Bài 5 trang 32 SBT Vật Lí 9
Bài 11: Bài tập vận dụng định luật Ôm và công thức tính điện trở của dây dẫn
Bài 5 trang 32 sách bài tập Vật Lí 9: Xét các dây dẫn được làm từ cùng một loại vật liệu, nếu chiều dài dây dẫn giảm đi 5 lần và tiết diện tăng 2 lần thì điện trở của dây dẫn thay đổi như thế nào?
A. Điện trở của dây dẫn tăng lên 10 lần
B. Điện trở của dây dẫn giảm đi 10 lần
C. Điện trở dây dẫn tăng lên 2,5 lần
D. Điện trở dây dẫn giảm lên 2,5 lần
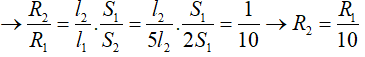
Tóm tắt:
Hai dây cùng vật liệu (ρ1 = ρ2 = ρ); l2 = l1/5; S2 = 2S1; R2/ R1 = ?
Lời giải:
Chọn B. Điện trở của dây dẫn giảm đi 10 lần
Áp dụng công thức:
Xem thêm các bài giải bài tập sách bài tập Vật Lí lớp 9 hay khác:
Bài 11.1 (trang 31 Sách bài tập Vật Lí 9): Hai bóng đèn khi sáng bình thường có điện trở là...
Bài 11.2 (trang 31 Sách bài tập Vật Lí 9): Hai bóng đèn có cùng hiệu điện thế định mức là...
Bài 11.3 (trang 31 Sách bài tập Vật Lí 9): Hai bóng đèn có hiệu điện thế định mức lần lượt là...
Bài 11.5 (trang 32 Sách bài tập Vật Lí 9): Xét các dây dẫn được làm từ cùng một loại vật liệu...
Bài 11.7 (trang 33 Sách bài tập Vật Lí 9): Hãy ghép mỗi đoạn câu a), b), c), d) với một đoạn câu...
Bài 11.10 (trang 34 Sách bài tập Vật Lí 9): Hai bóng đèn Đ1 và Đ2 có cùng hiệu điện thế định mức...
Bài 11.11 (trang 34 Sách bài tập Vật Lí 9): Ba bóng đèn Đ1, Đ2, Đ3 có hiệu điện thế định mức là...
Xem thêm các loạt bài Để học tốt Vật Lí lớp 9 hay khác:
- Giải bài tập Vật lý 9
- Lý thuyết & 500 bài tập Vật Lí 9 có đáp án
- Giải VBT Vật Lí 9
- Chuyên đề Vật Lí 9 (có đáp án)
- Đề thi Vật Lí 9
Tủ sách VIETJACK luyện thi vào 10 cho 2k11 (2026):
Đã có app VietJack trên điện thoại, giải bài tập SGK, SBT Soạn văn, Văn mẫu, Thi online, Bài giảng....miễn phí. Tải ngay ứng dụng trên Android và iOS.
Theo dõi chúng tôi miễn phí trên mạng xã hội facebook và youtube:Loạt bài Giải sách bài tập Vật Lí 9 | Giải SBT Vật Lí 9 của chúng tôi được biên soạn bám sát nội dung sách bài tập Vật Lí lớp 9.
Nếu thấy hay, hãy động viên và chia sẻ nhé! Các bình luận không phù hợp với nội quy bình luận trang web sẽ bị cấm bình luận vĩnh viễn.
- Giải Tiếng Anh 9 Global Success
- Giải sgk Tiếng Anh 9 Smart World
- Giải sgk Tiếng Anh 9 Friends plus
- Lớp 9 Kết nối tri thức
- Soạn văn 9 (hay nhất) - KNTT
- Soạn văn 9 (ngắn nhất) - KNTT
- Giải sgk Toán 9 - KNTT
- Giải sgk Khoa học tự nhiên 9 - KNTT
- Giải sgk Lịch Sử 9 - KNTT
- Giải sgk Địa Lí 9 - KNTT
- Giải sgk Giáo dục công dân 9 - KNTT
- Giải sgk Tin học 9 - KNTT
- Giải sgk Công nghệ 9 - KNTT
- Giải sgk Hoạt động trải nghiệm 9 - KNTT
- Giải sgk Âm nhạc 9 - KNTT
- Giải sgk Mĩ thuật 9 - KNTT
- Lớp 9 Chân trời sáng tạo
- Soạn văn 9 (hay nhất) - CTST
- Soạn văn 9 (ngắn nhất) - CTST
- Giải sgk Toán 9 - CTST
- Giải sgk Khoa học tự nhiên 9 - CTST
- Giải sgk Lịch Sử 9 - CTST
- Giải sgk Địa Lí 9 - CTST
- Giải sgk Giáo dục công dân 9 - CTST
- Giải sgk Tin học 9 - CTST
- Giải sgk Công nghệ 9 - CTST
- Giải sgk Hoạt động trải nghiệm 9 - CTST
- Giải sgk Âm nhạc 9 - CTST
- Giải sgk Mĩ thuật 9 - CTST
- Lớp 9 Cánh diều
- Soạn văn 9 Cánh diều (hay nhất)
- Soạn văn 9 Cánh diều (ngắn nhất)
- Giải sgk Toán 9 - Cánh diều
- Giải sgk Khoa học tự nhiên 9 - Cánh diều
- Giải sgk Lịch Sử 9 - Cánh diều
- Giải sgk Địa Lí 9 - Cánh diều
- Giải sgk Giáo dục công dân 9 - Cánh diều
- Giải sgk Tin học 9 - Cánh diều
- Giải sgk Công nghệ 9 - Cánh diều
- Giải sgk Hoạt động trải nghiệm 9 - Cánh diều
- Giải sgk Âm nhạc 9 - Cánh diều
- Giải sgk Mĩ thuật 9 - Cánh diều


Giải bài tập SGK & SBT
Tài liệu giáo viên
Sách
Khóa học
Thi online
Hỏi đáp

