Giải sgk Toán 8 trang 82 Tập 2 (mới)
Trọn bộ lời giải bài tập Toán 8 trang 82 Tập 2 Cánh diều, Chân trời sáng tạo, Kết nối tri thức sẽ giúp học sinh lớp 8 dễ dàng làm bài tập Toán 8 trang 82 Tập 2. Bạn vào trang hoặc Xem lời giải để theo dõi chi tiết.
Giải Toán 8 trang 82 Tập 2 (sách mới)
- Toán lớp 8 trang 82 Tập 2 (sách mới):
Lưu trữ: Giải Toán 8 trang 82 Tập 2 (sách cũ)
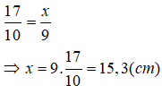
Bài 3 trang 82 sách bài tập Toán 8 Tập 2: Tính độ dài x củạ đoạn thẳng trong hình, biết rằng các số trên hình cùng đơn vị đo cm.
Lời giải:
a. Trong tam giác ABC, ta có: MN // BC
Suy ra:
b. Trong tam giác PQR, ta có: EF // QR
Suy ra:
Các bài giải bài tập sách bài tập Toán 8 (SBT Toán 8) khác:
Bài 1 (trang 82 Sách bài tập Toán 8 Tập 2): Viết tỉ số của các cặp đoạn thẳng sau...
Bài 2 (trang 82 Sách bài tập Toán 8 Tập 2): Đoạn thẳng AB gấp năm lần đạn thẳng CD; đoạn thẳng...
Bài 4 (trang 83 Sách bài tập Toán 8 Tập 2): Cho hình thang ABCD có AB // CD và AB < CD...
Bài 5 (trang 83 Sách bài tập Toán 8 Tập 2): Cho tam giác ABC. Từ điểm D trên cạnh BC...
Bài 1.1 (trang 83 Sách bài tập Toán 8 Tập 2): Hai đoạn thẳng AB = 35cm, CD = 105cm tỉ lệ với...
Bài 1.2 (trang 83 Sách bài tập Toán 8 Tập 2): Tam giác ABC vuông tại A có đường cao là...
Xem thêm các loạt bài Để học tốt Toán lớp 8 hay khác:
Tủ sách VIETJACK shopee lớp 6-8 (2025):
Đã có app VietJack trên điện thoại, giải bài tập SGK, SBT Soạn văn, Văn mẫu, Thi online, Bài giảng....miễn phí. Tải ngay ứng dụng trên Android và iOS.
Theo dõi chúng tôi miễn phí trên mạng xã hội facebook và youtube:Loạt bài Giải sách bài tập Toán 8 | Giải sbt Toán 8 của chúng tôi được biên soạn bám sát nội dung Sách bài tập Toán 8.
Nếu thấy hay, hãy động viên và chia sẻ nhé! Các bình luận không phù hợp với nội quy bình luận trang web sẽ bị cấm bình luận vĩnh viễn.
- Giải Tiếng Anh 8 Global Success
- Giải sgk Tiếng Anh 8 Smart World
- Giải sgk Tiếng Anh 8 Friends plus
- Lớp 8 - Kết nối tri thức
- Soạn văn 8 (hay nhất) - KNTT
- Soạn văn 8 (ngắn nhất) KNTT
- Giải sgk Toán 8 - KNTT
- Giải sgk Khoa học tự nhiên 8 - KNTT
- Giải sgk Lịch Sử 8 - KNTT
- Giải sgk Địa Lí 8 - KNTT
- Giải sgk Giáo dục công dân 8 - KNTT
- Giải sgk Tin học 8 - KNTT
- Giải sgk Công nghệ 8 - KNTT
- Giải sgk Hoạt động trải nghiệm 8 - KNTT
- Giải sgk Âm nhạc 8 - KNTT
- Lớp 8 - Chân trời sáng tạo
- Soạn văn 8 (hay nhất) - CTST
- Soạn văn 8 (ngắn nhất) - CTST
- Giải sgk Toán 8 - CTST
- Giải sgk Khoa học tự nhiên 8 - CTST
- Giải sgk Lịch Sử 8 - CTST
- Giải sgk Địa Lí 8 - CTST
- Giải sgk Giáo dục công dân 8 - CTST
- Giải sgk Tin học 8 - CTST
- Giải sgk Công nghệ 8 - CTST
- Giải sgk Hoạt động trải nghiệm 8 - CTST
- Giải sgk Âm nhạc 8 - CTST
- Lớp 8 - Cánh diều
- Soạn văn 8 Cánh diều (hay nhất)
- Soạn văn 8 Cánh diều (ngắn nhất)
- Giải sgk Toán 8 - Cánh diều
- Giải sgk Khoa học tự nhiên 8 - Cánh diều
- Giải sgk Lịch Sử 8 - Cánh diều
- Giải sgk Địa Lí 8 - Cánh diều
- Giải sgk Giáo dục công dân 8 - Cánh diều
- Giải sgk Tin học 8 - Cánh diều
- Giải sgk Công nghệ 8 - Cánh diều
- Giải sgk Hoạt động trải nghiệm 8 - Cánh diều
- Giải sgk Âm nhạc 8 - Cánh diều


Giải bài tập SGK & SBT
Tài liệu giáo viên
Sách
Khóa học
Thi online
Hỏi đáp

