Bài 4.41 trang 172 SBT Đại số và Giải tích 11
Bài 3: Hàm số liên tục
Bài 4.41 trang 172 Sách bài tập Đại số 11: Chứng minh phương trình
xn + a1xn-1 + a2xn-2 + ... + an-1x + an = 0 luôn có nghiệm với n là số tự nhiên lẻ.
Lời giải:
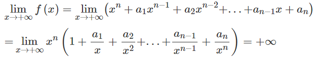
Hàm số f(x) = xn + a1xn-1 + a2xn-2 + ... + an-1x + an xác định trên R
- Ta có
Vì
nên với dãy số (xn) bất kì mà xn → +∞ ta luôn có lim f(xn) = +∞
Do đó, f(xn) có thể lớn hơn một số dương bất kì, kể từ một số hạng nào đó trở đi.
Nếu số dương này là 1 thì f(xn) > 1 kể từ một số hạng nào đó trở đi.
Nói cách khác, luôn tồn tại số a sao cho f(a) > 1 (1)
Vì
nên với dãy số (xn) bất kì mà xn → −∞ ta luôn có lim f(xn) = −∞ hay lim[−f(xn)] = +∞
Do đó, −f(xn) có thể lớn hơn một số dương bất kì, kể từ một số hạng nào đó trở đi.
Nếu số dương này là 1 thì −f(xn) > 1 kể từ số hạng nào đó trở đi. Nói cách khác, luôn tồn tại b sao cho −f(b) > 1 hay f(b) < −1 (2)
- Từ (1) và (2) suy ra f(a).f(b) < 0
Mặt khác, f(x) hàm đa thức liên tục trên R nên liên tục trên [a; b]
Do đó, phương trình f(x) = 0 luôn có nghiệm.
Các bài giải sách bài tập Đại số & Giải tích 11 khác:
- Bài 4.41 trang 172 Sách bài tập Đại số 11: Chứng minh phương trình....
- Bài 4.42 trang 172 Sách bài tập Đại số 11: Cho hàm số y = f(x) không liên tục trên đoạn [a; b]....
- Bài 4.43 trang 172 Sách bài tập Đại số 11: Nếu hàm số y = f(x) không liên tục trên đoạn [a; b]....
- Bài tập trắc nghiệm trang 172 Sách bài tập Đại số 11: Bài 4.44: a) Cho hàm số f(x) xác định trên khoảng K chứa a....
Tủ sách VIETJACK shopee lớp 10-11 (cả 3 bộ sách):
Đã có app VietJack trên điện thoại, giải bài tập SGK, SBT Soạn văn, Văn mẫu, Thi online, Bài giảng....miễn phí. Tải ngay ứng dụng trên Android và iOS.
Theo dõi chúng tôi miễn phí trên mạng xã hội facebook và youtube:Nếu thấy hay, hãy động viên và chia sẻ nhé! Các bình luận không phù hợp với nội quy bình luận trang web sẽ bị cấm bình luận vĩnh viễn.
- Giải Tiếng Anh 11 Global Success
- Giải sgk Tiếng Anh 11 Smart World
- Giải sgk Tiếng Anh 11 Friends Global
- Lớp 11 - Kết nối tri thức
- Soạn văn 11 (hay nhất) - KNTT
- Soạn văn 11 (ngắn nhất) - KNTT
- Giải sgk Toán 11 - KNTT
- Giải sgk Vật Lí 11 - KNTT
- Giải sgk Hóa học 11 - KNTT
- Giải sgk Sinh học 11 - KNTT
- Giải sgk Lịch Sử 11 - KNTT
- Giải sgk Địa Lí 11 - KNTT
- Giải sgk Giáo dục KTPL 11 - KNTT
- Giải sgk Tin học 11 - KNTT
- Giải sgk Công nghệ 11 - KNTT
- Giải sgk Hoạt động trải nghiệm 11 - KNTT
- Giải sgk Giáo dục quốc phòng 11 - KNTT
- Giải sgk Âm nhạc 11 - KNTT
- Lớp 11 - Chân trời sáng tạo
- Soạn văn 11 (hay nhất) - CTST
- Soạn văn 11 (ngắn nhất) - CTST
- Giải sgk Toán 11 - CTST
- Giải sgk Vật Lí 11 - CTST
- Giải sgk Hóa học 11 - CTST
- Giải sgk Sinh học 11 - CTST
- Giải sgk Lịch Sử 11 - CTST
- Giải sgk Địa Lí 11 - CTST
- Giải sgk Giáo dục KTPL 11 - CTST
- Giải sgk Hoạt động trải nghiệm 11 - CTST
- Giải sgk Âm nhạc 11 - CTST
- Lớp 11 - Cánh diều
- Soạn văn 11 Cánh diều (hay nhất)
- Soạn văn 11 Cánh diều (ngắn nhất)
- Giải sgk Toán 11 - Cánh diều
- Giải sgk Vật Lí 11 - Cánh diều
- Giải sgk Hóa học 11 - Cánh diều
- Giải sgk Sinh học 11 - Cánh diều
- Giải sgk Lịch Sử 11 - Cánh diều
- Giải sgk Địa Lí 11 - Cánh diều
- Giải sgk Giáo dục KTPL 11 - Cánh diều
- Giải sgk Tin học 11 - Cánh diều
- Giải sgk Công nghệ 11 - Cánh diều
- Giải sgk Hoạt động trải nghiệm 11 - Cánh diều
- Giải sgk Giáo dục quốc phòng 11 - Cánh diều
- Giải sgk Âm nhạc 11 - Cánh diều


Giải bài tập SGK & SBT
Tài liệu giáo viên
Sách
Khóa học
Thi online
Hỏi đáp

