Bài 14.2, 14.3, 14.4 trang 34 Sách bài tập Vật Lí 10
Bài 14 : Lực hướng tâm
Bài 14.2, 14.3, 14.4 trang 34 Sách bài tập Vật Lí 10:
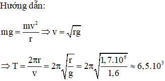
14.2. Gia tốc rơi tự do trên bề mặt của Mặt Trăng là g = 1,6 m/s. Bán kính củí Mặt Trăng là 1,7.106 m. Chu kì của vệ tinh trên quỹ đạo gần Mặt Trăng gầi đúng bằng
A. l,0.103 s. B. 6,5.103 s. C. 5,0.106 s. D. 7,1.1012s.
14.3. Một người buộc một hòn đá vào đầu một sợi dây và quay sao cho cả dây và vật chuyển động tròn đểu trong mặt phẳng nằm ngang. Muốn hòn đá chuyển động trên đường tròn bán kính 3 m với tốc độ 2 m/s thì người ấy phải giữ dây với một lực bằng 10 N. Khối lượng của hòn đá bằng
A. 22,5 kg. B. 13,3 kg. C. 7,5 kg. D. 0,13 kg.
14.4. Một người buộc một hòn đá vào đầu một sợi dây rồi quay dây trong mặt phẳng thẳng đứng. Hòn đá có khối lượng 0,4 kg, chuyển động trên đường tròn bán kính 0,5 m với tốc độ góc không đổi 8 rad/s. Lấy g = 10 m/s2. Hỏi lực căng của dây khi hòn đá ở đỉnh của đường tròn ?
A. 8,8 N. B. 10,5 N. C. 12,8 N. D. 19,6 N.
Lời giải:
14.2: Chọn đáp án B
14.3: Chọn đáp án C
14.4: Chọn đáp án A
Các bài giải sách bài tập Vật Lí 10 (SBT Vật Lí 10) khác:
- Bài 14.1 trang 33 Sách bài tập Vật Lí 10: Hai vệ tinh nhân tạo I và II....
- Bài 14.2, 14.3, 14.4 trang 34 Sách bài tập Vật Lí 10: Gia tốc rơi tự do trên bề mặt....
- Bài 14.5 trang 34 Sách bài tập Vật Lí 10: Trong thí nghiệm ở hình 14.1....
- Bài 14.6 trang 34 Sách bài tập Vật Lí 10: Một vệ tinh có khối lượng m = 600 kg....
- Bài 14.7 trang 35 Sách bài tập Vật Lí 10: Cho biết chu kì chuyển động của....
- Bài 14.8 trang 35 Sách bài tập Vật Lí 10: Một vệ tinh, khối lượng 100 kg....
- Bài 14.9 trang 35 Sách bài tập Vật Lí 10: Trong môn quay tạ, một vận động viên....
- Bài 14.10 trang 35 Sách bài tập Vật Lí 10: Một quả cầu có khối lượng 0.50 kg....
- Bài 14.11 trang 35 Sách bài tập Vật Lí 10: Một ô tô, khối lượng 2.5 tấn....
Để học tốt lớp 10 các môn học sách mới:
- Giải bài tập Lớp 10 Kết nối tri thức
- Giải bài tập Lớp 10 Chân trời sáng tạo
- Giải bài tập Lớp 10 Cánh diều
Tủ sách VIETJACK shopee lớp 10-11 (cả 3 bộ sách):
Đã có app VietJack trên điện thoại, giải bài tập SGK, SBT Soạn văn, Văn mẫu, Thi online, Bài giảng....miễn phí. Tải ngay ứng dụng trên Android và iOS.
Theo dõi chúng tôi miễn phí trên mạng xã hội facebook và youtube:Nếu thấy hay, hãy động viên và chia sẻ nhé! Các bình luận không phù hợp với nội quy bình luận trang web sẽ bị cấm bình luận vĩnh viễn.
- Giải Tiếng Anh 10 Global Success
- Giải Tiếng Anh 10 Friends Global
- Giải sgk Tiếng Anh 10 iLearn Smart World
- Giải sgk Tiếng Anh 10 Explore New Worlds
- Lớp 10 - Kết nối tri thức
- Soạn văn 10 (hay nhất) - KNTT
- Soạn văn 10 (ngắn nhất) - KNTT
- Soạn văn 10 (siêu ngắn) - KNTT
- Giải sgk Toán 10 - KNTT
- Giải sgk Vật lí 10 - KNTT
- Giải sgk Hóa học 10 - KNTT
- Giải sgk Sinh học 10 - KNTT
- Giải sgk Địa lí 10 - KNTT
- Giải sgk Lịch sử 10 - KNTT
- Giải sgk Kinh tế và Pháp luật 10 - KNTT
- Giải sgk Tin học 10 - KNTT
- Giải sgk Công nghệ 10 - KNTT
- Giải sgk Hoạt động trải nghiệm 10 - KNTT
- Giải sgk Giáo dục quốc phòng 10 - KNTT
- Lớp 10 - Chân trời sáng tạo
- Soạn văn 10 (hay nhất) - CTST
- Soạn văn 10 (ngắn nhất) - CTST
- Soạn văn 10 (siêu ngắn) - CTST
- Giải Toán 10 - CTST
- Giải sgk Vật lí 10 - CTST
- Giải sgk Hóa học 10 - CTST
- Giải sgk Sinh học 10 - CTST
- Giải sgk Địa lí 10 - CTST
- Giải sgk Lịch sử 10 - CTST
- Giải sgk Kinh tế và Pháp luật 10 - CTST
- Giải sgk Hoạt động trải nghiệm 10 - CTST
- Lớp 10 - Cánh diều
- Soạn văn 10 (hay nhất) - Cánh diều
- Soạn văn 10 (ngắn nhất) - Cánh diều
- Soạn văn 10 (siêu ngắn) - Cánh diều
- Giải sgk Toán 10 - Cánh diều
- Giải sgk Vật lí 10 - Cánh diều
- Giải sgk Hóa học 10 - Cánh diều
- Giải sgk Sinh học 10 - Cánh diều
- Giải sgk Địa lí 10 - Cánh diều
- Giải sgk Lịch sử 10 - Cánh diều
- Giải sgk Kinh tế và Pháp luật 10 - Cánh diều
- Giải sgk Tin học 10 - Cánh diều
- Giải sgk Công nghệ 10 - Cánh diều
- Giải sgk Hoạt động trải nghiệm 10 - Cánh diều
- Giải sgk Giáo dục quốc phòng 10 - Cánh diều


Giải bài tập SGK & SBT
Tài liệu giáo viên
Sách
Khóa học
Thi online
Hỏi đáp

