Bài 6.3 trang 111 SBT Toán 7 Tập 1
Bài 6: Từ vuông góc đến song song
Bài 6.3 trang 111 sách bài tập Toán 7 Tập 1: Cho trước bốn đường thẳng phân biệt m, n, p, q.
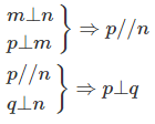
a) Biết m song song với n thêm vào đó p vuông góc với m còn q vuông góc với n. Khi đó hai đường thẳng p và q có song song với nhau không?
b) Biết m vuông góc với n thêm vào đó n vuông góc với p còn p vuông góc với q. Khi đó hai đường thẳng m và q có vuông góc với nhau không?
c) Biết m vuông góc với n, p song song với m và q song song với n. Khi đó hai đường thẳng p và q vuông góc với nhau hay song song với nhau.
d) Biết m vuông góc với n, p vuông góc với m và q vuông góc với n. Khi đo hai đường thẳng p và q vuông góc với nhau hay song song với nhau?
Lời giải:
a) p có song song với q
b) m vuông góc với q.
c) Hai đường thẳng p và q vuông góc với nhau.
d) Hai đường thẳng p và q vuông góc với nhau.
Các bài giải bài tập sách bài tập Toán 7 (SBT Toán 7) Bài 6 Chương 1 Hình Học khác:
Bài 31 (trang 110 Sách bài tập Toán 7 Tập 1): Tính số đo x của góc AOB ở hình dưới, ....
Bài 32 (trang 110 Sách bài tập Toán 7 Tập 1): a, dùng eke vẽ hai đường thẳng a,b cùng ....
Bài 33 (trang 110 Sách bài tập Toán 7 Tập 1): a, Vẽ a//b và c ⏊ a ....
Bài 34 (trang 110 Sách bài tập Toán 7 Tập 1): a, Vẽ ba đường thẳng a,b,c sao cho b//a và c//a ....
Bài 35 (trang 110 Sách bài tập Toán 7 Tập 1): a. Vẽ ba đường thẳng a,b,c sao cho a//b//c ....
Bài 36 (trang 110 Sách bài tập Toán 7 Tập 1): Làm thế nào để kiểm tra được hai đường thẳng có ....
Bài 37 (trang 110 Sách bài tập Toán 7 Tập 1): Hãy phát biểu các tính chất có liên quan đến ....
Bài 38 (trang 110 Sách bài tập Toán 7 Tập 1): Dùng eke vẽ đường thẳng d’ đi qua A ....
- Bài tập bổ sung (trang 111)
Bài 6.1 (trang 111 Sách bài tập Toán 7 Tập 1): Cho hình bs 8 ....
Bài 6.2 (trang 111 Sách bài tập Toán 7 Tập 1): Cho đường thẳng e cắt hai đường thẳng ....
Bài 6.3 (trang 111 Sách bài tập Toán 7 Tập 1): Cho trước bốn đường thẳng phân biệt ....
Lời giải bài tập lớp 7 sách mới:
- Giải bài tập Lớp 7 Kết nối tri thức
- Giải bài tập Lớp 7 Chân trời sáng tạo
- Giải bài tập Lớp 7 Cánh diều
Tủ sách VIETJACK shopee lớp 6-8 (2025):
Đã có app VietJack trên điện thoại, giải bài tập SGK, SBT Soạn văn, Văn mẫu, Thi online, Bài giảng....miễn phí. Tải ngay ứng dụng trên Android và iOS.
Theo dõi chúng tôi miễn phí trên mạng xã hội facebook và youtube:Loạt bài Giải sách bài tập Toán 7 | Giải sbt Toán 7 của chúng tôi được biên soạn bám sát nội dung SBT Toán 7 Tập 1 và Tập 2.
Nếu thấy hay, hãy động viên và chia sẻ nhé! Các bình luận không phù hợp với nội quy bình luận trang web sẽ bị cấm bình luận vĩnh viễn.
- Giải Tiếng Anh 7 Global Success
- Giải Tiếng Anh 7 Friends plus
- Giải sgk Tiếng Anh 7 Smart World
- Giải Tiếng Anh 7 Explore English
- Lớp 7 - Kết nối tri thức
- Soạn văn 7 (hay nhất) - KNTT
- Soạn văn 7 (ngắn nhất) - KNTT
- Giải sgk Toán 7 - KNTT
- Giải sgk Khoa học tự nhiên 7 - KNTT
- Giải sgk Lịch Sử 7 - KNTT
- Giải sgk Địa Lí 7 - KNTT
- Giải sgk Giáo dục công dân 7 - KNTT
- Giải sgk Tin học 7 - KNTT
- Giải sgk Công nghệ 7 - KNTT
- Giải sgk Hoạt động trải nghiệm 7 - KNTT
- Giải sgk Âm nhạc 7 - KNTT
- Lớp 7 - Chân trời sáng tạo
- Soạn văn 7 (hay nhất) - CTST
- Soạn văn 7 (ngắn nhất) - CTST
- Giải sgk Toán 7 - CTST
- Giải sgk Khoa học tự nhiên 7 - CTST
- Giải sgk Lịch Sử 7 - CTST
- Giải sgk Địa Lí 7 - CTST
- Giải sgk Giáo dục công dân 7 - CTST
- Giải sgk Công nghệ 7 - CTST
- Giải sgk Tin học 7 - CTST
- Giải sgk Hoạt động trải nghiệm 7 - CTST
- Giải sgk Âm nhạc 7 - CTST
- Lớp 7 - Cánh diều
- Soạn văn 7 (hay nhất) - Cánh diều
- Soạn văn 7 (ngắn nhất) - Cánh diều
- Giải sgk Toán 7 - Cánh diều
- Giải sgk Khoa học tự nhiên 7 - Cánh diều
- Giải sgk Lịch Sử 7 - Cánh diều
- Giải sgk Địa Lí 7 - Cánh diều
- Giải sgk Giáo dục công dân 7 - Cánh diều
- Giải sgk Công nghệ 7 - Cánh diều
- Giải sgk Tin học 7 - Cánh diều
- Giải sgk Hoạt động trải nghiệm 7 - Cánh diều
- Giải sgk Âm nhạc 7 - Cánh diều


Giải bài tập SGK & SBT
Tài liệu giáo viên
Sách
Khóa học
Thi online
Hỏi đáp

