Bài 3.27 trang 156 Sách bài tập Hình học 10
Bài 2: Phương trình đường tròn
Bài 3.27 trang 156 Sách bài tập Hình học 10: Cho hai đường tròn (C1): x2 + y2 - 6x + 5 = 0 và (C2): x2 + y2 - 12x - 6y + 44 = 0
a) Tìm câm và bán kính của (C1) và (C2) .
b) Lập phương trình tiếp tuyến chung của (C1) và (C2).
Lời giải:
a) (C1) có tâm có bán kính R1 = 2;
(C2) có tâm có bán kính R2 = 1.
b) Xét đường thẳng Δ có phương trình:
y = kx + m hay kx - y + m = 0. Ta có:
Δ tiếp xúc với (C1) và (C2) khi và chỉ khi
Từ (1) và (2) suy ra
|3k + 2| = 2|6k - 3 + m|
Trường hợp 1: 3k + m = 2(6k - 3 + m) ⇔ m = 6 - 9k (3)
Thay vào (2) ta được
⇔ 9 - 18k + 9k2 = k2 + 1
⇔ 8k2 - 18k + 8 = 0
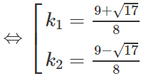
⇔ 4k2 - 9k + 4 = 0
Thay giá trị của k vào (3) ta tính được
Vậy ta được hai tiếp tuyến
Δ1: y = k1x + 6 - 9k1
Δ2: y = k2x + 6 - 9k2
Trường hợp 2:
3k + m = -2(6k - 3 + m)
⇔ 3m = 6 - 15k
⇔ m = 2 - 5k (4)
Thay vào (2) ta được
⇔ (k - 1)2 = k2 + 1
⇔ k2 - 2k + 1 = k2 + 1
⇔ k = 0
Thay giá trị của k vào (4) ta được m = 2.
Vậy ta được tiếp tuyến Δ3: y = 2
Xét đường thẳng Δ4 vuông góc với Ox tại x0:
Δ4: x - x0 = 0
Δ4 tiếp xúc vơi (C1) và (C2) khi và chỉ khi
Vậy ta được tiếp tuyến: Δ4: x - 5 = 0
Tóm lại hai đường tròn (C1) và (C2) có bốn tiếp tuyến chung Δ1, Δ2, Δ3 và Δ4
Các bài giải sách bài tập Hình học 10 khác:
Bài 3.24 trang 156 Sách bài tập Hình học 10: Lập phương trình tiếp tuyến Δ của đường tròn (C)....
Bài 3.26 trang 156 Sách bài tập Hình học 10: Viết phương trình tiếp tuyến của đường tròn (C)....
Bài 3.27 trang 156 Sách bài tập Hình học 10: Cho hai đường tròn (C1): x2 + y2 - 6x + 5 = 0....
Để học tốt lớp 10 các môn học sách mới:
- Giải bài tập Lớp 10 Kết nối tri thức
- Giải bài tập Lớp 10 Chân trời sáng tạo
- Giải bài tập Lớp 10 Cánh diều
Tủ sách VIETJACK shopee lớp 10-11 (cả 3 bộ sách):
Đã có app VietJack trên điện thoại, giải bài tập SGK, SBT Soạn văn, Văn mẫu, Thi online, Bài giảng....miễn phí. Tải ngay ứng dụng trên Android và iOS.
Theo dõi chúng tôi miễn phí trên mạng xã hội facebook và youtube:Nếu thấy hay, hãy động viên và chia sẻ nhé! Các bình luận không phù hợp với nội quy bình luận trang web sẽ bị cấm bình luận vĩnh viễn.
- Giải Tiếng Anh 10 Global Success
- Giải Tiếng Anh 10 Friends Global
- Giải sgk Tiếng Anh 10 iLearn Smart World
- Giải sgk Tiếng Anh 10 Explore New Worlds
- Lớp 10 - Kết nối tri thức
- Soạn văn 10 (hay nhất) - KNTT
- Soạn văn 10 (ngắn nhất) - KNTT
- Soạn văn 10 (siêu ngắn) - KNTT
- Giải sgk Toán 10 - KNTT
- Giải sgk Vật lí 10 - KNTT
- Giải sgk Hóa học 10 - KNTT
- Giải sgk Sinh học 10 - KNTT
- Giải sgk Địa lí 10 - KNTT
- Giải sgk Lịch sử 10 - KNTT
- Giải sgk Kinh tế và Pháp luật 10 - KNTT
- Giải sgk Tin học 10 - KNTT
- Giải sgk Công nghệ 10 - KNTT
- Giải sgk Hoạt động trải nghiệm 10 - KNTT
- Giải sgk Giáo dục quốc phòng 10 - KNTT
- Lớp 10 - Chân trời sáng tạo
- Soạn văn 10 (hay nhất) - CTST
- Soạn văn 10 (ngắn nhất) - CTST
- Soạn văn 10 (siêu ngắn) - CTST
- Giải Toán 10 - CTST
- Giải sgk Vật lí 10 - CTST
- Giải sgk Hóa học 10 - CTST
- Giải sgk Sinh học 10 - CTST
- Giải sgk Địa lí 10 - CTST
- Giải sgk Lịch sử 10 - CTST
- Giải sgk Kinh tế và Pháp luật 10 - CTST
- Giải sgk Hoạt động trải nghiệm 10 - CTST
- Lớp 10 - Cánh diều
- Soạn văn 10 (hay nhất) - Cánh diều
- Soạn văn 10 (ngắn nhất) - Cánh diều
- Soạn văn 10 (siêu ngắn) - Cánh diều
- Giải sgk Toán 10 - Cánh diều
- Giải sgk Vật lí 10 - Cánh diều
- Giải sgk Hóa học 10 - Cánh diều
- Giải sgk Sinh học 10 - Cánh diều
- Giải sgk Địa lí 10 - Cánh diều
- Giải sgk Lịch sử 10 - Cánh diều
- Giải sgk Kinh tế và Pháp luật 10 - Cánh diều
- Giải sgk Tin học 10 - Cánh diều
- Giải sgk Công nghệ 10 - Cánh diều
- Giải sgk Hoạt động trải nghiệm 10 - Cánh diều
- Giải sgk Giáo dục quốc phòng 10 - Cánh diều


Giải bài tập SGK & SBT
Tài liệu giáo viên
Sách
Khóa học
Thi online
Hỏi đáp

