Bài 8 trang 202 Sách bài tập Hình học 10
Ôn tập cuối năm
Bài 8 trang 202 Sách bài tập Hình học 10: Cho đường tròn (C) tâm I(1;-2), bán kính R và điểm K(1;3).
a) Cho R = 1. Viết phương trình tiếp tuyến của (C) đi qua K;
b) Xác định R để từ K vẽ được đến (C) hai tiếp tuyến tiếp xúc với (C) lần lượt tại hai điểm M1, M2 sao cho diện tích tứ giác KM1IM2 bằng 2√6 .
Lời giải:
(Xem hình 3.31)
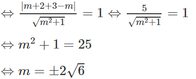
a) R = 1. Gọi Δ là đường thẳng đi qua điểm K(1 ; 3) và có hệ số góc m. Δ có phương trình y = m(x - 1) + 3
⇔ mx - y + (3 - m) = 0.
Ta có Δ tiếp xúc vơi (C) ⇔ d(I,Δ) = R
Vậy qua điểm K có hai tiếp tuyến với (C). Đó là :
Δ1: y = 2√6(x - 1) + 3 và Δ2: y = -2√6(x - 1) + 3
b) Ta có:
Ta có: SKM1IM2 = 2√6
⇔ 2SIM2K = 2√6
⇔ IM2. KM2 = 2√6
⇔ R2(25 - R2) = 24
⇔ R4 - 25R2 + 24 = 0
Vậy bán kính đường tròn bằng 1 hoặc 2√6.
Các bài giải sách bài tập Hình học 10 khác:
Bài 9 trang 202 Sách bài tập Hình học 10: Trong mặt phẳng tọa độ Oxy, cho đường tròn (C)....
Bài 10 trang 202 Sách bài tập Hình học 10: Trong mặt phẳng tọa độ Oxy, cho elip (E)....
Bài 11 trang 202 Sách bài tập Hình học 10: Trong mặt phẳng tọa độ Oxy, cho ba điểm....
Để học tốt lớp 10 các môn học sách mới:
- Giải bài tập Lớp 10 Kết nối tri thức
- Giải bài tập Lớp 10 Chân trời sáng tạo
- Giải bài tập Lớp 10 Cánh diều
Tủ sách VIETJACK shopee lớp 10-11 (cả 3 bộ sách):
Đã có app VietJack trên điện thoại, giải bài tập SGK, SBT Soạn văn, Văn mẫu, Thi online, Bài giảng....miễn phí. Tải ngay ứng dụng trên Android và iOS.
Theo dõi chúng tôi miễn phí trên mạng xã hội facebook và youtube:Nếu thấy hay, hãy động viên và chia sẻ nhé! Các bình luận không phù hợp với nội quy bình luận trang web sẽ bị cấm bình luận vĩnh viễn.
- Giải Tiếng Anh 10 Global Success
- Giải Tiếng Anh 10 Friends Global
- Giải sgk Tiếng Anh 10 iLearn Smart World
- Giải sgk Tiếng Anh 10 Explore New Worlds
- Lớp 10 - Kết nối tri thức
- Soạn văn 10 (hay nhất) - KNTT
- Soạn văn 10 (ngắn nhất) - KNTT
- Soạn văn 10 (siêu ngắn) - KNTT
- Giải sgk Toán 10 - KNTT
- Giải sgk Vật lí 10 - KNTT
- Giải sgk Hóa học 10 - KNTT
- Giải sgk Sinh học 10 - KNTT
- Giải sgk Địa lí 10 - KNTT
- Giải sgk Lịch sử 10 - KNTT
- Giải sgk Kinh tế và Pháp luật 10 - KNTT
- Giải sgk Tin học 10 - KNTT
- Giải sgk Công nghệ 10 - KNTT
- Giải sgk Hoạt động trải nghiệm 10 - KNTT
- Giải sgk Giáo dục quốc phòng 10 - KNTT
- Lớp 10 - Chân trời sáng tạo
- Soạn văn 10 (hay nhất) - CTST
- Soạn văn 10 (ngắn nhất) - CTST
- Soạn văn 10 (siêu ngắn) - CTST
- Giải Toán 10 - CTST
- Giải sgk Vật lí 10 - CTST
- Giải sgk Hóa học 10 - CTST
- Giải sgk Sinh học 10 - CTST
- Giải sgk Địa lí 10 - CTST
- Giải sgk Lịch sử 10 - CTST
- Giải sgk Kinh tế và Pháp luật 10 - CTST
- Giải sgk Hoạt động trải nghiệm 10 - CTST
- Lớp 10 - Cánh diều
- Soạn văn 10 (hay nhất) - Cánh diều
- Soạn văn 10 (ngắn nhất) - Cánh diều
- Soạn văn 10 (siêu ngắn) - Cánh diều
- Giải sgk Toán 10 - Cánh diều
- Giải sgk Vật lí 10 - Cánh diều
- Giải sgk Hóa học 10 - Cánh diều
- Giải sgk Sinh học 10 - Cánh diều
- Giải sgk Địa lí 10 - Cánh diều
- Giải sgk Lịch sử 10 - Cánh diều
- Giải sgk Kinh tế và Pháp luật 10 - Cánh diều
- Giải sgk Tin học 10 - Cánh diều
- Giải sgk Công nghệ 10 - Cánh diều
- Giải sgk Hoạt động trải nghiệm 10 - Cánh diều
- Giải sgk Giáo dục quốc phòng 10 - Cánh diều


Giải bài tập SGK & SBT
Tài liệu giáo viên
Sách
Khóa học
Thi online
Hỏi đáp

