Bài 40 trang 12 SBT Toán 8 Tập 2
Bài 5: Phương trình chứa ẩn ở mẫu
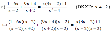
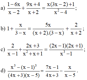
Bài 40 trang 12 sách bài tập Toán 8 Tập 2: Giải các phương trình sau:
Lời giải:
⇒ (1 – 6x)(x + 2) + (9x + 4)(x – 2) = x(3x – 2) + 1
⇔ x + 2 – 6x2 – 12x + 9x2 – 18x + 4x – 8 = 3x2 – 2x + 1
⇔ - 6x2 + 9x2 – 3x2 + x – 12x – 18x + 4x + 2x = 1 – 2 + 8
⇔ - 23x = 7 ⇔ x =
(thỏa mãn ĐKXĐ)
Vậy phương trình có nghiệm x = 
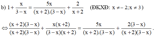
⇔ (x + 2)(3 – x) + x(x + 2) = 5x + 2(3 – x)
⇔ 3x – x2 + 6 – 2x + x2 + 2x = 5x + 6 – 2x
⇔ x2 – x2 + 3x – 2x + 2x – 5x + 2x = 6 – 6
⇔ 0x = 0 luôn đúng với mọi x.
Phương trình đã cho có nghiệm đúng với mọi giá trị của x thỏa mãn điều kiện xác định.
Vậy phương trình có nghiệm x ∈ ℝ và x ≠ 3 và x ≠ – 2.
⇔ 2(x2 + x + 1) + (2x + 3)(x – 1) = (2x – 1)(2x + 1)
⇔ 2x2 + 2x + 2 + 2x2 – 2x + 3x – 3 = 4x2 – 1
⇔ 2x2 + 2x2 – 4x2 + 2x – 2x + 3x = -1 – 2 + 3
⇔ 3x = 0 ⇔ x = 0 (thỏa mãn ĐKXĐ)
Vậy phương trình có nghiệm x = 0.
⇔ x3 – (x3 - 3x2 + 3x - 1) = (7x – 1)(x – 5) – x(4x + 3)
⇔ x3 – x3 + 3x2 – 3x + 1 = 7x2 – 35x – x + 5 – 4x2 – 3x
⇔ 3x2 – 7x2 + 4x2 – 3x + 35x + x + 3x = 5 – 1
⇔ 36x = 4
⇔
(thoả mãn ĐKXĐ).
Vậy phương trình có nghiệm
.
Các bài giải bài tập sách bài tập Toán 8 (SBT Toán 8) khác:
Bài 37 (trang 11 Sách bài tập Toán 8 Tập 2): Các khẳng định sau đây đúng hay sai...
Bài 38 (trang 12 Sách bài tập Toán 8 Tập 2): Giải các phương trình sau...
Bài 40 (trang 12 Sách bài tập Toán 8 Tập 2): Giải các phương trình sau...
Bài 41 (trang 13 Sách bài tập Toán 8 Tập 2): Giải các phương trình sau...
Bài 42 (trang 13 Sách bài tập Toán 8 Tập 2): Cho phương trình ẩn x...
Bài 5.1 (trang 13 Sách bài tập Toán 8 Tập 2): Giải các phương trình...
Xem thêm các loạt bài Để học tốt Toán lớp 8 hay khác:
Tủ sách VIETJACK shopee lớp 6-8 (2025):
Đã có app VietJack trên điện thoại, giải bài tập SGK, SBT Soạn văn, Văn mẫu, Thi online, Bài giảng....miễn phí. Tải ngay ứng dụng trên Android và iOS.
Theo dõi chúng tôi miễn phí trên mạng xã hội facebook và youtube:Loạt bài Giải sách bài tập Toán 8 | Giải sbt Toán 8 của chúng tôi được biên soạn bám sát nội dung Sách bài tập Toán 8.
Nếu thấy hay, hãy động viên và chia sẻ nhé! Các bình luận không phù hợp với nội quy bình luận trang web sẽ bị cấm bình luận vĩnh viễn.
- Giải Tiếng Anh 8 Global Success
- Giải sgk Tiếng Anh 8 Smart World
- Giải sgk Tiếng Anh 8 Friends plus
- Lớp 8 - Kết nối tri thức
- Soạn văn 8 (hay nhất) - KNTT
- Soạn văn 8 (ngắn nhất) KNTT
- Giải sgk Toán 8 - KNTT
- Giải sgk Khoa học tự nhiên 8 - KNTT
- Giải sgk Lịch Sử 8 - KNTT
- Giải sgk Địa Lí 8 - KNTT
- Giải sgk Giáo dục công dân 8 - KNTT
- Giải sgk Tin học 8 - KNTT
- Giải sgk Công nghệ 8 - KNTT
- Giải sgk Hoạt động trải nghiệm 8 - KNTT
- Giải sgk Âm nhạc 8 - KNTT
- Lớp 8 - Chân trời sáng tạo
- Soạn văn 8 (hay nhất) - CTST
- Soạn văn 8 (ngắn nhất) - CTST
- Giải sgk Toán 8 - CTST
- Giải sgk Khoa học tự nhiên 8 - CTST
- Giải sgk Lịch Sử 8 - CTST
- Giải sgk Địa Lí 8 - CTST
- Giải sgk Giáo dục công dân 8 - CTST
- Giải sgk Tin học 8 - CTST
- Giải sgk Công nghệ 8 - CTST
- Giải sgk Hoạt động trải nghiệm 8 - CTST
- Giải sgk Âm nhạc 8 - CTST
- Lớp 8 - Cánh diều
- Soạn văn 8 Cánh diều (hay nhất)
- Soạn văn 8 Cánh diều (ngắn nhất)
- Giải sgk Toán 8 - Cánh diều
- Giải sgk Khoa học tự nhiên 8 - Cánh diều
- Giải sgk Lịch Sử 8 - Cánh diều
- Giải sgk Địa Lí 8 - Cánh diều
- Giải sgk Giáo dục công dân 8 - Cánh diều
- Giải sgk Tin học 8 - Cánh diều
- Giải sgk Công nghệ 8 - Cánh diều
- Giải sgk Hoạt động trải nghiệm 8 - Cánh diều
- Giải sgk Âm nhạc 8 - Cánh diều


Giải bài tập SGK & SBT
Tài liệu giáo viên
Sách
Khóa học
Thi online
Hỏi đáp

