Bài 4 trang 25 SBT Toán 8 Tập 1
Bài 2: Tính chất cơ bản của phân thức
Video Bài 4 trang 25 Sách bài tập Toán 8 Tập 1 - Cô Nguyễn Anh (Giáo viên VietJack)
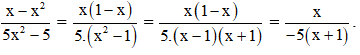
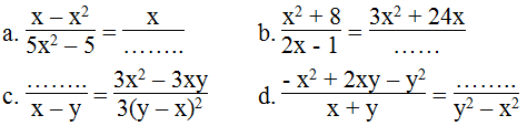
Bài 4 trang 25 SBT Toán 8 Tập 1: Dùng tính chất cơ bản của phân thức, hãy điền một đa thức thích hợp vào các chỗ vào các chỗ trống trong mỗi đẳng thức sau:
Lời giải:
a. Ta có: x – x2 = x.(1 – x)
(Tử thức của phân thức bên phải bằng tử thức của phân thức bên trái chia cho (1 – x).
Do đó ta chia cả tử và mẫu của phân thức bên trái cho 1 – x thì thu được phân thức bên phải.)
Vậy đa thức cần điền là -5x – 5.
b. 3x3 + 24x = 3x.(x2 + 8).
(Tử thức của phân thức bên phải bằng tử thức của phân thức bên trái nhân với 3x.
Do đó ta nhân cả tử và mẫu của phân thức bên trái với 3x thì thu được phân thức bên phải)
Vậy đa thức cần điền là 6x2 – 3x.
c. 3(y – x)2 = 3.(x – y)2 = (x – y).3(x – y)
(Mẫu thức của phân thức bên trái bằng mẫu thức của phân thức bên phải chia cho 3(x – y)
Do đó ta chia cả tử và mẫu của phân thức bên phải cho 3(x – y) để thu được phân thức bên trái)
Vậy đa thức cần điền là x.
d. y2 – x2 = (y – x)(y + x)
(Mẫu thức của phân thức bên phải bằng mẫu thức của phân thức bên trái nhân với (y – x).
Do đó ta nhân cả tử và mẫu của phân thức bên trái với (y – x) để thu được phân thức bên phải)
Vậy đa thức cần điền là (x – y)3.
Các bài giải bài tập sách bài tập Toán 8 (SBT Toán 8) khác:
Bài 2.1 (trang 25 Sách bài tập Toán 8 Tập 1): Hãy điền vào chỗ trống một đa thức thích hợp...
Bài 2.2 (trang 26 Sách bài tập Toán 8 Tập 1): Biến đổi mỗi phân thức sau thành ohaan thức có mẫu...
Bài 2.3 (trang 26 Sách bài tập Toán 8 Tập 1): Dùng tính chất cơ bản của phân thức chứng tỏ rằng...
Xem thêm các loạt bài Để học tốt Toán lớp 8 hay khác:
Tủ sách VIETJACK shopee lớp 6-8 (2025):
Đã có app VietJack trên điện thoại, giải bài tập SGK, SBT Soạn văn, Văn mẫu, Thi online, Bài giảng....miễn phí. Tải ngay ứng dụng trên Android và iOS.
Theo dõi chúng tôi miễn phí trên mạng xã hội facebook và youtube:Loạt bài Giải sách bài tập Toán 8 | Giải sbt Toán 8 của chúng tôi được biên soạn bám sát nội dung Sách bài tập Toán 8.
Nếu thấy hay, hãy động viên và chia sẻ nhé! Các bình luận không phù hợp với nội quy bình luận trang web sẽ bị cấm bình luận vĩnh viễn.
- Giải Tiếng Anh 8 Global Success
- Giải sgk Tiếng Anh 8 Smart World
- Giải sgk Tiếng Anh 8 Friends plus
- Lớp 8 - Kết nối tri thức
- Soạn văn 8 (hay nhất) - KNTT
- Soạn văn 8 (ngắn nhất) KNTT
- Giải sgk Toán 8 - KNTT
- Giải sgk Khoa học tự nhiên 8 - KNTT
- Giải sgk Lịch Sử 8 - KNTT
- Giải sgk Địa Lí 8 - KNTT
- Giải sgk Giáo dục công dân 8 - KNTT
- Giải sgk Tin học 8 - KNTT
- Giải sgk Công nghệ 8 - KNTT
- Giải sgk Hoạt động trải nghiệm 8 - KNTT
- Giải sgk Âm nhạc 8 - KNTT
- Lớp 8 - Chân trời sáng tạo
- Soạn văn 8 (hay nhất) - CTST
- Soạn văn 8 (ngắn nhất) - CTST
- Giải sgk Toán 8 - CTST
- Giải sgk Khoa học tự nhiên 8 - CTST
- Giải sgk Lịch Sử 8 - CTST
- Giải sgk Địa Lí 8 - CTST
- Giải sgk Giáo dục công dân 8 - CTST
- Giải sgk Tin học 8 - CTST
- Giải sgk Công nghệ 8 - CTST
- Giải sgk Hoạt động trải nghiệm 8 - CTST
- Giải sgk Âm nhạc 8 - CTST
- Lớp 8 - Cánh diều
- Soạn văn 8 Cánh diều (hay nhất)
- Soạn văn 8 Cánh diều (ngắn nhất)
- Giải sgk Toán 8 - Cánh diều
- Giải sgk Khoa học tự nhiên 8 - Cánh diều
- Giải sgk Lịch Sử 8 - Cánh diều
- Giải sgk Địa Lí 8 - Cánh diều
- Giải sgk Giáo dục công dân 8 - Cánh diều
- Giải sgk Tin học 8 - Cánh diều
- Giải sgk Công nghệ 8 - Cánh diều
- Giải sgk Hoạt động trải nghiệm 8 - Cánh diều
- Giải sgk Âm nhạc 8 - Cánh diều


Giải bài tập SGK & SBT
Tài liệu giáo viên
Sách
Khóa học
Thi online
Hỏi đáp

