Bài 134 trang 33 SBT Toán 7 Tập 1
Ôn tập chương 1
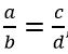
Bài 134 trang 33 sách bài tập Toán 7 Tập 1: Từ tỉ lệ thức
Hãy suy ra các tỉ lệ thức sau:
Lời giải:
Theo tính chất dãy tỉ số bằng nhau ta có:
Các bài giải bài tập sách bài tập Toán 7 (SBT Toán 7) Bài Ôn tập Chương 1 Đại Số khác:
Bài 130 (trang 32 Sách bài tập Toán 7 Tập 1): Tìm x biết ....
Bài 131 (trang 33 Sách bài tập Toán 7 Tập 1): Tìm số nghịch đảo của a biết: ....
Bài 132 (trang 33 Sách bài tập Toán 7 Tập 1): Chứng minh rằng số nghịch đảo của ....
Bài 133 (trang 33 Sách bài tập Toán 7 Tập 1): Tìm x trong các tỉ lệ thức sau: ....
Bài 134 (trang 33 Sách bài tập Toán 7 Tập 1): Từ tỉ lệ thức ....
Bài 135 (trang 33 Sách bài tập Toán 7 Tập 1): Một mảnh đất hình chữ nhật có ....
Bài 136 (trang 33 Sách bài tập Toán 7 Tập 1): Hãy cho một ví dụ minh hoạ để ....
Bài 137 (trang 33 Sách bài tập Toán 7 Tập 1): a. Các đẳng thức sau có đúng không? ....
Bài 140 (trang 34 Sách bài tập Toán 7 Tập 1): Cho x, y ∈ Q. Chứng tỏ rằng ....
Bài 141 (trang 34 Sách bài tập Toán 7 Tập 1): Tìm giá trị nhỏ nhất của biểu thức: ....
- Bài tập bổ sung (trang 34 và 35)
Bài I.1 (trang 34 Sách bài tập Toán 7 Tập 1): Tích 25.95.28.98 bằng....
Bài I.2 (trang 34 Sách bài tập Toán 7 Tập 1): Hãy chọn đáp án đúng ....
Bài I.3 (trang 34 Sách bài tập Toán 7 Tập 1): Hãy chọn đáp án đúng ....
Bài I.4 (trang 34 Sách bài tập Toán 7 Tập 1): Cho a + b + c = a2 + b2 + c2 = 1 ....
Bài I.5 (trang 34 Sách bài tập Toán 7 Tập 1): Tìm x, y biết ....
Bài I.6 (trang 35 Sách bài tập Toán 7 Tập 1): Với giá trị nào của x thì ....
Bài I.7 (trang 35 Sách bài tập Toán 7 Tập 1): Với giá trị nào của x thì ....
Lời giải bài tập lớp 7 sách mới:
- Giải bài tập Lớp 7 Kết nối tri thức
- Giải bài tập Lớp 7 Chân trời sáng tạo
- Giải bài tập Lớp 7 Cánh diều
Tủ sách VIETJACK shopee lớp 6-8 (2025):
Đã có app VietJack trên điện thoại, giải bài tập SGK, SBT Soạn văn, Văn mẫu, Thi online, Bài giảng....miễn phí. Tải ngay ứng dụng trên Android và iOS.
Theo dõi chúng tôi miễn phí trên mạng xã hội facebook và youtube:Loạt bài Giải sách bài tập Toán 7 | Giải sbt Toán 7 của chúng tôi được biên soạn bám sát nội dung SBT Toán 7 Tập 1 và Tập 2.
Nếu thấy hay, hãy động viên và chia sẻ nhé! Các bình luận không phù hợp với nội quy bình luận trang web sẽ bị cấm bình luận vĩnh viễn.
- Giải Tiếng Anh 7 Global Success
- Giải Tiếng Anh 7 Friends plus
- Giải sgk Tiếng Anh 7 Smart World
- Giải Tiếng Anh 7 Explore English
- Lớp 7 - Kết nối tri thức
- Soạn văn 7 (hay nhất) - KNTT
- Soạn văn 7 (ngắn nhất) - KNTT
- Giải sgk Toán 7 - KNTT
- Giải sgk Khoa học tự nhiên 7 - KNTT
- Giải sgk Lịch Sử 7 - KNTT
- Giải sgk Địa Lí 7 - KNTT
- Giải sgk Giáo dục công dân 7 - KNTT
- Giải sgk Tin học 7 - KNTT
- Giải sgk Công nghệ 7 - KNTT
- Giải sgk Hoạt động trải nghiệm 7 - KNTT
- Giải sgk Âm nhạc 7 - KNTT
- Lớp 7 - Chân trời sáng tạo
- Soạn văn 7 (hay nhất) - CTST
- Soạn văn 7 (ngắn nhất) - CTST
- Giải sgk Toán 7 - CTST
- Giải sgk Khoa học tự nhiên 7 - CTST
- Giải sgk Lịch Sử 7 - CTST
- Giải sgk Địa Lí 7 - CTST
- Giải sgk Giáo dục công dân 7 - CTST
- Giải sgk Công nghệ 7 - CTST
- Giải sgk Tin học 7 - CTST
- Giải sgk Hoạt động trải nghiệm 7 - CTST
- Giải sgk Âm nhạc 7 - CTST
- Lớp 7 - Cánh diều
- Soạn văn 7 (hay nhất) - Cánh diều
- Soạn văn 7 (ngắn nhất) - Cánh diều
- Giải sgk Toán 7 - Cánh diều
- Giải sgk Khoa học tự nhiên 7 - Cánh diều
- Giải sgk Lịch Sử 7 - Cánh diều
- Giải sgk Địa Lí 7 - Cánh diều
- Giải sgk Giáo dục công dân 7 - Cánh diều
- Giải sgk Công nghệ 7 - Cánh diều
- Giải sgk Tin học 7 - Cánh diều
- Giải sgk Hoạt động trải nghiệm 7 - Cánh diều
- Giải sgk Âm nhạc 7 - Cánh diều


Giải bài tập SGK & SBT
Tài liệu giáo viên
Sách
Khóa học
Thi online
Hỏi đáp

