Bài 22.7 trang 32 SBT Hóa học 11
Bài 22: Cấu trúc phân tử hợp chất hữu cơ
Bài 22.7 trang 32 Sách bài tập Hóa học 11: Hỗn hợp khí A chứa hai hiđrocacbon kế tiếp nhau trong một dãy đồng đẳng. Lấy 1,12 lít A (đktc) đem đốt cháy hoàn toàn. Sản phẩm cháy được dẫn qua bình (1) đựng H2SO4 đặc, sau đó qua bình (2) đựng dung dịch NaOH (có dư). Sau thí nghiệm, khối lượng bình (1) tăng 2,16 g và bình (2) tăng 7,48 g. Hãy xác định công thức phân tử và phần trăm về thể tích của từng chất trong hỗn hợp A.
Lời giải:
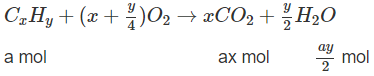
Đặt lượng CxHy là a mol, lượng Cx+1Hy+2 là b mol.
Ta có : a + b = 0,05 (1)
Số mol CO2: ax + b(x + 1) = 0,170 (2)
Số mol H2O:
Từ (2) ta có (a + b)x + b = 0,170 ;
b = 0,170 - 0,0500x
b là số mol của một trong hai chất nên 0 < b < 0,0500.
Do đó 0 < 0,170 - 0,0500x < 0,0500 ⇒ 2,40 < x < 3,40 ⇒ x = 3.
⇒ b = 0,1700 - 0,0500.3 = 0,0200 ⇒ a = 0,0500 - 0,0200 = 0,0300 Thay giá trị của a và b vào (3) ta có :
0,03y + 0,02(y + 2) = 0 ⇒ y = 4.
Trả lời: C3H4 chiếm 60,0% thể tích hỗn hợp A.
C4H6 chiếm 40,0% thể tích hỗn hợp A.
Các bài giải sách bài tập Hóa học 11 (SBT Hóa học 11) khác:
- Bài 22.7 trang 32 Sách bài tập Hóa học 11: Hỗn hợp khí A chứa hai hiđrocacbon kế tiếp....
- Bài 22.8 trang 32 Sách bài tập Hóa học 11: Hỗn hợp M chứa ba hiđrocacbon là đồng....
- Bài 22.9 trang 32 Sách bài tập Hóa học 11: Hỗn hợp M ở thể lỏng....
- Bài 22.10 trang 32 Sách bài tập Hóa học 11: Hỗn hợp X chứa ba chất hữu cơ đồng....
Tủ sách VIETJACK shopee lớp 10-11 (cả 3 bộ sách):
Đã có app VietJack trên điện thoại, giải bài tập SGK, SBT Soạn văn, Văn mẫu, Thi online, Bài giảng....miễn phí. Tải ngay ứng dụng trên Android và iOS.
Theo dõi chúng tôi miễn phí trên mạng xã hội facebook và youtube:Nếu thấy hay, hãy động viên và chia sẻ nhé! Các bình luận không phù hợp với nội quy bình luận trang web sẽ bị cấm bình luận vĩnh viễn.
- Giải Tiếng Anh 11 Global Success
- Giải sgk Tiếng Anh 11 Smart World
- Giải sgk Tiếng Anh 11 Friends Global
- Lớp 11 - Kết nối tri thức
- Soạn văn 11 (hay nhất) - KNTT
- Soạn văn 11 (ngắn nhất) - KNTT
- Giải sgk Toán 11 - KNTT
- Giải sgk Vật Lí 11 - KNTT
- Giải sgk Hóa học 11 - KNTT
- Giải sgk Sinh học 11 - KNTT
- Giải sgk Lịch Sử 11 - KNTT
- Giải sgk Địa Lí 11 - KNTT
- Giải sgk Giáo dục KTPL 11 - KNTT
- Giải sgk Tin học 11 - KNTT
- Giải sgk Công nghệ 11 - KNTT
- Giải sgk Hoạt động trải nghiệm 11 - KNTT
- Giải sgk Giáo dục quốc phòng 11 - KNTT
- Giải sgk Âm nhạc 11 - KNTT
- Lớp 11 - Chân trời sáng tạo
- Soạn văn 11 (hay nhất) - CTST
- Soạn văn 11 (ngắn nhất) - CTST
- Giải sgk Toán 11 - CTST
- Giải sgk Vật Lí 11 - CTST
- Giải sgk Hóa học 11 - CTST
- Giải sgk Sinh học 11 - CTST
- Giải sgk Lịch Sử 11 - CTST
- Giải sgk Địa Lí 11 - CTST
- Giải sgk Giáo dục KTPL 11 - CTST
- Giải sgk Hoạt động trải nghiệm 11 - CTST
- Giải sgk Âm nhạc 11 - CTST
- Lớp 11 - Cánh diều
- Soạn văn 11 Cánh diều (hay nhất)
- Soạn văn 11 Cánh diều (ngắn nhất)
- Giải sgk Toán 11 - Cánh diều
- Giải sgk Vật Lí 11 - Cánh diều
- Giải sgk Hóa học 11 - Cánh diều
- Giải sgk Sinh học 11 - Cánh diều
- Giải sgk Lịch Sử 11 - Cánh diều
- Giải sgk Địa Lí 11 - Cánh diều
- Giải sgk Giáo dục KTPL 11 - Cánh diều
- Giải sgk Tin học 11 - Cánh diều
- Giải sgk Công nghệ 11 - Cánh diều
- Giải sgk Hoạt động trải nghiệm 11 - Cánh diều
- Giải sgk Giáo dục quốc phòng 11 - Cánh diều
- Giải sgk Âm nhạc 11 - Cánh diều


Giải bài tập SGK & SBT
Tài liệu giáo viên
Sách
Khóa học
Thi online
Hỏi đáp

