Bài 1 trang 12 SBT Toán 9 Tập 2
Bài 4: Giải hệ phương trình bằng phương pháp cộng đại số
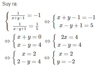
Bài 1 trang 12 Sách bài tập Toán 9 Tập 2: Giải các hệ phương trình:
Lời giải:
Hai giá trị x = 2; y = -2 thỏa mãn điều kiện bài toán.
Vậy hệ phương trình đã cho có một nghiệm (x; y) = (2; -2)
Các bài giải bài tập sách bài tập Toán 9 (SBT Toán 9) khác:
Bài 25 (trang 11 Sách bài tập Toán 9 Tập 2): Giải các hệ phương trình ...
Bài 26 (trang 11 Sách bài tập Toán 9 Tập 2): Giải các hệ phương trình ...
Bài 27 (trang 11 Sách bài tập Toán 9 Tập 2): Giải các hệ phương trình ...
Bài 28 (trang 11 Sách bài tập Toán 9 Tập 2): Tìm hai số a và b ...
Bài 29 (trang 11 Sách bài tập Toán 9 Tập 2): Tìm giá trị của a và b..
Bài 30 (trang 11 Sách bài tập Toán 9 Tập 2): Giải các hệ phương trình ...
Bài 31 (trang 12 Sách bài tập Toán 9 Tập 2): Tìm giá trị của m ...
Bài 32 (trang 12 Sách bài tập Toán 9 Tập 2): Tìm giá trị của m ...
Bài 33 (trang 12 Sách bài tập Toán 9 Tập 2): Tìm giá trị của m...
Bài 34 (trang 12 Sách bài tập Toán 9 Tập 2): Nghiệm chung của ba ...
Bài 4.1 (trang 12 Sách bài tập Toán 9 Tập 2): Giải các hệ phương trình: ...
Bài 4.2 (trang 12 Sách bài tập Toán 9 Tập 2): Hãy xác định hàm số bậc nhất thỏa mãn ...
Bài 4.3 (trang 13 Sách bài tập Toán 9 Tập 2): Giải hệ phương trình: ...
Xem thêm các loạt bài Để học tốt Toán lớp 9 hay khác:
- Giải bài tập sgk Toán 9
- Các dạng bài tập Toán 9 chọn lọc
- Các dạng bài tập Toán 9 cực hay
- Đề thi vào 10 môn Toán
Tủ sách VIETJACK luyện thi vào 10 cho 2k11 (2026):
Đã có app VietJack trên điện thoại, giải bài tập SGK, SBT Soạn văn, Văn mẫu, Thi online, Bài giảng....miễn phí. Tải ngay ứng dụng trên Android và iOS.
Theo dõi chúng tôi miễn phí trên mạng xã hội facebook và youtube:Loạt bài Giải sách bài tập Toán 9 | Giải sbt Toán 9 của chúng tôi được biên soạn bám sát nội dung Sách bài tập Toán 9 Tập 1 và Tập 2.
Nếu thấy hay, hãy động viên và chia sẻ nhé! Các bình luận không phù hợp với nội quy bình luận trang web sẽ bị cấm bình luận vĩnh viễn.
- Giải Tiếng Anh 9 Global Success
- Giải sgk Tiếng Anh 9 Smart World
- Giải sgk Tiếng Anh 9 Friends plus
- Lớp 9 Kết nối tri thức
- Soạn văn 9 (hay nhất) - KNTT
- Soạn văn 9 (ngắn nhất) - KNTT
- Giải sgk Toán 9 - KNTT
- Giải sgk Khoa học tự nhiên 9 - KNTT
- Giải sgk Lịch Sử 9 - KNTT
- Giải sgk Địa Lí 9 - KNTT
- Giải sgk Giáo dục công dân 9 - KNTT
- Giải sgk Tin học 9 - KNTT
- Giải sgk Công nghệ 9 - KNTT
- Giải sgk Hoạt động trải nghiệm 9 - KNTT
- Giải sgk Âm nhạc 9 - KNTT
- Giải sgk Mĩ thuật 9 - KNTT
- Lớp 9 Chân trời sáng tạo
- Soạn văn 9 (hay nhất) - CTST
- Soạn văn 9 (ngắn nhất) - CTST
- Giải sgk Toán 9 - CTST
- Giải sgk Khoa học tự nhiên 9 - CTST
- Giải sgk Lịch Sử 9 - CTST
- Giải sgk Địa Lí 9 - CTST
- Giải sgk Giáo dục công dân 9 - CTST
- Giải sgk Tin học 9 - CTST
- Giải sgk Công nghệ 9 - CTST
- Giải sgk Hoạt động trải nghiệm 9 - CTST
- Giải sgk Âm nhạc 9 - CTST
- Giải sgk Mĩ thuật 9 - CTST
- Lớp 9 Cánh diều
- Soạn văn 9 Cánh diều (hay nhất)
- Soạn văn 9 Cánh diều (ngắn nhất)
- Giải sgk Toán 9 - Cánh diều
- Giải sgk Khoa học tự nhiên 9 - Cánh diều
- Giải sgk Lịch Sử 9 - Cánh diều
- Giải sgk Địa Lí 9 - Cánh diều
- Giải sgk Giáo dục công dân 9 - Cánh diều
- Giải sgk Tin học 9 - Cánh diều
- Giải sgk Công nghệ 9 - Cánh diều
- Giải sgk Hoạt động trải nghiệm 9 - Cánh diều
- Giải sgk Âm nhạc 9 - Cánh diều
- Giải sgk Mĩ thuật 9 - Cánh diều


Giải bài tập SGK & SBT
Tài liệu giáo viên
Sách
Khóa học
Thi online
Hỏi đáp

