Bài 14.3 trang 39 SBT Vật Lí 8
Bài 14: Định luật về công
Bài 14.3 (trang 39 Sách bài tập Vật Lí 8) Ở hình 14.1, hai quả cầu A và B đều làm bằng nhôm và có cùng đường kính, một quả rỗng và một quả đặc. Hãy cho biết quả nào rỗng và khối lượng quả nọ lớn hơn quả kia bao nhiêu lần? Giả sử rằng thanh AB có khối lượng không đáng kể.
Lời giải:
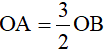
Đòn bẩy ở trạng thái cân bằng, nghĩa là
Quả cầu A tác dụng lên đầu A một lực PA, quả cầu B tác dụng lên đầu B một lực PB.
Ta có điều kiện cân bằng của đòn bẩy:
Quả cầu B nặng hơn quả cầu A nên quả cầu A là rỗng.
Các bài giải bài tập sách bài tập Vật Lí 8 (SBT Vật Lí 8) khác:
Bài 14.1 (trang 39 Sách bài tập Vật Lí 8): Người ta đưa một vật nặng lên độ cao h bằng hai cách...
Bài 14.3 (trang 39 Sách bài tập Vật Lí 8): Ở hình 14.2, hai quả cầu A và B đều làm bằng nhôm...
Bài 14.4 (trang 39 Sách bài tập Vật Lí 8): Một người công nhân dùng ròng rọc động để nâng một...
Bài 14.5 (trang 40 Sách bài tập Vật Lí 8): Vật A ở hình 14.2 có khối lượng 2kg...
Bài 14.10 (trang 41 Sách bài tập Vật Lí 8): Phát biểu nào dưới đây về máy cơ đơn giản là đúng...
Bài 14.11 (trang 41 Sách bài tập Vật Lí 8): Dùng một palăng để đưa một vật nặng 200N lên cao 20cm...
Xem thêm các loạt bài Để học tốt môn Vật Lí 8 hay khác:
- Giải bài tập Vật lý 8
- Giải VBT Vật Lí 8
- Lý thuyết & 300 Bài tập Vật Lí 8 (có đáp án)
- Top 36 Đề thi Vật Lí 8 có đáp án
Tủ sách VIETJACK shopee lớp 6-8 (2025):
Đã có app VietJack trên điện thoại, giải bài tập SGK, SBT Soạn văn, Văn mẫu, Thi online, Bài giảng....miễn phí. Tải ngay ứng dụng trên Android và iOS.
Theo dõi chúng tôi miễn phí trên mạng xã hội facebook và youtube:Loạt bài Giải sách bài tập Vật Lý 8 | Giải sbt Vật Lý 8 của chúng tôi được biên soạn bám sát nội dung Sách bài tập Vật Lý 8.
Nếu thấy hay, hãy động viên và chia sẻ nhé! Các bình luận không phù hợp với nội quy bình luận trang web sẽ bị cấm bình luận vĩnh viễn.
- Giải Tiếng Anh 8 Global Success
- Giải sgk Tiếng Anh 8 Smart World
- Giải sgk Tiếng Anh 8 Friends plus
- Lớp 8 - Kết nối tri thức
- Soạn văn 8 (hay nhất) - KNTT
- Soạn văn 8 (ngắn nhất) KNTT
- Giải sgk Toán 8 - KNTT
- Giải sgk Khoa học tự nhiên 8 - KNTT
- Giải sgk Lịch Sử 8 - KNTT
- Giải sgk Địa Lí 8 - KNTT
- Giải sgk Giáo dục công dân 8 - KNTT
- Giải sgk Tin học 8 - KNTT
- Giải sgk Công nghệ 8 - KNTT
- Giải sgk Hoạt động trải nghiệm 8 - KNTT
- Giải sgk Âm nhạc 8 - KNTT
- Lớp 8 - Chân trời sáng tạo
- Soạn văn 8 (hay nhất) - CTST
- Soạn văn 8 (ngắn nhất) - CTST
- Giải sgk Toán 8 - CTST
- Giải sgk Khoa học tự nhiên 8 - CTST
- Giải sgk Lịch Sử 8 - CTST
- Giải sgk Địa Lí 8 - CTST
- Giải sgk Giáo dục công dân 8 - CTST
- Giải sgk Tin học 8 - CTST
- Giải sgk Công nghệ 8 - CTST
- Giải sgk Hoạt động trải nghiệm 8 - CTST
- Giải sgk Âm nhạc 8 - CTST
- Lớp 8 - Cánh diều
- Soạn văn 8 Cánh diều (hay nhất)
- Soạn văn 8 Cánh diều (ngắn nhất)
- Giải sgk Toán 8 - Cánh diều
- Giải sgk Khoa học tự nhiên 8 - Cánh diều
- Giải sgk Lịch Sử 8 - Cánh diều
- Giải sgk Địa Lí 8 - Cánh diều
- Giải sgk Giáo dục công dân 8 - Cánh diều
- Giải sgk Tin học 8 - Cánh diều
- Giải sgk Công nghệ 8 - Cánh diều
- Giải sgk Hoạt động trải nghiệm 8 - Cánh diều
- Giải sgk Âm nhạc 8 - Cánh diều


Giải bài tập SGK & SBT
Tài liệu giáo viên
Sách
Khóa học
Thi online
Hỏi đáp

