Bài 1 trang 46 SBT Toán 9 Tập 2
Bài 1: Hàm số y = ax2 (a ≠ 0)
Bài 1 trang 46 Sách bài tập Toán 9 Tập 2: Biết rằng hình lập phương có sáu mặt đều là hình vuông. Giả sử x là độ dài của cạnh hình lập phương.
a. Biểu diễn diện tích toàn phần S (tức là tổng diện tích của sáu mặt) của hình lập phương qua x.
b. Tính các giá trị của S ứng với các giá trị của x cho trong bảng dưới đây rồi điền vào các ô trống.
| x | 1/3 | 1/2 | 1 | 3/2 | 2 | 3 |
| S |
c. Nhận xét sự tăng, giảm của S khi x tăng.
d. Khi S giảm 16 lần thì cạnh x tăng hay giảm bao nhiêu lần ?
e. Tính cạnh của hình lập phương khi S = 27/2 cm2, S = 5cm2.
Lời giải:
a. Diện tích của một mặt hình lập phương là x2.
Hình lập phương có 6 mặt nên có diện tích toàn phần 6x2.
b. Giá trị của S và x được thể hiện trong bảng sau:
| x | 1/3 | 1/2 | 1 | 3/2 | 2 | 3 |
| S | 2/3 | 3/2 | 6 | 27/2 | 24 | 54 |
c. Khi giá trị của x tăng thì giá trị của S tăng.
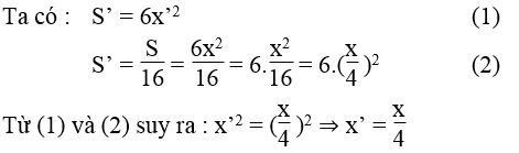
d. Gọi S’ là giá trị của S khi giảm đi 16 lần, x’ là cạnh hình lập phương khi S giảm đi 16 lần.
Vậy khi S giảm đi 16 lần thì cạnh hình vuông giảm đi 4 lần.
Các bài giải bài tập sách bài tập Toán 9 (SBT Toán 9) khác:
Bài 1 (trang 46 Sách bài tập Toán 9 Tập 2): Biết rằng hình lập phương ...
Bài 2 (trang 46 Sách bài tập Toán 9 Tập 2): Cho hàm số y = ....
Bài 3 (trang 46 Sách bài tập Toán 9 Tập 2): Cho hàm số y = ....
Bài 4 (trang 47 Sách bài tập Toán 9 Tập 2): Cho hàm số y = ....
Bài 5 (trang 47 Sách bài tập Toán 9 Tập 2): Đố Một hòn bi lăn trên ...
Bài 6 (trang 47 Sách bài tập Toán 9 Tập 2): Biết rằng nhiệt lượng ...
Bài 1.1 (trang 48 Sách bài tập Toán 9 Tập 2): Một bể nước hình hộp ...
Bài 1.2 (trang 48 Sách bài tập Toán 9 Tập 2): Cho hàm số y = ...
Bài 1.3 (trang 48 Sách bài tập Toán 9 Tập 2): Cho một nửa đường tròn ...
Xem thêm các loạt bài Để học tốt Toán lớp 9 hay khác:
- Giải bài tập sgk Toán 9
- Các dạng bài tập Toán 9 chọn lọc
- Các dạng bài tập Toán 9 cực hay
- Đề thi vào 10 môn Toán
Tủ sách VIETJACK luyện thi vào 10 cho 2k11 (2026):
Đã có app VietJack trên điện thoại, giải bài tập SGK, SBT Soạn văn, Văn mẫu, Thi online, Bài giảng....miễn phí. Tải ngay ứng dụng trên Android và iOS.
Theo dõi chúng tôi miễn phí trên mạng xã hội facebook và youtube:Loạt bài Giải sách bài tập Toán 9 | Giải sbt Toán 9 của chúng tôi được biên soạn bám sát nội dung Sách bài tập Toán 9 Tập 1 và Tập 2.
Nếu thấy hay, hãy động viên và chia sẻ nhé! Các bình luận không phù hợp với nội quy bình luận trang web sẽ bị cấm bình luận vĩnh viễn.
- Giải Tiếng Anh 9 Global Success
- Giải sgk Tiếng Anh 9 Smart World
- Giải sgk Tiếng Anh 9 Friends plus
- Lớp 9 Kết nối tri thức
- Soạn văn 9 (hay nhất) - KNTT
- Soạn văn 9 (ngắn nhất) - KNTT
- Giải sgk Toán 9 - KNTT
- Giải sgk Khoa học tự nhiên 9 - KNTT
- Giải sgk Lịch Sử 9 - KNTT
- Giải sgk Địa Lí 9 - KNTT
- Giải sgk Giáo dục công dân 9 - KNTT
- Giải sgk Tin học 9 - KNTT
- Giải sgk Công nghệ 9 - KNTT
- Giải sgk Hoạt động trải nghiệm 9 - KNTT
- Giải sgk Âm nhạc 9 - KNTT
- Giải sgk Mĩ thuật 9 - KNTT
- Lớp 9 Chân trời sáng tạo
- Soạn văn 9 (hay nhất) - CTST
- Soạn văn 9 (ngắn nhất) - CTST
- Giải sgk Toán 9 - CTST
- Giải sgk Khoa học tự nhiên 9 - CTST
- Giải sgk Lịch Sử 9 - CTST
- Giải sgk Địa Lí 9 - CTST
- Giải sgk Giáo dục công dân 9 - CTST
- Giải sgk Tin học 9 - CTST
- Giải sgk Công nghệ 9 - CTST
- Giải sgk Hoạt động trải nghiệm 9 - CTST
- Giải sgk Âm nhạc 9 - CTST
- Giải sgk Mĩ thuật 9 - CTST
- Lớp 9 Cánh diều
- Soạn văn 9 Cánh diều (hay nhất)
- Soạn văn 9 Cánh diều (ngắn nhất)
- Giải sgk Toán 9 - Cánh diều
- Giải sgk Khoa học tự nhiên 9 - Cánh diều
- Giải sgk Lịch Sử 9 - Cánh diều
- Giải sgk Địa Lí 9 - Cánh diều
- Giải sgk Giáo dục công dân 9 - Cánh diều
- Giải sgk Tin học 9 - Cánh diều
- Giải sgk Công nghệ 9 - Cánh diều
- Giải sgk Hoạt động trải nghiệm 9 - Cánh diều
- Giải sgk Âm nhạc 9 - Cánh diều
- Giải sgk Mĩ thuật 9 - Cánh diều


Giải bài tập SGK & SBT
Tài liệu giáo viên
Sách
Khóa học
Thi online
Hỏi đáp

