Bài 2.6 trang 31 Sách bài tập Đại số 10
Bài 1: Hàm số
Bài 2.6 trang 31 Sách bài tập Đại số 10: Xét tính chẵn, lẻ của các hàm số
a) y = -2;
b) y = 3x2 - 1;
c) y = -x4 + 3x - 2;
d)
Lời giải:
a) Tập xác định D = R và ∀ x ∈ D có -x ∈ D và f(-x) = -2 = f(x)
Hàm số là hàm số chẵn
b) Tập xác định D = R; ∀ x ∈ D có -x ∈ D và f(-x) = 3.(-x)2 - 1 = 3x2 - 1 = f(x)
Vậy hàm số đã cho là hàm số chẵn.
c) Tập xác định D = R, ∀ x ∈ D có -x ∈ D và f(-x) = -(-x)4 + 3(-x) - 2 = -x4 - 3x - 2
Ta thấy rằng f(-x) ≠ f(x) và f(-x) ≠ -f(x).
Vậy hàm số đã cho không là hàm số chẵn cũng không là hàm số lẻ.
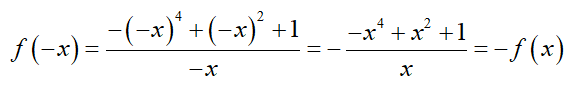
d) Tập xác định D = R\{0} nên nếu x ≠ 0 và x ∈ D thì -x ∈ D. Ngoài ra
Vậy hàm số đã cho là hàm số lẻ.
Các bài giải sách bài tập Đại số 10 khác:
Bài 2.5 trang 31 Sách bài tập Đại số 10: Xét tính đồng biến, nghịch biến của hàm số....
Bài 2.6 trang 31 Sách bài tập Đại số 10: Xét tính chẵn, lẻ của các hàm số....
Để học tốt lớp 10 các môn học sách mới:
- Giải bài tập Lớp 10 Kết nối tri thức
- Giải bài tập Lớp 10 Chân trời sáng tạo
- Giải bài tập Lớp 10 Cánh diều
Tủ sách VIETJACK shopee lớp 10-11 (cả 3 bộ sách):
Đã có app VietJack trên điện thoại, giải bài tập SGK, SBT Soạn văn, Văn mẫu, Thi online, Bài giảng....miễn phí. Tải ngay ứng dụng trên Android và iOS.
Theo dõi chúng tôi miễn phí trên mạng xã hội facebook và youtube:Nếu thấy hay, hãy động viên và chia sẻ nhé! Các bình luận không phù hợp với nội quy bình luận trang web sẽ bị cấm bình luận vĩnh viễn.
- Giải Tiếng Anh 10 Global Success
- Giải Tiếng Anh 10 Friends Global
- Giải sgk Tiếng Anh 10 iLearn Smart World
- Giải sgk Tiếng Anh 10 Explore New Worlds
- Lớp 10 - Kết nối tri thức
- Soạn văn 10 (hay nhất) - KNTT
- Soạn văn 10 (ngắn nhất) - KNTT
- Soạn văn 10 (siêu ngắn) - KNTT
- Giải sgk Toán 10 - KNTT
- Giải sgk Vật lí 10 - KNTT
- Giải sgk Hóa học 10 - KNTT
- Giải sgk Sinh học 10 - KNTT
- Giải sgk Địa lí 10 - KNTT
- Giải sgk Lịch sử 10 - KNTT
- Giải sgk Kinh tế và Pháp luật 10 - KNTT
- Giải sgk Tin học 10 - KNTT
- Giải sgk Công nghệ 10 - KNTT
- Giải sgk Hoạt động trải nghiệm 10 - KNTT
- Giải sgk Giáo dục quốc phòng 10 - KNTT
- Lớp 10 - Chân trời sáng tạo
- Soạn văn 10 (hay nhất) - CTST
- Soạn văn 10 (ngắn nhất) - CTST
- Soạn văn 10 (siêu ngắn) - CTST
- Giải Toán 10 - CTST
- Giải sgk Vật lí 10 - CTST
- Giải sgk Hóa học 10 - CTST
- Giải sgk Sinh học 10 - CTST
- Giải sgk Địa lí 10 - CTST
- Giải sgk Lịch sử 10 - CTST
- Giải sgk Kinh tế và Pháp luật 10 - CTST
- Giải sgk Hoạt động trải nghiệm 10 - CTST
- Lớp 10 - Cánh diều
- Soạn văn 10 (hay nhất) - Cánh diều
- Soạn văn 10 (ngắn nhất) - Cánh diều
- Soạn văn 10 (siêu ngắn) - Cánh diều
- Giải sgk Toán 10 - Cánh diều
- Giải sgk Vật lí 10 - Cánh diều
- Giải sgk Hóa học 10 - Cánh diều
- Giải sgk Sinh học 10 - Cánh diều
- Giải sgk Địa lí 10 - Cánh diều
- Giải sgk Lịch sử 10 - Cánh diều
- Giải sgk Kinh tế và Pháp luật 10 - Cánh diều
- Giải sgk Tin học 10 - Cánh diều
- Giải sgk Công nghệ 10 - Cánh diều
- Giải sgk Hoạt động trải nghiệm 10 - Cánh diều
- Giải sgk Giáo dục quốc phòng 10 - Cánh diều


Giải bài tập SGK & SBT
Tài liệu giáo viên
Sách
Khóa học
Thi online
Hỏi đáp

