Bài 8 trang 10 SBT Vật Lí 9
Bài 4: Đoạn mạch nối tiếp
Bài 8 trang 10 sách bài tập Vật Lí 9: Đặt hiệu điện thế U = 12V vào hai đầu đoạn mạch gồm điện trở R1 = 40Ω và R2 = 80Ω mắc nối tiếp. Hỏi cường độ dòng điện chạy qua mạch này là bao nhiêu?
A. 0,1A
B. 0,15A
C. 0,45A
D. 0,3A
Tóm tắt:
R1 = 40Ω; R2 = 80Ω; U = 12 V; I = ?
Lời giải:
Chọn A. 0,1A.
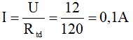
Điện trở tương đương của đoạn mạch là: Rtd = R1 + R2 = 40 + 80 = 120 Ω
Cường độ dòng điện chạy qua mạch này là:
Xem thêm các bài giải bài tập sách bài tập Vật Lí lớp 9 hay khác:
Bài 4.2 (trang 9 Sách bài tập Vật Lí 9): Một điện trở 10 Ω được mắc vào hiệu điện thế 12V...
Bài 4.3 (trang 9 Sách bài tập Vật Lí 9): Có mạch điện có sơ đồ như hình 4.1, trong đó điện trở...
Bài 4.9 (trang 10 Sách bài tập Vật Lí 9): Một đoạn mạch gồm hai điện trở R1 và R2 = 1,5R1 mắc nối...
Bài 4.10 (trang 10 Sách bài tập Vật Lí 9): Phát biểu nào sau đây không đúng đối với đoạn mạch gồm...
Bài 4.11 (trang 11 Sách bài tập Vật Lí 9): Đoạn mạch gồm các điện trở mắc nối tiếp là đoạn mạch...
Bài 4.12 (trang 11 Sách bài tập Vật Lí 9): Đặt một hiệu điện thế UAB vào hai đầu đoạn mạch...
Bài 4.14 (trang 11 Sách bài tập Vật Lí 9): Đặt một hiệu điện thế U = 6V vào hai đầu đoạn mạch...
Bài 4.15 (trang 12 Sách bài tập Vật Lí 9): Đặt một hiệu điện thế U vào hai đầu đoạn mạch có sơ đồ...
Bài 4.16 (trang 12 Sách bài tập Vật Lí 9): Đặt một hiệu điện thế U vào hai đầu một đoạn mạch...
Xem thêm các loạt bài Để học tốt Vật Lí lớp 9 hay khác:
- Giải bài tập Vật lý 9
- Lý thuyết & 500 bài tập Vật Lí 9 có đáp án
- Giải VBT Vật Lí 9
- Chuyên đề Vật Lí 9 (có đáp án)
- Đề thi Vật Lí 9
Tủ sách VIETJACK luyện thi vào 10 cho 2k11 (2026):
Đã có app VietJack trên điện thoại, giải bài tập SGK, SBT Soạn văn, Văn mẫu, Thi online, Bài giảng....miễn phí. Tải ngay ứng dụng trên Android và iOS.
Theo dõi chúng tôi miễn phí trên mạng xã hội facebook và youtube:Loạt bài Giải sách bài tập Vật Lí 9 | Giải SBT Vật Lí 9 của chúng tôi được biên soạn bám sát nội dung sách bài tập Vật Lí lớp 9.
Nếu thấy hay, hãy động viên và chia sẻ nhé! Các bình luận không phù hợp với nội quy bình luận trang web sẽ bị cấm bình luận vĩnh viễn.
- Giải Tiếng Anh 9 Global Success
- Giải sgk Tiếng Anh 9 Smart World
- Giải sgk Tiếng Anh 9 Friends plus
- Lớp 9 Kết nối tri thức
- Soạn văn 9 (hay nhất) - KNTT
- Soạn văn 9 (ngắn nhất) - KNTT
- Giải sgk Toán 9 - KNTT
- Giải sgk Khoa học tự nhiên 9 - KNTT
- Giải sgk Lịch Sử 9 - KNTT
- Giải sgk Địa Lí 9 - KNTT
- Giải sgk Giáo dục công dân 9 - KNTT
- Giải sgk Tin học 9 - KNTT
- Giải sgk Công nghệ 9 - KNTT
- Giải sgk Hoạt động trải nghiệm 9 - KNTT
- Giải sgk Âm nhạc 9 - KNTT
- Giải sgk Mĩ thuật 9 - KNTT
- Lớp 9 Chân trời sáng tạo
- Soạn văn 9 (hay nhất) - CTST
- Soạn văn 9 (ngắn nhất) - CTST
- Giải sgk Toán 9 - CTST
- Giải sgk Khoa học tự nhiên 9 - CTST
- Giải sgk Lịch Sử 9 - CTST
- Giải sgk Địa Lí 9 - CTST
- Giải sgk Giáo dục công dân 9 - CTST
- Giải sgk Tin học 9 - CTST
- Giải sgk Công nghệ 9 - CTST
- Giải sgk Hoạt động trải nghiệm 9 - CTST
- Giải sgk Âm nhạc 9 - CTST
- Giải sgk Mĩ thuật 9 - CTST
- Lớp 9 Cánh diều
- Soạn văn 9 Cánh diều (hay nhất)
- Soạn văn 9 Cánh diều (ngắn nhất)
- Giải sgk Toán 9 - Cánh diều
- Giải sgk Khoa học tự nhiên 9 - Cánh diều
- Giải sgk Lịch Sử 9 - Cánh diều
- Giải sgk Địa Lí 9 - Cánh diều
- Giải sgk Giáo dục công dân 9 - Cánh diều
- Giải sgk Tin học 9 - Cánh diều
- Giải sgk Công nghệ 9 - Cánh diều
- Giải sgk Hoạt động trải nghiệm 9 - Cánh diều
- Giải sgk Âm nhạc 9 - Cánh diều
- Giải sgk Mĩ thuật 9 - Cánh diều


Giải bài tập SGK & SBT
Tài liệu giáo viên
Sách
Khóa học
Thi online
Hỏi đáp

