Bài 1 trang 100 SBT Toán 9 Tập 2
Bài 1: Góc ở tâm - Số đo cung
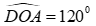
Bài 1 trang 100 Sách bài tập Toán 9 Tập 2: Cho hình bs.4. Biết , OA vuông góc với OC, OB vuông góc với OD.
a) Đọc tên các góc ở tâm có số đo nhỏ hơn 1800.
b) Cho biết số đo của mỗi góc ở tâm tìm được ở câu trên.
c) Cho biết tên của các cặp cung có số đo bằng nhau (nhỏ hơn 1800).
d) So sánh hai cung nhỏ AB và BC.
Lời giải:
c)
Các cung có số đo bằng nhau nhỏ hơn 180° là:
(hai cung nhỏ, do )
(hai cung nhỏ, do )
d)
Suy ra: 2.
Các bài giải bài tập sách bài tập Toán 9 (SBT Toán 9) khác:
Bài 1 (trang 99 Sách bài tập Toán 9 Tập 2): a) Từ 1 giờ đến 3 giờ ...
Bài 2 (trang 99 Sách bài tập Toán 9 Tập 2): Một đồng hồ chạy chậm ...
Bài 3 (trang 99 Sách bài tập Toán 9 Tập 2): Hãy xếp một tờ giấy để ...
Bài 4 (trang 99 Sách bài tập Toán 9 Tập 2): Hai tiếp tuyến tại A, B...
Bài 5 (trang 99 Sách bài tập Toán 9 Tập 2): Cho đường tròn (O; R)...
Bài 6 (trang 99 Sách bài tập Toán 9 Tập 2): Cho hai đường tròn (O; R)...
Bài 7 (trang 99 Sách bài tập Toán 9 Tập 2): Cho hai đường tròn (O), (O')...
Bài 8 (trang 100 Sách bài tập Toán 9 Tập 2): Trên một đường tròn,...
Bài 9 (trang 100 Sách bài tập Toán 9 Tập 2): Cho C là một điểm nằm ..
Bài 1.1 (trang 100 Sách bài tập Toán 9 Tập 2): Cho hình bs.4. Biết ...
Bài 1.2 (trang 100 Sách bài tập Toán 9 Tập 2): Cho đường tròn tâm O đường kình ...
Xem thêm các loạt bài Để học tốt Toán lớp 9 hay khác:
- Giải bài tập sgk Toán 9
- Các dạng bài tập Toán 9 chọn lọc
- Các dạng bài tập Toán 9 cực hay
- Đề thi vào 10 môn Toán
Tủ sách VIETJACK luyện thi vào 10 cho 2k11 (2026):
Đã có app VietJack trên điện thoại, giải bài tập SGK, SBT Soạn văn, Văn mẫu, Thi online, Bài giảng....miễn phí. Tải ngay ứng dụng trên Android và iOS.
Theo dõi chúng tôi miễn phí trên mạng xã hội facebook và youtube:Loạt bài Giải sách bài tập Toán 9 | Giải sbt Toán 9 của chúng tôi được biên soạn bám sát nội dung Sách bài tập Toán 9 Tập 1 và Tập 2.
Nếu thấy hay, hãy động viên và chia sẻ nhé! Các bình luận không phù hợp với nội quy bình luận trang web sẽ bị cấm bình luận vĩnh viễn.
- Giải Tiếng Anh 9 Global Success
- Giải sgk Tiếng Anh 9 Smart World
- Giải sgk Tiếng Anh 9 Friends plus
- Lớp 9 Kết nối tri thức
- Soạn văn 9 (hay nhất) - KNTT
- Soạn văn 9 (ngắn nhất) - KNTT
- Giải sgk Toán 9 - KNTT
- Giải sgk Khoa học tự nhiên 9 - KNTT
- Giải sgk Lịch Sử 9 - KNTT
- Giải sgk Địa Lí 9 - KNTT
- Giải sgk Giáo dục công dân 9 - KNTT
- Giải sgk Tin học 9 - KNTT
- Giải sgk Công nghệ 9 - KNTT
- Giải sgk Hoạt động trải nghiệm 9 - KNTT
- Giải sgk Âm nhạc 9 - KNTT
- Giải sgk Mĩ thuật 9 - KNTT
- Lớp 9 Chân trời sáng tạo
- Soạn văn 9 (hay nhất) - CTST
- Soạn văn 9 (ngắn nhất) - CTST
- Giải sgk Toán 9 - CTST
- Giải sgk Khoa học tự nhiên 9 - CTST
- Giải sgk Lịch Sử 9 - CTST
- Giải sgk Địa Lí 9 - CTST
- Giải sgk Giáo dục công dân 9 - CTST
- Giải sgk Tin học 9 - CTST
- Giải sgk Công nghệ 9 - CTST
- Giải sgk Hoạt động trải nghiệm 9 - CTST
- Giải sgk Âm nhạc 9 - CTST
- Giải sgk Mĩ thuật 9 - CTST
- Lớp 9 Cánh diều
- Soạn văn 9 Cánh diều (hay nhất)
- Soạn văn 9 Cánh diều (ngắn nhất)
- Giải sgk Toán 9 - Cánh diều
- Giải sgk Khoa học tự nhiên 9 - Cánh diều
- Giải sgk Lịch Sử 9 - Cánh diều
- Giải sgk Địa Lí 9 - Cánh diều
- Giải sgk Giáo dục công dân 9 - Cánh diều
- Giải sgk Tin học 9 - Cánh diều
- Giải sgk Công nghệ 9 - Cánh diều
- Giải sgk Hoạt động trải nghiệm 9 - Cánh diều
- Giải sgk Âm nhạc 9 - Cánh diều
- Giải sgk Mĩ thuật 9 - Cánh diều


Giải bài tập SGK & SBT
Tài liệu giáo viên
Sách
Khóa học
Thi online
Hỏi đáp

