Bài 10.11 trang 33 SBT Vật Lí 8
Bài 10: Lực đẩy Ác-si-mét
Bài 10.11 (trang 33 Sách bài tập Vật Lí 8) Một cục nước đá được thả nổi trong một cốc đựng nước. Chứng minh rằng khi nước đá tan hết thì mực nước trong cốc không thay đổi.
Lời giải:
Gọi P1 là trọng lượng của cục nước đá khi chưa tan
V1 là thể tích của phần nước bị cục nước đá chiếm chỗ
dn là trọng lượng riêng của nước
FA là lực đẩy Ác – si –mét tác dụng lên cục nước đá khi chưa tan.
Cục đá nổi trong nước nên Pđá = FA = V1.dn
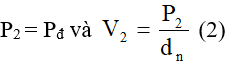
Gọi V2 là thể tích của nước do cục nước đá tan hết tạo thành, P2 là trọng lượng của lượng nước do đá tan ra, ta có:
Vì khối lượng của cục nước đá và khối lượng của lượng nước do cục nước đá tan hết tạo thành phải bằng nhau, nên:
Từ (1) và (2) ⇒ V1 = V2. Thể tích của phần nước đá chiếm chỗ đúng bằng thể tích của nước trong cốc nhận được khi nước đá tan hết. Do đó mực nước trong cốc không thay đổi.
Các bài giải bài tập sách bài tập Vật Lí 8 (SBT Vật Lí 8) khác:
Bài 10.6 (trang 32 Sách bài tập Vật Lí 8): Một thỏi nhôm và một thỏi đồng có trọng lượng như nhau...
Bài 10.8 (trang 33 Sách bài tập Vật Lí 8): Thả một viên bi sắt vào một cố nước. Viên bi càng xuống sâu thì...
Bài 10.11 (trang 33 Sách bài tập Vật Lí 8): Một cục nước đá được thả nổi trong một cốc đựng nước...
Xem thêm các loạt bài Để học tốt môn Vật Lí 8 hay khác:
- Giải bài tập Vật lý 8
- Giải VBT Vật Lí 8
- Lý thuyết & 300 Bài tập Vật Lí 8 (có đáp án)
- Top 36 Đề thi Vật Lí 8 có đáp án
Tủ sách VIETJACK shopee lớp 6-8 (2025):
Đã có app VietJack trên điện thoại, giải bài tập SGK, SBT Soạn văn, Văn mẫu, Thi online, Bài giảng....miễn phí. Tải ngay ứng dụng trên Android và iOS.
Theo dõi chúng tôi miễn phí trên mạng xã hội facebook và youtube:Loạt bài Giải sách bài tập Vật Lý 8 | Giải sbt Vật Lý 8 của chúng tôi được biên soạn bám sát nội dung Sách bài tập Vật Lý 8.
Nếu thấy hay, hãy động viên và chia sẻ nhé! Các bình luận không phù hợp với nội quy bình luận trang web sẽ bị cấm bình luận vĩnh viễn.
- Giải Tiếng Anh 8 Global Success
- Giải sgk Tiếng Anh 8 Smart World
- Giải sgk Tiếng Anh 8 Friends plus
- Lớp 8 - Kết nối tri thức
- Soạn văn 8 (hay nhất) - KNTT
- Soạn văn 8 (ngắn nhất) KNTT
- Giải sgk Toán 8 - KNTT
- Giải sgk Khoa học tự nhiên 8 - KNTT
- Giải sgk Lịch Sử 8 - KNTT
- Giải sgk Địa Lí 8 - KNTT
- Giải sgk Giáo dục công dân 8 - KNTT
- Giải sgk Tin học 8 - KNTT
- Giải sgk Công nghệ 8 - KNTT
- Giải sgk Hoạt động trải nghiệm 8 - KNTT
- Giải sgk Âm nhạc 8 - KNTT
- Lớp 8 - Chân trời sáng tạo
- Soạn văn 8 (hay nhất) - CTST
- Soạn văn 8 (ngắn nhất) - CTST
- Giải sgk Toán 8 - CTST
- Giải sgk Khoa học tự nhiên 8 - CTST
- Giải sgk Lịch Sử 8 - CTST
- Giải sgk Địa Lí 8 - CTST
- Giải sgk Giáo dục công dân 8 - CTST
- Giải sgk Tin học 8 - CTST
- Giải sgk Công nghệ 8 - CTST
- Giải sgk Hoạt động trải nghiệm 8 - CTST
- Giải sgk Âm nhạc 8 - CTST
- Lớp 8 - Cánh diều
- Soạn văn 8 Cánh diều (hay nhất)
- Soạn văn 8 Cánh diều (ngắn nhất)
- Giải sgk Toán 8 - Cánh diều
- Giải sgk Khoa học tự nhiên 8 - Cánh diều
- Giải sgk Lịch Sử 8 - Cánh diều
- Giải sgk Địa Lí 8 - Cánh diều
- Giải sgk Giáo dục công dân 8 - Cánh diều
- Giải sgk Tin học 8 - Cánh diều
- Giải sgk Công nghệ 8 - Cánh diều
- Giải sgk Hoạt động trải nghiệm 8 - Cánh diều
- Giải sgk Âm nhạc 8 - Cánh diều


Giải bài tập SGK & SBT
Tài liệu giáo viên
Sách
Khóa học
Thi online
Hỏi đáp

