Bài 29.15 trang 82 Sách bài tập Vật Lí 11
Bài 29: Thấu kính mỏng
Bài 29.15 trang 82 Sách bài tập Vật Lí 11: Vật phẳng nhỏ AB đặt trước và song song với một màn, cách màn khoảng L. Đặt một thấu kính hội tụ giữa vật và màn, song song với vật sao cho điểm A của vật ở trên trục chính. Ta tìm được hai vị trí O1; O2 của thấu kính tạo ảnh rõ nét của vật trên màn, ảnh này gấp k lần ảnh kia.
Tính tiêu cự của thấu kính.
Áp dụng bằng số : L = 100 cm ; k = 2,25
Lời giải:
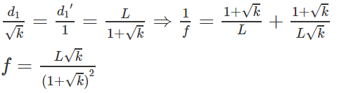
Theo giả thiết: d2 = d1’; d2’ = d1;
Suy ra (d1/d1')2 = k => d1/d1' = √k
Do đó
Áp dụng bằng số: f = 24cm
Các bài giải sách bài tập Vật Lí 11 (SBT Vật Lí 11) khác:
- Bài 29.1, 29.2, 29.3, 29.4, 29.5, 29.6 trang 79 Sách bài tập Vật Lí 11: Thấu kính phân kì ....
- Bài 29.7, 29.8, 29.9, 29.10, 29.11, 29.12 trang 81 Sách bài tập Vật Lí 11: Tia nào thể hiện ....
- Bài 29.13 trang 82 Sách bài tập Vật Lí 11: Thấu kính hội tụ ....
- Bài 29.14 trang 82 Sách bài tập Vật Lí 11: Thấu kính phân kì ....
- Bài 29.15 trang 82 Sách bài tập Vật Lí 11: Vật phẳng nhỏ AB ....
Tủ sách VIETJACK shopee lớp 10-11 (cả 3 bộ sách):
Đã có app VietJack trên điện thoại, giải bài tập SGK, SBT Soạn văn, Văn mẫu, Thi online, Bài giảng....miễn phí. Tải ngay ứng dụng trên Android và iOS.
Theo dõi chúng tôi miễn phí trên mạng xã hội facebook và youtube:Nếu thấy hay, hãy động viên và chia sẻ nhé! Các bình luận không phù hợp với nội quy bình luận trang web sẽ bị cấm bình luận vĩnh viễn.
- Giải Tiếng Anh 11 Global Success
- Giải sgk Tiếng Anh 11 Smart World
- Giải sgk Tiếng Anh 11 Friends Global
- Lớp 11 - Kết nối tri thức
- Soạn văn 11 (hay nhất) - KNTT
- Soạn văn 11 (ngắn nhất) - KNTT
- Giải sgk Toán 11 - KNTT
- Giải sgk Vật Lí 11 - KNTT
- Giải sgk Hóa học 11 - KNTT
- Giải sgk Sinh học 11 - KNTT
- Giải sgk Lịch Sử 11 - KNTT
- Giải sgk Địa Lí 11 - KNTT
- Giải sgk Giáo dục KTPL 11 - KNTT
- Giải sgk Tin học 11 - KNTT
- Giải sgk Công nghệ 11 - KNTT
- Giải sgk Hoạt động trải nghiệm 11 - KNTT
- Giải sgk Giáo dục quốc phòng 11 - KNTT
- Giải sgk Âm nhạc 11 - KNTT
- Lớp 11 - Chân trời sáng tạo
- Soạn văn 11 (hay nhất) - CTST
- Soạn văn 11 (ngắn nhất) - CTST
- Giải sgk Toán 11 - CTST
- Giải sgk Vật Lí 11 - CTST
- Giải sgk Hóa học 11 - CTST
- Giải sgk Sinh học 11 - CTST
- Giải sgk Lịch Sử 11 - CTST
- Giải sgk Địa Lí 11 - CTST
- Giải sgk Giáo dục KTPL 11 - CTST
- Giải sgk Hoạt động trải nghiệm 11 - CTST
- Giải sgk Âm nhạc 11 - CTST
- Lớp 11 - Cánh diều
- Soạn văn 11 Cánh diều (hay nhất)
- Soạn văn 11 Cánh diều (ngắn nhất)
- Giải sgk Toán 11 - Cánh diều
- Giải sgk Vật Lí 11 - Cánh diều
- Giải sgk Hóa học 11 - Cánh diều
- Giải sgk Sinh học 11 - Cánh diều
- Giải sgk Lịch Sử 11 - Cánh diều
- Giải sgk Địa Lí 11 - Cánh diều
- Giải sgk Giáo dục KTPL 11 - Cánh diều
- Giải sgk Tin học 11 - Cánh diều
- Giải sgk Công nghệ 11 - Cánh diều
- Giải sgk Hoạt động trải nghiệm 11 - Cánh diều
- Giải sgk Giáo dục quốc phòng 11 - Cánh diều
- Giải sgk Âm nhạc 11 - Cánh diều


Giải bài tập SGK & SBT
Tài liệu giáo viên
Sách
Khóa học
Thi online
Hỏi đáp

