm nhạc 11 - KNTT
- Lớp 11 - Chân trời sáng tạo
- Soạn văn 11 (hay nhất) - CTST
- Soạn văn 11 (ngắn nhất) - CTST
- Giải sgk Toán 11 - CTST
- Giải sgk Vật Lí 11 - CTST
- Giải sgk Hóa học 11 - CTST
- Giải sgk Sinh học 11 - CTST
- Giải sgk Lịch Sử 11 - CTST
- Giải sgk Địa Lí 11 - CTST
- Giải sgk Giáo dục KTPL 11 - CTST
- Giải sgk Hoạt động trải nghiệm 11 - CTST
- Giải sgk Âm nhạc 11 - CTST
- Lớp 11 - Cánh diều
- Soạn văn 11 Cánh diều (hay nhất)
- Soạn văn 11 Cánh diều (ngắn nhất)
- Giải sgk Toán 11 - Cánh diều
- Giải sgk Vật Lí 11 - Cánh diều
- Giải sgk Hóa học 11 - Cánh diều
- Giải sgk Sinh học 11 - Cánh diều
- Giải sgk Lịch Sử 11 - Cánh diều
- Giải sgk Địa Lí 11 - Cánh diều
- Giải sgk Giáo dục KTPL 11 - Cánh diều
- Giải sgk Tin học 11 - Cánh diều
- Giải sgk Công nghệ 11 - Cánh diều
- Giải sgk Hoạt động trải nghiệm 11 - Cánh diều
- Giải sgk Giáo dục quốc phòng 11 - Cánh diều
- Giải sgk Âm nhạc 11 - Cánh diều


Giải bài tập SGK & SBT
Tài liệu giáo viên
Sách
Khóa học
Thi online
Hỏi đáp

