Bài 33.8 trang 92 Sách bài tập Vật Lí 11
Bài 33: Kính hiển vi
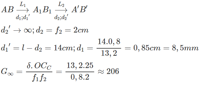
Bài 33.8 trang 92 Sách bài tập Vật Lí 11: Kính hiển vi có vật kính L1 tiêu cự f1 = 0,8 cm và thị kính L2 tiêu cự f2 = 2 cm. Khoảng cách giữa hai kính là l = 16 cm.
a) Kính được ngắm chừng ở vô cực. Tính khoảng cách từ vật đến vật kính và số bội giác. Biết người quan sát có mắt bình thường với khoảng cực cận là OCc = 25 cm.
b) Giữ nguyên vị trí vật và vật kính, ta dịch thị kính một khoảng nhỏ để thu được ảnh của vật trên màn đặt cách thị kính 30 cm.
Tính độ dịch chuyển của thị kính, xác định chiều dịch chuyển. Tính số phóng đại ảnh.
Lời giải:
b) d2' = 30cm; d2 = 30.2/28 ≈ 2,14cm > 2cm
Dời ra vật kính đoạn Δd2 = 0,14cm = 1,4mm
Số phóng đại ảnh: k = k1k2 = d1'/d1 . d2'/d2 = 230,1
Các bài giải sách bài tập Vật Lí 11 (SBT Vật Lí 11) khác:
- Bài 33.1, 33.2, 33.3, 33.4, 33.5, 33.6 trang 91 Sách bài tập Vật Lí 11: Biểu thức nào dưới đây ....
- Bài 33.7 trang 92 Sách bài tập Vật Lí 11: Vật kính và thị kính ....
- Bài 33.8 trang 92 Sách bài tập Vật Lí 11: Kính hiển vi có vật kính ....
Tủ sách VIETJACK shopee lớp 10-11 (cả 3 bộ sách):
Đã có app VietJack trên điện thoại, giải bài tập SGK, SBT Soạn văn, Văn mẫu, Thi online, Bài giảng....miễn phí. Tải ngay ứng dụng trên Android và iOS.
Theo dõi chúng tôi miễn phí trên mạng xã hội facebook và youtube:Nếu thấy hay, hãy động viên và chia sẻ nhé! Các bình luận không phù hợp với nội quy bình luận trang web sẽ bị cấm bình luận vĩnh viễn.
- Giải Tiếng Anh 11 Global Success
- Giải sgk Tiếng Anh 11 Smart World
- Giải sgk Tiếng Anh 11 Friends Global
- Lớp 11 - Kết nối tri thức
- Soạn văn 11 (hay nhất) - KNTT
- Soạn văn 11 (ngắn nhất) - KNTT
- Giải sgk Toán 11 - KNTT
- Giải sgk Vật Lí 11 - KNTT
- Giải sgk Hóa học 11 - KNTT
- Giải sgk Sinh học 11 - KNTT
- Giải sgk Lịch Sử 11 - KNTT
- Giải sgk Địa Lí 11 - KNTT
- Giải sgk Giáo dục KTPL 11 - KNTT
- Giải sgk Tin học 11 - KNTT
- Giải sgk Công nghệ 11 - KNTT
- Giải sgk Hoạt động trải nghiệm 11 - KNTT
- Giải sgk Giáo dục quốc phòng 11 - KNTT
- Giải sgk Âm nhạc 11 - KNTT
- Lớp 11 - Chân trời sáng tạo
- Soạn văn 11 (hay nhất) - CTST
- Soạn văn 11 (ngắn nhất) - CTST
- Giải sgk Toán 11 - CTST
- Giải sgk Vật Lí 11 - CTST
- Giải sgk Hóa học 11 - CTST
- Giải sgk Sinh học 11 - CTST
- Giải sgk Lịch Sử 11 - CTST
- Giải sgk Địa Lí 11 - CTST
- Giải sgk Giáo dục KTPL 11 - CTST
- Giải sgk Hoạt động trải nghiệm 11 - CTST
- Giải sgk Âm nhạc 11 - CTST
- Lớp 11 - Cánh diều
- Soạn văn 11 Cánh diều (hay nhất)
- Soạn văn 11 Cánh diều (ngắn nhất)
- Giải sgk Toán 11 - Cánh diều
- Giải sgk Vật Lí 11 - Cánh diều
- Giải sgk Hóa học 11 - Cánh diều
- Giải sgk Sinh học 11 - Cánh diều
- Giải sgk Lịch Sử 11 - Cánh diều
- Giải sgk Địa Lí 11 - Cánh diều
- Giải sgk Giáo dục KTPL 11 - Cánh diều
- Giải sgk Tin học 11 - Cánh diều
- Giải sgk Công nghệ 11 - Cánh diều
- Giải sgk Hoạt động trải nghiệm 11 - Cánh diều
- Giải sgk Giáo dục quốc phòng 11 - Cánh diều
- Giải sgk Âm nhạc 11 - Cánh diều


Giải bài tập SGK & SBT
Tài liệu giáo viên
Sách
Khóa học
Thi online
Hỏi đáp

