Bài 4 trang 21 sgk Vật Lí 12 nâng cao
Bài 4: Động năng của vật rắn quay quanh một trục cố định
Lưu trữ: Giải Vật Lí 12 trang 21 (sách cũ)
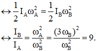
Bài 4 (trang 21 sgk Vật Lí 12 nâng cao): Hai bánh xe A và B có cùng động năng quay, tốc độ góc ωA = 3 ωB . Tỉ số momen quán tính lA/lB đối với trục quay của A và B có giá trị nào sau đây?
A. 3 B. 9 C. 6 D. 1
Lời giải:
Chọn B
Ta có WđA = WđB
Các bài giải bài tập Vật Lí 12 nâng cao Bài 4 khác:
Bài C1 (trang 19 SGK Vật Lí 12 nâng cao): Nêu nhận xét về vai trò của momen quán tính I...
Bài C2 (trang 19 SGK Vật Lí 12 nâng cao): Chứng minh rằng động năng của một vật rắn quay...
Câu 1 (trang 20 sgk Vật Lí 12 nâng cao): Viết công thức tính động năng của một...
Câu 2 (trang 20 sgk Vật Lí 12 nâng cao): Nêu nhận xét về vai trò của momen...
Bài 1 (trang 21 sgk Vật Lí 12 nâng cao): Một bánh đã có momen quán tính...
Bài 2 (trang 21 sgk Vật Lí 12 nâng cao): Một đĩa tròn có momen quán tính l...
Bài 3 (trang 21 sgk Vật Lí 12 nâng cao): Hai đĩa tròn có cùng momen quán tính...
Bài 4 (trang 21 sgk Vật Lí 12 nâng cao): Hai bánh xe A và B có cùng động năng...
Bài 5 (trang 21 sgk Vật Lí 12 nâng cao): Một đĩa tròn đồng chất có bán kính...
Bài 6 (trang 21 sgk Vật Lí 12 nâng cao): Một ròng rọc có momen quán tính...
Bài 7 (trang 21 sgk Vật Lí 12 nâng cao): Một bánh đà quay nhanh dần đều...
Đã có app VietJack trên điện thoại, giải bài tập SGK, SBT Soạn văn, Văn mẫu, Thi online, Bài giảng....miễn phí. Tải ngay ứng dụng trên Android và iOS.
Theo dõi chúng tôi miễn phí trên mạng xã hội facebook và youtube:Nếu thấy hay, hãy động viên và chia sẻ nhé! Các bình luận không phù hợp với nội quy bình luận trang web sẽ bị cấm bình luận vĩnh viễn.
- Giải Tiếng Anh 12 Global Success
- Giải sgk Tiếng Anh 12 Smart World
- Giải sgk Tiếng Anh 12 Friends Global
- Lớp 12 Kết nối tri thức
- Soạn văn 12 (hay nhất) - KNTT
- Soạn văn 12 (ngắn nhất) - KNTT
- Giải sgk Toán 12 - KNTT
- Giải sgk Vật Lí 12 - KNTT
- Giải sgk Hóa học 12 - KNTT
- Giải sgk Sinh học 12 - KNTT
- Giải sgk Lịch Sử 12 - KNTT
- Giải sgk Địa Lí 12 - KNTT
- Giải sgk Giáo dục KTPL 12 - KNTT
- Giải sgk Tin học 12 - KNTT
- Giải sgk Công nghệ 12 - KNTT
- Giải sgk Hoạt động trải nghiệm 12 - KNTT
- Giải sgk Giáo dục quốc phòng 12 - KNTT
- Giải sgk Âm nhạc 12 - KNTT
- Giải sgk Mĩ thuật 12 - KNTT
- Lớp 12 Chân trời sáng tạo
- Soạn văn 12 (hay nhất) - CTST
- Soạn văn 12 (ngắn nhất) - CTST
- Giải sgk Toán 12 - CTST
- Giải sgk Vật Lí 12 - CTST
- Giải sgk Hóa học 12 - CTST
- Giải sgk Sinh học 12 - CTST
- Giải sgk Lịch Sử 12 - CTST
- Giải sgk Địa Lí 12 - CTST
- Giải sgk Giáo dục KTPL 12 - CTST
- Giải sgk Tin học 12 - CTST
- Giải sgk Hoạt động trải nghiệm 12 - CTST
- Giải sgk Âm nhạc 12 - CTST
- Lớp 12 Cánh diều
- Soạn văn 12 Cánh diều (hay nhất)
- Soạn văn 12 Cánh diều (ngắn nhất)
- Giải sgk Toán 12 Cánh diều
- Giải sgk Vật Lí 12 - Cánh diều
- Giải sgk Hóa học 12 - Cánh diều
- Giải sgk Sinh học 12 - Cánh diều
- Giải sgk Lịch Sử 12 - Cánh diều
- Giải sgk Địa Lí 12 - Cánh diều
- Giải sgk Giáo dục KTPL 12 - Cánh diều
- Giải sgk Tin học 12 - Cánh diều
- Giải sgk Công nghệ 12 - Cánh diều
- Giải sgk Hoạt động trải nghiệm 12 - Cánh diều
- Giải sgk Giáo dục quốc phòng 12 - Cánh diều
- Giải sgk Âm nhạc 12 - Cánh diều


Giải bài tập SGK & SBT
Tài liệu giáo viên
Sách
Khóa học
Thi online
Hỏi đáp

