Bài 48 trang 108 SBT Toán 9 Tập 2
Bài 8: Đường tròn ngoại tiếp. Đường tròn nội tiếp
Bài 48 trang 108 Sách bài tập Toán 9 Tập 2:
a. Tính cạnh của một ngũ giác đều nội tiếp đường tròn bán kính 3cm
b. Tính cạnh của một ngũ giác đều ngoại tiếp đường tròn bán kính 3cm
Lời giải:
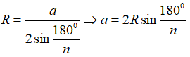
a) Áp dụng công thức Bài 46 ta có:
Áp dụng vào hình ngũ giác đều nội tiếp đường tròn bán kính 3cm ta có:
b) Theo bài 46 ta có:
Áp dụng vào hình ngũ giác đều ngoại tiếp đường tròn bán kính 3cm ta có:
Các bài giải bài tập sách bài tập Toán 9 (SBT Toán 9) khác:
Bài 44 (trang 107 Sách bài tập Toán 9 Tập 2): Vẽ hình vuông ABCD ...
Bài 45 (trang 107 Sách bài tập Toán 9 Tập 2): Vẽ đường tròn tâm o...
Bài 46 (trang 107 Sách bài tập Toán 9 Tập 2): Cho một đa giác đều n...
Bài 47 (trang 108 Sách bài tập Toán 9 Tập 2): a) Vẽ một lục giác đều ...
Bài 48 (trang 108 Sách bài tập Toán 9 Tập 2): a) Tính cạnh của một ngũ ...
Bài 49 (trang 108 Sách bài tập Toán 9 Tập 2): Tính cạnh của hình tám ...
Bài 50 (trang 108 Sách bài tập Toán 9 Tập 2): Trong đường tròn (O; R) cho...
Bài 51 (trang 108 Sách bài tập Toán 9 Tập 2): Cho ngũ giác đều ABCD...
Bài 8.1 (trang 109 Sách bài tập Toán 9 Tập 2): Mỗi câu sau đây đúng hay ...
Bài 8.2 (trang 109 Sách bài tập Toán 9 Tập 2): Cho đường tròn tâm O bán kính ...
Xem thêm các loạt bài Để học tốt Toán lớp 9 hay khác:
- Giải bài tập sgk Toán 9
- Các dạng bài tập Toán 9 chọn lọc
- Các dạng bài tập Toán 9 cực hay
- Đề thi vào 10 môn Toán
Tủ sách VIETJACK luyện thi vào 10 cho 2k11 (2026):
Đã có app VietJack trên điện thoại, giải bài tập SGK, SBT Soạn văn, Văn mẫu, Thi online, Bài giảng....miễn phí. Tải ngay ứng dụng trên Android và iOS.
Theo dõi chúng tôi miễn phí trên mạng xã hội facebook và youtube:Loạt bài Giải sách bài tập Toán 9 | Giải sbt Toán 9 của chúng tôi được biên soạn bám sát nội dung Sách bài tập Toán 9 Tập 1 và Tập 2.
Nếu thấy hay, hãy động viên và chia sẻ nhé! Các bình luận không phù hợp với nội quy bình luận trang web sẽ bị cấm bình luận vĩnh viễn.
- Giải Tiếng Anh 9 Global Success
- Giải sgk Tiếng Anh 9 Smart World
- Giải sgk Tiếng Anh 9 Friends plus
- Lớp 9 Kết nối tri thức
- Soạn văn 9 (hay nhất) - KNTT
- Soạn văn 9 (ngắn nhất) - KNTT
- Giải sgk Toán 9 - KNTT
- Giải sgk Khoa học tự nhiên 9 - KNTT
- Giải sgk Lịch Sử 9 - KNTT
- Giải sgk Địa Lí 9 - KNTT
- Giải sgk Giáo dục công dân 9 - KNTT
- Giải sgk Tin học 9 - KNTT
- Giải sgk Công nghệ 9 - KNTT
- Giải sgk Hoạt động trải nghiệm 9 - KNTT
- Giải sgk Âm nhạc 9 - KNTT
- Giải sgk Mĩ thuật 9 - KNTT
- Lớp 9 Chân trời sáng tạo
- Soạn văn 9 (hay nhất) - CTST
- Soạn văn 9 (ngắn nhất) - CTST
- Giải sgk Toán 9 - CTST
- Giải sgk Khoa học tự nhiên 9 - CTST
- Giải sgk Lịch Sử 9 - CTST
- Giải sgk Địa Lí 9 - CTST
- Giải sgk Giáo dục công dân 9 - CTST
- Giải sgk Tin học 9 - CTST
- Giải sgk Công nghệ 9 - CTST
- Giải sgk Hoạt động trải nghiệm 9 - CTST
- Giải sgk Âm nhạc 9 - CTST
- Giải sgk Mĩ thuật 9 - CTST
- Lớp 9 Cánh diều
- Soạn văn 9 Cánh diều (hay nhất)
- Soạn văn 9 Cánh diều (ngắn nhất)
- Giải sgk Toán 9 - Cánh diều
- Giải sgk Khoa học tự nhiên 9 - Cánh diều
- Giải sgk Lịch Sử 9 - Cánh diều
- Giải sgk Địa Lí 9 - Cánh diều
- Giải sgk Giáo dục công dân 9 - Cánh diều
- Giải sgk Tin học 9 - Cánh diều
- Giải sgk Công nghệ 9 - Cánh diều
- Giải sgk Hoạt động trải nghiệm 9 - Cánh diều
- Giải sgk Âm nhạc 9 - Cánh diều
- Giải sgk Mĩ thuật 9 - Cánh diều


Giải bài tập SGK & SBT
Tài liệu giáo viên
Sách
Khóa học
Thi online
Hỏi đáp

