Bài 64 trang 41 SBT Toán 8 Tập 1
Ôn tập chương 2 - Phần Đại số
Bài 64 trang 41 SBT Toán 8 Tập 1: Tìm điều kiện của x để giá trị của biểu thức được xác định và chứng minh rằng với điều kiện đó biểu thức không phụ thuộc vào biến x:
Lời giải:
a.
Vậy với điều kiện x ≠ 0 và x ≠ ±1 thì biểu thức đã cho không phụ thuộc biến x.
b.
Ta cóxác định khi x + 1 ≠ 0 và x – 1 ≠ 0 ⇒ x ≠ ± 1
xác định khi x – 1 ≠ 0 và x2 – 1 ≠ 0 ⇒ x ≠ ± 1
Vậy điều kiện để biểu thức xác định x ≠ ± 1
Ta có
Vậy với x ≠ ± 1 thì biểu thức đã cho không phụ thuộc vào x.
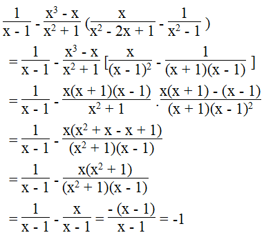
c.
Biểu thức xác định khi x – 1 ≠ 0, x2 – 2x + 1 ≠ 0 và x2 – 1 ≠ 0
x – 1 ≠ 0 ⇒ x ≠ 1
x2 – 2x + 1 ≠ 0 ⇒ (x – 1)2 ≠ 0 ⇒ x ≠ 1
x2 – 1 ≠ 0 ⇒ (x – 1)(x + 1) ≠ 0 ⇒ x ≠ -1 và x ≠ 1
Vậy biểu thức xác định với x ≠ -1 và x ≠ 1
Ta có:
Vậy biểu thức không phụ thuộc vào biến x.
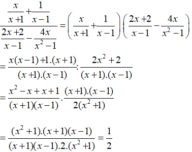
d.
Biểu thức xác định khi x2 – 36 ≠ 0, x2 + 6x ≠ 0, 6 – x ≠ 0 và 2x – 6 ≠ 0
x2 – 36 ≠ 0 ⇒ (x – 6)(x + 6) ≠ 0 ⇒ x ≠ 6 và x ≠ -6
x2 + 6x ≠ 0 ⇒ x(x + 6) ≠ 0 ⇒ x ≠ 0 và x ≠ -6
6 – x ≠ 0 ⇒ x ≠ 6
2x – 6 ≠ 0 ⇒ x ≠ 3
Vậy x ≠ 0, x ≠ 3, x ≠ 6 và x ≠ -6 thì biểu thức xác định.
Ta có:
Vậy biểu thức không phụ thuộc vào biến x.
Các bài giải bài tập sách bài tập Toán 8 (SBT Toán 8) khác:
Bài 58 (trang 39 Sách bài tập Toán 8 Tập 1): Thực hiện các phép tính...
Bài 59 (trang 40 Sách bài tập Toán 8 Tập 1): Chứng minh đẳng thức...
Bài 60 (trang 40 Sách bài tập Toán 8 Tập 1): Biến đổi các biểu thức hữu tỉ thành phân thức...
Bài 65 (trang 41 Sách bài tập Toán 8 Tập 1): Chứng minh rằng...
Bài 67 (trang 42 Sách bài tập Toán 8 Tập 1): a. Rút gọn rồi tìm giá trị của x để biểu thức...
Bài II.1 (trang 42 Sách bài tập Toán 8 Tập 1): Rút gọn và tính giá trị của biểu thức sau tại...
Bài II.2 (trang 42 Sách bài tập Toán 8 Tập 1): Thực hiện phép tính...
Xem thêm các loạt bài Để học tốt Toán lớp 8 hay khác:
Tủ sách VIETJACK shopee lớp 6-8 (2025):
Đã có app VietJack trên điện thoại, giải bài tập SGK, SBT Soạn văn, Văn mẫu, Thi online, Bài giảng....miễn phí. Tải ngay ứng dụng trên Android và iOS.
Theo dõi chúng tôi miễn phí trên mạng xã hội facebook và youtube:Loạt bài Giải sách bài tập Toán 8 | Giải sbt Toán 8 của chúng tôi được biên soạn bám sát nội dung Sách bài tập Toán 8.
Nếu thấy hay, hãy động viên và chia sẻ nhé! Các bình luận không phù hợp với nội quy bình luận trang web sẽ bị cấm bình luận vĩnh viễn.
- Giải Tiếng Anh 8 Global Success
- Giải sgk Tiếng Anh 8 Smart World
- Giải sgk Tiếng Anh 8 Friends plus
- Lớp 8 - Kết nối tri thức
- Soạn văn 8 (hay nhất) - KNTT
- Soạn văn 8 (ngắn nhất) KNTT
- Giải sgk Toán 8 - KNTT
- Giải sgk Khoa học tự nhiên 8 - KNTT
- Giải sgk Lịch Sử 8 - KNTT
- Giải sgk Địa Lí 8 - KNTT
- Giải sgk Giáo dục công dân 8 - KNTT
- Giải sgk Tin học 8 - KNTT
- Giải sgk Công nghệ 8 - KNTT
- Giải sgk Hoạt động trải nghiệm 8 - KNTT
- Giải sgk Âm nhạc 8 - KNTT
- Lớp 8 - Chân trời sáng tạo
- Soạn văn 8 (hay nhất) - CTST
- Soạn văn 8 (ngắn nhất) - CTST
- Giải sgk Toán 8 - CTST
- Giải sgk Khoa học tự nhiên 8 - CTST
- Giải sgk Lịch Sử 8 - CTST
- Giải sgk Địa Lí 8 - CTST
- Giải sgk Giáo dục công dân 8 - CTST
- Giải sgk Tin học 8 - CTST
- Giải sgk Công nghệ 8 - CTST
- Giải sgk Hoạt động trải nghiệm 8 - CTST
- Giải sgk Âm nhạc 8 - CTST
- Lớp 8 - Cánh diều
- Soạn văn 8 Cánh diều (hay nhất)
- Soạn văn 8 Cánh diều (ngắn nhất)
- Giải sgk Toán 8 - Cánh diều
- Giải sgk Khoa học tự nhiên 8 - Cánh diều
- Giải sgk Lịch Sử 8 - Cánh diều
- Giải sgk Địa Lí 8 - Cánh diều
- Giải sgk Giáo dục công dân 8 - Cánh diều
- Giải sgk Tin học 8 - Cánh diều
- Giải sgk Công nghệ 8 - Cánh diều
- Giải sgk Hoạt động trải nghiệm 8 - Cánh diều
- Giải sgk Âm nhạc 8 - Cánh diều


Giải bài tập SGK & SBT
Tài liệu giáo viên
Sách
Khóa học
Thi online
Hỏi đáp

