Bài 32.6 trang 90 Sách bài tập Vật Lí 11
Bài 32: Kính lúp
Bài 32.6 trang 90 Sách bài tập Vật Lí 11: Một người đứng tuổi khi nhìn những vật ở xa thì không phải đeo kính nhưng khi đeo kính có độ tụ 1 dp thì đọc được trang sách đặt cách mắt gần nhất là 25 cm (mắt sát kính).
a) Xác định vị trí của các điểm cực viễn và cực cận của mắt người này.
b) Xác định độ biến thiên của độ tụ mắt người này từ trạng thái không điều tiết đến điều tiết tối đa.
c) Người này bỏ kính ra và dùng một kính lúp có độ tụ 32 dp để quan sát một vật nhỏẵ Mắt cách kính 30 cm. Phải đặt vật trong khoảng nào trước kính? Tính số bội giác khi ngắm chừng ở vô cực.
Lời giải:
a) Theo đề bài: CV → ∞
b) ΔD = Dmax – Dmin =
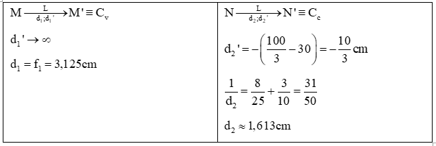
c) Tiêu cự kính lúp:
Khoảng đặt vật MN xác định bởi:
Khoảng đặt vật: 16,13mm ≤ d ≤ 31,25mm.
Số bội giác khi ngắm chừng ở vô cực:
Các bài giải sách bài tập Vật Lí 11 (SBT Vật Lí 11) khác:
- Bài 32.1, 32.2, 32.3, 32.4, 32.5 trang 89 Sách bài tập Vật Lí 11: Công thức tính số bội ....
- Bài 32.6 trang 90 Sách bài tập Vật Lí 11: Một người đứng tuổi ....
- Bài 32.7 trang 90 Sách bài tập Vật Lí 11: Một người có khoảng cực ....
- Bài 32.8 trang 90 Sách bài tập Vật Lí 11: Một người cận thị ....
Tủ sách VIETJACK shopee lớp 10-11 (cả 3 bộ sách):
Đã có app VietJack trên điện thoại, giải bài tập SGK, SBT Soạn văn, Văn mẫu, Thi online, Bài giảng....miễn phí. Tải ngay ứng dụng trên Android và iOS.
Theo dõi chúng tôi miễn phí trên mạng xã hội facebook và youtube:Nếu thấy hay, hãy động viên và chia sẻ nhé! Các bình luận không phù hợp với nội quy bình luận trang web sẽ bị cấm bình luận vĩnh viễn.
- Giải Tiếng Anh 11 Global Success
- Giải sgk Tiếng Anh 11 Smart World
- Giải sgk Tiếng Anh 11 Friends Global
- Lớp 11 - Kết nối tri thức
- Soạn văn 11 (hay nhất) - KNTT
- Soạn văn 11 (ngắn nhất) - KNTT
- Giải sgk Toán 11 - KNTT
- Giải sgk Vật Lí 11 - KNTT
- Giải sgk Hóa học 11 - KNTT
- Giải sgk Sinh học 11 - KNTT
- Giải sgk Lịch Sử 11 - KNTT
- Giải sgk Địa Lí 11 - KNTT
- Giải sgk Giáo dục KTPL 11 - KNTT
- Giải sgk Tin học 11 - KNTT
- Giải sgk Công nghệ 11 - KNTT
- Giải sgk Hoạt động trải nghiệm 11 - KNTT
- Giải sgk Giáo dục quốc phòng 11 - KNTT
- Giải sgk Âm nhạc 11 - KNTT
- Lớp 11 - Chân trời sáng tạo
- Soạn văn 11 (hay nhất) - CTST
- Soạn văn 11 (ngắn nhất) - CTST
- Giải sgk Toán 11 - CTST
- Giải sgk Vật Lí 11 - CTST
- Giải sgk Hóa học 11 - CTST
- Giải sgk Sinh học 11 - CTST
- Giải sgk Lịch Sử 11 - CTST
- Giải sgk Địa Lí 11 - CTST
- Giải sgk Giáo dục KTPL 11 - CTST
- Giải sgk Hoạt động trải nghiệm 11 - CTST
- Giải sgk Âm nhạc 11 - CTST
- Lớp 11 - Cánh diều
- Soạn văn 11 Cánh diều (hay nhất)
- Soạn văn 11 Cánh diều (ngắn nhất)
- Giải sgk Toán 11 - Cánh diều
- Giải sgk Vật Lí 11 - Cánh diều
- Giải sgk Hóa học 11 - Cánh diều
- Giải sgk Sinh học 11 - Cánh diều
- Giải sgk Lịch Sử 11 - Cánh diều
- Giải sgk Địa Lí 11 - Cánh diều
- Giải sgk Giáo dục KTPL 11 - Cánh diều
- Giải sgk Tin học 11 - Cánh diều
- Giải sgk Công nghệ 11 - Cánh diều
- Giải sgk Hoạt động trải nghiệm 11 - Cánh diều
- Giải sgk Giáo dục quốc phòng 11 - Cánh diều
- Giải sgk Âm nhạc 11 - Cánh diều


Giải bài tập SGK & SBT
Tài liệu giáo viên
Sách
Khóa học
Thi online
Hỏi đáp

