Bài 85 trang 19 SBT Toán 9 Tập 1
Bài 8: Rút gọn biểu thức chứa căn thức bậc hai
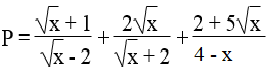
Bài 85 trang 19 Sách bài tập Toán 9 Tập 1: Cho biểu thức:
a. Rút gọn P với x ≥ 0 và x ≠ 4
b. Tìm x để P = 2
Lời giải:
a) Điều kiện: x ≥ 0 và x ≠ 4
b) Ta có:
Các bài giải bài tập sách bài tập Toán 9 (SBT Toán 9) khác:
Bài 80 (trang 18 Sách bài tập Toán 9 Tập 1): Rút gọn các biểu thức ...
Bài 81 (trang 18 Sách bài tập Toán 9 Tập 1): Rút gọn các biểu thức ...
Bài 82 (trang 18 Sách bài tập Toán 9 Tập 1): a) Chứng minh ...b) Tìm giá trị ...
Bài 83 (trang 19 Sách bài tập Toán 9 Tập 1): Chứng tỏ giá trị các biểu thức ...
Bài 84 (trang 19 Sách bài tập Toán 9 Tập 1): Tìm x, biết ...
Bài 85 (trang 19 Sách bài tập Toán 9 Tập 1): Cho biểu thức ...
Bài 86 (trang 19 Sách bài tập Toán 9 Tập 1): Cho biểu thức ...
Bài 87 (trang 19 Sách bài tập Toán 9 Tập 1): Với ba số a, b, c không âm,...
Bài 8.1 (trang 20 Sách bài tập Toán 9 Tập 1): Bất phương trình ...
Xem thêm các loạt bài Để học tốt Toán lớp 9 hay khác:
- Giải bài tập sgk Toán 9
- Các dạng bài tập Toán 9 chọn lọc
- Các dạng bài tập Toán 9 cực hay
- Đề thi vào 10 môn Toán
Tủ sách VIETJACK luyện thi vào 10 cho 2k11 (2026):
Đã có app VietJack trên điện thoại, giải bài tập SGK, SBT Soạn văn, Văn mẫu, Thi online, Bài giảng....miễn phí. Tải ngay ứng dụng trên Android và iOS.
Theo dõi chúng tôi miễn phí trên mạng xã hội facebook và youtube:Loạt bài Giải sách bài tập Toán 9 | Giải sbt Toán 9 của chúng tôi được biên soạn bám sát nội dung Sách bài tập Toán 9 Tập 1 và Tập 2.
Nếu thấy hay, hãy động viên và chia sẻ nhé! Các bình luận không phù hợp với nội quy bình luận trang web sẽ bị cấm bình luận vĩnh viễn.
- Giải Tiếng Anh 9 Global Success
- Giải sgk Tiếng Anh 9 Smart World
- Giải sgk Tiếng Anh 9 Friends plus
- Lớp 9 Kết nối tri thức
- Soạn văn 9 (hay nhất) - KNTT
- Soạn văn 9 (ngắn nhất) - KNTT
- Giải sgk Toán 9 - KNTT
- Giải sgk Khoa học tự nhiên 9 - KNTT
- Giải sgk Lịch Sử 9 - KNTT
- Giải sgk Địa Lí 9 - KNTT
- Giải sgk Giáo dục công dân 9 - KNTT
- Giải sgk Tin học 9 - KNTT
- Giải sgk Công nghệ 9 - KNTT
- Giải sgk Hoạt động trải nghiệm 9 - KNTT
- Giải sgk Âm nhạc 9 - KNTT
- Giải sgk Mĩ thuật 9 - KNTT
- Lớp 9 Chân trời sáng tạo
- Soạn văn 9 (hay nhất) - CTST
- Soạn văn 9 (ngắn nhất) - CTST
- Giải sgk Toán 9 - CTST
- Giải sgk Khoa học tự nhiên 9 - CTST
- Giải sgk Lịch Sử 9 - CTST
- Giải sgk Địa Lí 9 - CTST
- Giải sgk Giáo dục công dân 9 - CTST
- Giải sgk Tin học 9 - CTST
- Giải sgk Công nghệ 9 - CTST
- Giải sgk Hoạt động trải nghiệm 9 - CTST
- Giải sgk Âm nhạc 9 - CTST
- Giải sgk Mĩ thuật 9 - CTST
- Lớp 9 Cánh diều
- Soạn văn 9 Cánh diều (hay nhất)
- Soạn văn 9 Cánh diều (ngắn nhất)
- Giải sgk Toán 9 - Cánh diều
- Giải sgk Khoa học tự nhiên 9 - Cánh diều
- Giải sgk Lịch Sử 9 - Cánh diều
- Giải sgk Địa Lí 9 - Cánh diều
- Giải sgk Giáo dục công dân 9 - Cánh diều
- Giải sgk Tin học 9 - Cánh diều
- Giải sgk Công nghệ 9 - Cánh diều
- Giải sgk Hoạt động trải nghiệm 9 - Cánh diều
- Giải sgk Âm nhạc 9 - Cánh diều
- Giải sgk Mĩ thuật 9 - Cánh diều


Giải bài tập SGK & SBT
Tài liệu giáo viên
Sách
Khóa học
Thi online
Hỏi đáp

