Bài 45 trang 59 SBT Toán 9 Tập 2
Bài 7: Phương trình quy về phương trình bậc hai
Bài 45 trang 59 Sách bài tập Toán 9 Tập 2: Giải các phương trình:
a. (x+2)2 -3x -5 =(1 –x)(1 +x)
b. (x -1)3 +2x=x3– x2 – 2x +1
c. x(x2 -6 ) – (x – 2)2 = (x +1)3
d. (x +5)2 + (x -2)2 + (x +7)(x -7) = 12x -23
Lời giải:
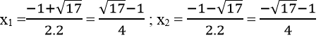
a) Ta có: (x+2)2 -3x -5 = (1 –x)(1 +x)
⇔ x2 + 4x +4 -3x -5 =1 – x2
⇔ 2x2 +x -2 =0
Δ = 12 -4.2.(-2) =1 +16 =17 > 0
√Δ = √17
b) Ta có: (x -1)3 +2x=x3 – x2 – 2x +1
⇔ x3 – 3x2 +3x -1+2x =x3 – x2 -2x +1
⇔ 2x2 – 7x +2 =0
Δ = (-7)2 -4.2.2 = 49 - 16 = 33 > 0
√Δ = √33
c) Ta có: x(x2 -6 ) – (x – 2)2 = (x +1)3
⇔ x3 – 6x – x2 +4x -4 =x3 + 3x2 +3x +1
⇔ 4x2 +5x +5 =0
Δ = 52 -4.4.5 = 25 - 80 = -55 < 0
Vậy phương trình vô nghiệm
d) Ta có: (x +5)2 + (x -2)2 + (x +7)(x -7) = 12x -23
⇔ x2 +10x + 25 +x2 -4x +4 +x2 -49 = 12x -23
⇔ x2 +10x+25 +x2 -4x +4 +x2 -49 -12x +23 =0
⇔ 3x2 -6x + 3 =0
⇔ x2 -2x +1 =0
Δ’ = (-1)2 -1.1 = 1-1 =0
Vậy phương trình đã cho có nghiệm kép: x1 = x2 =1
Các bài giải bài tập sách bài tập Toán 9 (SBT Toán 9) khác:
Bài 45 (trang 59 Sách bài tập Toán 9 Tập 2): Giải các phương trình : ...
Bài 46 (trang 59 Sách bài tập Toán 9 Tập 2): Giải các phương trình : ...
Bài 47 (trang 59 Sách bài tập Toán 9 Tập 2): Giải các phương trình sau bằng ...
Bài 48 (trang 60 Sách bài tập Toán 9 Tập 2): Giải các phương trình trùng phương ...
Bài 49 (trang 60 Sách bài tập Toán 9 Tập 2): Chứng minh rằng khi a và c ...
Bài 50 (trang 60 Sách bài tập Toán 9 Tập 2): Giải các phương trình sau ...
Bài 7.1 (trang 60 Sách bài tập Toán 9 Tập 2): Giải các phương trình ...
Bài 7.2 (trang 60 Sách bài tập Toán 9 Tập 2): Cho phương trình x + 2...
Bài 7.3 (trang 60 Sách bài tập Toán 9 Tập 2): Tìm giá trị của m để ...
Xem thêm các loạt bài Để học tốt Toán lớp 9 hay khác:
- Giải bài tập sgk Toán 9
- Các dạng bài tập Toán 9 chọn lọc
- Các dạng bài tập Toán 9 cực hay
- Đề thi vào 10 môn Toán
Tủ sách VIETJACK luyện thi vào 10 cho 2k11 (2026):
Đã có app VietJack trên điện thoại, giải bài tập SGK, SBT Soạn văn, Văn mẫu, Thi online, Bài giảng....miễn phí. Tải ngay ứng dụng trên Android và iOS.
Theo dõi chúng tôi miễn phí trên mạng xã hội facebook và youtube:Loạt bài Giải sách bài tập Toán 9 | Giải sbt Toán 9 của chúng tôi được biên soạn bám sát nội dung Sách bài tập Toán 9 Tập 1 và Tập 2.
Nếu thấy hay, hãy động viên và chia sẻ nhé! Các bình luận không phù hợp với nội quy bình luận trang web sẽ bị cấm bình luận vĩnh viễn.
- Giải Tiếng Anh 9 Global Success
- Giải sgk Tiếng Anh 9 Smart World
- Giải sgk Tiếng Anh 9 Friends plus
- Lớp 9 Kết nối tri thức
- Soạn văn 9 (hay nhất) - KNTT
- Soạn văn 9 (ngắn nhất) - KNTT
- Giải sgk Toán 9 - KNTT
- Giải sgk Khoa học tự nhiên 9 - KNTT
- Giải sgk Lịch Sử 9 - KNTT
- Giải sgk Địa Lí 9 - KNTT
- Giải sgk Giáo dục công dân 9 - KNTT
- Giải sgk Tin học 9 - KNTT
- Giải sgk Công nghệ 9 - KNTT
- Giải sgk Hoạt động trải nghiệm 9 - KNTT
- Giải sgk Âm nhạc 9 - KNTT
- Giải sgk Mĩ thuật 9 - KNTT
- Lớp 9 Chân trời sáng tạo
- Soạn văn 9 (hay nhất) - CTST
- Soạn văn 9 (ngắn nhất) - CTST
- Giải sgk Toán 9 - CTST
- Giải sgk Khoa học tự nhiên 9 - CTST
- Giải sgk Lịch Sử 9 - CTST
- Giải sgk Địa Lí 9 - CTST
- Giải sgk Giáo dục công dân 9 - CTST
- Giải sgk Tin học 9 - CTST
- Giải sgk Công nghệ 9 - CTST
- Giải sgk Hoạt động trải nghiệm 9 - CTST
- Giải sgk Âm nhạc 9 - CTST
- Giải sgk Mĩ thuật 9 - CTST
- Lớp 9 Cánh diều
- Soạn văn 9 Cánh diều (hay nhất)
- Soạn văn 9 Cánh diều (ngắn nhất)
- Giải sgk Toán 9 - Cánh diều
- Giải sgk Khoa học tự nhiên 9 - Cánh diều
- Giải sgk Lịch Sử 9 - Cánh diều
- Giải sgk Địa Lí 9 - Cánh diều
- Giải sgk Giáo dục công dân 9 - Cánh diều
- Giải sgk Tin học 9 - Cánh diều
- Giải sgk Công nghệ 9 - Cánh diều
- Giải sgk Hoạt động trải nghiệm 9 - Cánh diều
- Giải sgk Âm nhạc 9 - Cánh diều
- Giải sgk Mĩ thuật 9 - Cánh diều


Giải bài tập SGK & SBT
Tài liệu giáo viên
Sách
Khóa học
Thi online
Hỏi đáp

