Bài 12 trang 49 SBT Toán 9 Tập 2
Bài 2: Đồ thị hàm số y = ax2
Bài 12 trang 49 Sách bài tập Toán 9 Tập 2: Cho hàm số
a. Vẽ đồ thị của hàm số.
b. Tìm trên đồ thị điểm A có hoành độ bằng -2. Bằng đồ thị, tìm tung độ của A.
c. Tìm trên đồ thị các điểm có tung độ bằng 4. Tính gần đúng (làm tròn đến chữ số thập phân thứ nhất) hoành độ của những điểm này bằng hai cách :
- Ước lượng trên đồ thị ;
- Tính theo công thức
Lời giải:
a. Vẽ đồ thị hàm số
Các giá trị của x và y:
| x | -3 | -2 | 0 | 2 | 3 |
| 27/4 | 3 | 0 | 3 | 27/4 |
b. Từ điểm có hoành độ x = -2, kẻ đường thẳng song song với trục tung cắt đồ thị tại điểm A. Từ A, kẻ đường thẳng song song với trục hoành cắt trục tung tại một điểm. Ta thấy điểm đó có tung độ y = 3.
Vậy A(-2 ; 3).
c. *Từ điểm có tung độ y = 4, kẻ đường thẳng song song với trục hoành cắt đồ thị hàm số tại hai điểm là B và B’. Cả hai điểm đều có tung độ y = 4.
Từ B và B’, kẻ hai đường thẳng song song với trục tung cắt trục hoành tại hai điểm có hoành độ lần lượt là x ≈ -2,3 và x ≈ 2,3.
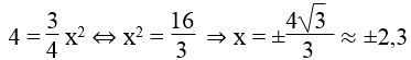
*Thay y = 4 vào hàm số
ta có :
Các bài giải bài tập sách bài tập Toán 9 (SBT Toán 9) khác:
Bài 7 (trang 48 Sách bài tập Toán 9 Tập 2): Cho hàm số y = 0,1x2...
Bài 8 (trang 48 Sách bài tập Toán 9 Tập 2): Cho hàm số y = ax2...
Bài 9 (trang 48 Sách bài tập Toán 9 Tập 2): Cho hàm số y = 0,2x2...
Bài 10 (trang 49 Sách bài tập Toán 9 Tập 2): Cho hai hàm số y = 0,2x2...
Bài 11 (trang 49 Sách bài tập Toán 9 Tập 2): Cho hàm số y = ax2...
Bài 12 (trang 49 Sách bài tập Toán 9 Tập 2): Cho hàm số y = ...
Bài 13 (trang 49 Sách bài tập Toán 9 Tập 2): Cho hàm số y = f(x)...
Bài 14 (trang 50 Sách bài tập Toán 9 Tập 2): Chơi mà học vẽ ...
Bài 2.1 (trang 51 Sách bài tập Toán 9 Tập 2): Parabol y = ax2 ...
Bài 2.2 (trang 51 Sách bài tập Toán 9 Tập 2): Cho hàm số y = 0,5x2...
Bài 2.3 (trang 51 Sách bài tập Toán 9 Tập 2): a) Xác định hàm số ...
Xem thêm các loạt bài Để học tốt Toán lớp 9 hay khác:
- Giải bài tập sgk Toán 9
- Các dạng bài tập Toán 9 chọn lọc
- Các dạng bài tập Toán 9 cực hay
- Đề thi vào 10 môn Toán
Tủ sách VIETJACK luyện thi vào 10 cho 2k11 (2026):
Đã có app VietJack trên điện thoại, giải bài tập SGK, SBT Soạn văn, Văn mẫu, Thi online, Bài giảng....miễn phí. Tải ngay ứng dụng trên Android và iOS.
Theo dõi chúng tôi miễn phí trên mạng xã hội facebook và youtube:Loạt bài Giải sách bài tập Toán 9 | Giải sbt Toán 9 của chúng tôi được biên soạn bám sát nội dung Sách bài tập Toán 9 Tập 1 và Tập 2.
Nếu thấy hay, hãy động viên và chia sẻ nhé! Các bình luận không phù hợp với nội quy bình luận trang web sẽ bị cấm bình luận vĩnh viễn.
- Giải Tiếng Anh 9 Global Success
- Giải sgk Tiếng Anh 9 Smart World
- Giải sgk Tiếng Anh 9 Friends plus
- Lớp 9 Kết nối tri thức
- Soạn văn 9 (hay nhất) - KNTT
- Soạn văn 9 (ngắn nhất) - KNTT
- Giải sgk Toán 9 - KNTT
- Giải sgk Khoa học tự nhiên 9 - KNTT
- Giải sgk Lịch Sử 9 - KNTT
- Giải sgk Địa Lí 9 - KNTT
- Giải sgk Giáo dục công dân 9 - KNTT
- Giải sgk Tin học 9 - KNTT
- Giải sgk Công nghệ 9 - KNTT
- Giải sgk Hoạt động trải nghiệm 9 - KNTT
- Giải sgk Âm nhạc 9 - KNTT
- Giải sgk Mĩ thuật 9 - KNTT
- Lớp 9 Chân trời sáng tạo
- Soạn văn 9 (hay nhất) - CTST
- Soạn văn 9 (ngắn nhất) - CTST
- Giải sgk Toán 9 - CTST
- Giải sgk Khoa học tự nhiên 9 - CTST
- Giải sgk Lịch Sử 9 - CTST
- Giải sgk Địa Lí 9 - CTST
- Giải sgk Giáo dục công dân 9 - CTST
- Giải sgk Tin học 9 - CTST
- Giải sgk Công nghệ 9 - CTST
- Giải sgk Hoạt động trải nghiệm 9 - CTST
- Giải sgk Âm nhạc 9 - CTST
- Giải sgk Mĩ thuật 9 - CTST
- Lớp 9 Cánh diều
- Soạn văn 9 Cánh diều (hay nhất)
- Soạn văn 9 Cánh diều (ngắn nhất)
- Giải sgk Toán 9 - Cánh diều
- Giải sgk Khoa học tự nhiên 9 - Cánh diều
- Giải sgk Lịch Sử 9 - Cánh diều
- Giải sgk Địa Lí 9 - Cánh diều
- Giải sgk Giáo dục công dân 9 - Cánh diều
- Giải sgk Tin học 9 - Cánh diều
- Giải sgk Công nghệ 9 - Cánh diều
- Giải sgk Hoạt động trải nghiệm 9 - Cánh diều
- Giải sgk Âm nhạc 9 - Cánh diều
- Giải sgk Mĩ thuật 9 - Cánh diều


Giải bài tập SGK & SBT
Tài liệu giáo viên
Sách
Khóa học
Thi online
Hỏi đáp

