Bài 37 trang 13 SBT Toán 9 Tập 2
Bài 5: Giải bài toán bằng cách lập hệ phương trình
Bài 37 trang 13 Sách bài tập Toán 9 Tập 2: Cho một số có hai chữ số. Nếu đổi chỗ hai chữ số của nó thì được một số lớn hơn số đã cho là 63. Tổng của số đã cho và số mới tạo thành bằng 99. Tìm số đã cho.
Lời giải:
Gọi chữ số hàng chục là x, chữ số hàng đơn vị là y.
Điều kiện x ∈N* và x ≤ 9; y ∈N* và y ≤ 9.
Số có hai chữ số
và số đổi chỗ:
= 10y + x
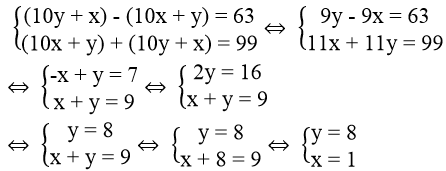
Đổi chỗ hai chữ số thì được một số lớn hơn số đã cho là 63, ta có:
(10y + x) – (10x + y) = 63
Tổng của số đã cho và số mới tạo thành bằng 99, ta có:
(10x + y) + (10y + x) = 99
Ta có hệ phương trình:
Ta thấy x = 1, y = 8 thỏa điều kiện bài toán.
Vậy số cần tìm là 18.
Các bài giải bài tập sách bài tập Toán 9 (SBT Toán 9) khác:
Bài 35 (trang 13 Sách bài tập Toán 9 Tập 2): Tổng của hai số ...
Bài 36 (trang 13 Sách bài tập Toán 9 Tập 2): Bảy năm trước tuổi ...
Bài 37 (trang 13 Sách bài tập Toán 9 Tập 2): Cho một số có ...
Bài 38 (trang 13 Sách bài tập Toán 9 Tập 2): Hai anh Quang và ...
Bài 39 (trang 13 Sách bài tập Toán 9 Tập 2): Hôm qua mẹ của Lan ...
Bài 40 (trang 13 Sách bài tập Toán 9 Tập 2): Một sân trường hình ...
Bài 41 (trang 13 Sách bài tập Toán 9 Tập 2): Làm trần tầng một ...
Bài 42 (trang 14 Sách bài tập Toán 9 Tập 2): Trong phòng học có ...
Bài 43 (trang 14 Sách bài tập Toán 9 Tập 2): Trên một cánh đồng ...
Bài 44 (trang 14 Sách bài tập Toán 9 Tập 2): Hai người thợ cùng ...
Bài 45 (trang 14 Sách bài tập Toán 9 Tập 2): Hai công nhân cùng ...
Xem thêm các loạt bài Để học tốt Toán lớp 9 hay khác:
- Giải bài tập sgk Toán 9
- Các dạng bài tập Toán 9 chọn lọc
- Các dạng bài tập Toán 9 cực hay
- Đề thi vào 10 môn Toán
Tủ sách VIETJACK luyện thi vào 10 cho 2k11 (2026):
Đã có app VietJack trên điện thoại, giải bài tập SGK, SBT Soạn văn, Văn mẫu, Thi online, Bài giảng....miễn phí. Tải ngay ứng dụng trên Android và iOS.
Theo dõi chúng tôi miễn phí trên mạng xã hội facebook và youtube:Loạt bài Giải sách bài tập Toán 9 | Giải sbt Toán 9 của chúng tôi được biên soạn bám sát nội dung Sách bài tập Toán 9 Tập 1 và Tập 2.
Nếu thấy hay, hãy động viên và chia sẻ nhé! Các bình luận không phù hợp với nội quy bình luận trang web sẽ bị cấm bình luận vĩnh viễn.
- Giải Tiếng Anh 9 Global Success
- Giải sgk Tiếng Anh 9 Smart World
- Giải sgk Tiếng Anh 9 Friends plus
- Lớp 9 Kết nối tri thức
- Soạn văn 9 (hay nhất) - KNTT
- Soạn văn 9 (ngắn nhất) - KNTT
- Giải sgk Toán 9 - KNTT
- Giải sgk Khoa học tự nhiên 9 - KNTT
- Giải sgk Lịch Sử 9 - KNTT
- Giải sgk Địa Lí 9 - KNTT
- Giải sgk Giáo dục công dân 9 - KNTT
- Giải sgk Tin học 9 - KNTT
- Giải sgk Công nghệ 9 - KNTT
- Giải sgk Hoạt động trải nghiệm 9 - KNTT
- Giải sgk Âm nhạc 9 - KNTT
- Giải sgk Mĩ thuật 9 - KNTT
- Lớp 9 Chân trời sáng tạo
- Soạn văn 9 (hay nhất) - CTST
- Soạn văn 9 (ngắn nhất) - CTST
- Giải sgk Toán 9 - CTST
- Giải sgk Khoa học tự nhiên 9 - CTST
- Giải sgk Lịch Sử 9 - CTST
- Giải sgk Địa Lí 9 - CTST
- Giải sgk Giáo dục công dân 9 - CTST
- Giải sgk Tin học 9 - CTST
- Giải sgk Công nghệ 9 - CTST
- Giải sgk Hoạt động trải nghiệm 9 - CTST
- Giải sgk Âm nhạc 9 - CTST
- Giải sgk Mĩ thuật 9 - CTST
- Lớp 9 Cánh diều
- Soạn văn 9 Cánh diều (hay nhất)
- Soạn văn 9 Cánh diều (ngắn nhất)
- Giải sgk Toán 9 - Cánh diều
- Giải sgk Khoa học tự nhiên 9 - Cánh diều
- Giải sgk Lịch Sử 9 - Cánh diều
- Giải sgk Địa Lí 9 - Cánh diều
- Giải sgk Giáo dục công dân 9 - Cánh diều
- Giải sgk Tin học 9 - Cánh diều
- Giải sgk Công nghệ 9 - Cánh diều
- Giải sgk Hoạt động trải nghiệm 9 - Cánh diều
- Giải sgk Âm nhạc 9 - Cánh diều
- Giải sgk Mĩ thuật 9 - Cánh diều


Giải bài tập SGK & SBT
Tài liệu giáo viên
Sách
Khóa học
Thi online
Hỏi đáp

