Bài 1 trang 23 SBT Toán 8 Tập 1
Bài 1: Phân thức đại số
Video Bài 1 trang 23 Sách bài tập Toán 8 Tập 1 - Cô Nguyễn Anh (Giáo viên VietJack)
Bài 1 trang 23 SBT Toán 8 Tập 1: Dùng định nghĩa hai phân thức bằng nhau chứng minh các đẳng thức sau:
Lời giải:
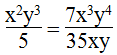
a. Ta có: x2y3.35xy = 35x3y4
5.7x3y4 = 35x3y4
Suy ra: x2y3.35xy = 5.7x3y4
Vậy
b. Ta có: x2(x + 2)(x + 2) = x2(x + 2)2
x(x + 2)2.x = x2(x + 2)2
Suy ra: x2(x + 2)(x + 2) = x(x + 2)2.x
Vậy
c) Ta có:
(3 – x). (9 - x2) = (3 – x).( 3 - x).(3 + x)= (3 – x)2(3 + x) (1)
Và ( 3 + x).( x2 – 6x + 9) = (3 + x).(x - 3)2 = (3 + x). (3 - x)2) (2)
( Vì (x - 3) = -(3 - x) nên (x - 3)2 = [- (3 - x)]2 = (3- x)2)
Từ (1) và (2) suy ra: (3 - x).(9 - x2) = (3 + x).(x2 – 6x + 9)
Do đó:
d. Ta có: (x3 – 4x).5 = 5x3 – 20x
(10 – 5x)(- x2 – 2x) = - 10x2 – 20x + 5x3 + 10x2 = 5x3 – 20x
Suy ra: (x3 – 4x).5 = (10 – 5x)(- x2 – 2x)
Vậy
Các bài giải bài tập sách bài tập Toán 8 (SBT Toán 8) khác:
Bài 1.1 (trang 24 Sách bài tập Toán 8 Tập 1): Tìm đa thức P để...
Bài 1.2 (trang 24 Sách bài tập Toán 8 Tập 1): Trong mỗi trường hợp sau hãy tìm hai đa thức...
Bài 1.3 (trang 24 Sách bài tập Toán 8 Tập 1): Cho hai phân thức P / Q và R / S. Chứng tỏ rằng...
Xem thêm các loạt bài Để học tốt Toán lớp 8 hay khác:
Tủ sách VIETJACK shopee lớp 6-8 (2025):
Đã có app VietJack trên điện thoại, giải bài tập SGK, SBT Soạn văn, Văn mẫu, Thi online, Bài giảng....miễn phí. Tải ngay ứng dụng trên Android và iOS.
Theo dõi chúng tôi miễn phí trên mạng xã hội facebook và youtube:Loạt bài Giải sách bài tập Toán 8 | Giải sbt Toán 8 của chúng tôi được biên soạn bám sát nội dung Sách bài tập Toán 8.
Nếu thấy hay, hãy động viên và chia sẻ nhé! Các bình luận không phù hợp với nội quy bình luận trang web sẽ bị cấm bình luận vĩnh viễn.
- Giải Tiếng Anh 8 Global Success
- Giải sgk Tiếng Anh 8 Smart World
- Giải sgk Tiếng Anh 8 Friends plus
- Lớp 8 - Kết nối tri thức
- Soạn văn 8 (hay nhất) - KNTT
- Soạn văn 8 (ngắn nhất) KNTT
- Giải sgk Toán 8 - KNTT
- Giải sgk Khoa học tự nhiên 8 - KNTT
- Giải sgk Lịch Sử 8 - KNTT
- Giải sgk Địa Lí 8 - KNTT
- Giải sgk Giáo dục công dân 8 - KNTT
- Giải sgk Tin học 8 - KNTT
- Giải sgk Công nghệ 8 - KNTT
- Giải sgk Hoạt động trải nghiệm 8 - KNTT
- Giải sgk Âm nhạc 8 - KNTT
- Lớp 8 - Chân trời sáng tạo
- Soạn văn 8 (hay nhất) - CTST
- Soạn văn 8 (ngắn nhất) - CTST
- Giải sgk Toán 8 - CTST
- Giải sgk Khoa học tự nhiên 8 - CTST
- Giải sgk Lịch Sử 8 - CTST
- Giải sgk Địa Lí 8 - CTST
- Giải sgk Giáo dục công dân 8 - CTST
- Giải sgk Tin học 8 - CTST
- Giải sgk Công nghệ 8 - CTST
- Giải sgk Hoạt động trải nghiệm 8 - CTST
- Giải sgk Âm nhạc 8 - CTST
- Lớp 8 - Cánh diều
- Soạn văn 8 Cánh diều (hay nhất)
- Soạn văn 8 Cánh diều (ngắn nhất)
- Giải sgk Toán 8 - Cánh diều
- Giải sgk Khoa học tự nhiên 8 - Cánh diều
- Giải sgk Lịch Sử 8 - Cánh diều
- Giải sgk Địa Lí 8 - Cánh diều
- Giải sgk Giáo dục công dân 8 - Cánh diều
- Giải sgk Tin học 8 - Cánh diều
- Giải sgk Công nghệ 8 - Cánh diều
- Giải sgk Hoạt động trải nghiệm 8 - Cánh diều
- Giải sgk Âm nhạc 8 - Cánh diều


Giải bài tập SGK & SBT
Tài liệu giáo viên
Sách
Khóa học
Thi online
Hỏi đáp

