Sách bài tập Toán 8 Bài 5: Phương trình chứa ẩn ở mẫu
Sách bài tập Toán 8 Bài 5: Phương trình chứa ẩn ở mẫu
Bài 35 trang 11 sách bài tập Toán 8 Tập 2: Em hãy chọn khẳng định đúng trong hai khẳng định sau đây:
a. Hai phương trình tương đương với nhau thì phải có cùng điều kiện xác định.
b. Hai phương trình có cùng điều kiện xác định có thể không tương đương với nhau.
Lời giải:
Phát biểu trong câu b là đúng.
Bài 36 trang 11 sách bài tập Toán 8 Tập 2: Khi giải phương trình , bạn Hà làm như sau:
Theo định nghĩa hai phân thức bằng nhau, ta có:
⇔ (2 – 3x)(2x + 1) = (3x + 2)(- 2x – 3)
⇔ -6x2 + x + 2 = -6x2 – 13x – 6
⇔ 14x = - 8
⇔ x = - 4/7
Vậy phương trình có nghiệm x = - 4/7 .
Em hãy nhận xét về bài làm của bạn Hà.
Lời giải:
Đáp số của bài toán đúng nhưng lời giải của bạn Hà chưa đầy đủ.
Lời giải của bạn Hà thiếu bước tìm điều kiện xác định và bước đối chiếu giá trị của x tìm được với điều kiện để kết luận nghiệm.
Trong bài toán trên thì điều kiện xác định của phương trình là:
x ≠ - 3/2 và x ≠ - 1/2
So sánh với điều kiện xác định thì giá trị x = - 4/7 thỏa mãn.
Vậy x = - 4/7 là nghiệm của phương trình.
Bài 37 trang 11 sách bài tập Toán 8 Tập 2: Các khẳng định sau đây đúng hay sai:
a. Phương trình có nghiệm x = 2.
b. Phương trình có tập nghiệm S = {-2; 1}
c. Phương trình có nghiệm x = - 1
d. Phương trình có tập nghiệm S = {0; 3}
Lời giải:
a. Đúng
Vì x2 + 1 > 0 với mọi x nên phương trình đã cho tương đương với phương trình:
4x – 8 + (4 – 2x) = 0 ⇔ 2x – 4 = 0 ⇔ 2x = 4 ⇔ x = 2
b. Đúng
Vì x2 – x + 1 = (x - 1/2 )2 + 3/4 > 0 với mọi x nên phương trình đã cho tương đương với phương trình:
(x + 2)(2x – 1) – x – 2 = 0 ⇔ (x + 2)(2x – 2) = 0
⇔ x + 2 = 0 hoặc 2x – 2 = 0 ⇔ x = - 2 hoặc x = 1
c. Sai
Vì điều kiện xác định của phương trình là x + 1 ≠ 0 ⇔ x ≠ - 1
Do vậy phương trình không thể có nghiệm x = - 1
d. Sai
Vì điều kiện xác định của phương trình là x ≠ 0
Do vậy x = 0 không phải là nghiệm của phương trình
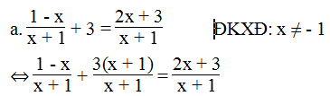
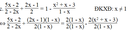
Bài 38 trang 12 sách bài tập Toán 8 Tập 2: Giải các phương trình sau:
Lời giải:
⇔ 1 – x + 3(x + 1) = 2x + 3
⇔ 1 – x + 3x + 3 – 2x – 3 = 0
⇔ 0x = - 1
Phương trình vô nghiệm.
⇔ (x + 2)2 – (2x – 3) = x2 + 10
x2 + 4x + 4 – 2x + 3 – x2 – 10 = 0
⇔ 2x = 3 ⇔ x = 3/2 (loại)
Phương trình vô nghiệm.
⇔ 5x – 2 + (2x – 1)(1 – x) = 2(1 – x) – 2(x2 + x – 3)
⇔ 5x – 2 + 2x – 2x2 – 1 + x – 2 + 2x + 2x2 + 2x – 6 = 0
⇔ 12x - 11 = 0
⇔ x = 11/12 (thoả mãn)
Vậy phương trình có nghiệm x = 11/12
⇔ (5 – 2x)(3x – 1) + 3(x + 1)(x – 1) = (x + 2)(1 – 3x)
⇔ 15x – 5 – 6x2 + 2x + 3x2 – 3 = x – 3x2 + 2 – 6x
⇔ - 6x2 + 3x2 + 3x2 + 15x + 2x – x + 6x = 2 + 5 + 3
⇔ 22x = 10 ⇔ x = 5/11 (thỏa mãn)
Vậy phương trình có nghiệm x = 5/11 .
Bài 39 trang 12 sách bài tập Toán 8 Tập 2: a. Tìm x sao cho biểu thức bằng 2.
b. Tìm x sao cho giá trị của hai biểu thức sau bằng nhau:
c. Tìm y sao cho giá trị của hai biểu thức sau bằng nhau:
Lời giải:
ĐKXĐ: x ≠ 2 hoặc x ≠ -2
⇔ 2x2 - 3x – 2 = 2(x2 – 4) ⇔ 2x2 – 3x – 2 = 2x2 – 8
⇔ 2x2 – 2x2 – 3x = - 8 + 2 ⇔ - 3x = - 6 ⇔ x = 2 (loại)
Vậy không có giá trị nào của x thỏa mãn điều kiện bài toán.
⇔ (6x – 1)(x – 3) = (2x + 5)(3x + 2)
⇔ 6x2 – 18x – x + 3 = 6x2 + 4x + 15x + 10
⇔ 6x2 – 6x2 – 18x – x – 4x – 15x = 10 – 3
⇔ - 38x = 7 ⇔ x = - 7/38 (thỏa mãn)
Vậy khi x = - 7/38 thì giá trị của hai biểu thức bằng nhau.
⇔ (y + 5)(y – 3) – (y + 1)(y – 1) = - 8
⇔ y2 – 3y + 5y – 15 – y2 + 1 = - 8
⇔ 2y = 6 ⇔ y = 3 (loại)
Vậy không có giá trị nào của y thỏa mãn điều kiện bài toán.
Bài 40 trang 12 sách bài tập Toán 8 Tập 2: Giải các phương trình sau:
Lời giải:
⇔ (1 – 6x)(x + 2) + (9x + 4)(x – 2) = x(3x – 2) + 1
⇔ x + 2 – 6x2 – 12x + 9x2 – 18x + 4x – 8 = 3x2 – 2x + 1
⇔ - 6x2 + 9x2 – 3x2 + x – 12x – 18x + 4x + 2x = 1 – 2 + 8
⇔ - 23x = 7 ⇔ x = -7/23 (thỏa mãn)
Vậy phương trình có nghiệm x = -7/23
⇔ (x + 2)(3 – x) + x(x + 2) = 5x + 2(3 – x)
⇔ 3x – x2 + 6 – 2x + x2 + 2x = 5x + 6 – 2x
⇔ x2 – x2 + 3x – 2x + 2x – 5x + 2x = 6 – 6 ⇔ 0x = 0
Phương trình đã cho có nghiệm đúng với mọi giá trị của x thỏa mãn điều kiện xác định.
Vậy phương trình có nghiệm x ∈ R / x ≠ 3 và x ≠ -2
⇔ 2(x2 + x + 1) + (2x + 3)(x – 1) = (2x – 1)(2x + 1)
⇔ 2x2 + 2x + 2 + 2x2 – 2x + 3x – 3 = 4x2 – 1
⇔ 2x2 + 2x2 – 4x2 + 2x – 2x + 3x = -1 – 2 + 3
⇔ 3x = 0 ⇔ x = 0 (thỏa mãn)
Vậy phương trình có nghiệm x = 0.
⇔ x3 – (x – 1)3 = (7x – 1)(x – 5) – x(4x + 3)
⇔ x3 – x3 + 3x2 – 3x + 1 = 7x2 – 35x – x + 5 – 4x2 – 3x
⇔ 3x2 – 7x2 + 4x2 – 3x + 35x + x + 3x = 5 – 1
⇔ 36x = 4 ⇔ x = 1/9 (thoả mãn)
Vậy phương trình có nghiệm x = 1/9
Bài 41 trang 13 sách bài tập Toán 8 Tập 2: Giải các phương trình sau:
Lời giải:
⇔ (2x + 1)(x + 1) = 5(x – 1)(x – 1)
⇔ 2x2 + 2x + x + 1 = 5x2 – 10x + 5
⇔ 2x2 – 5x2 + 2x + x + 10x + 1 – 5 = 0
⇔ - 3x2 + 13x – 4 = 0 ⇔ 3x2 – x – 12x + 4 = 0
⇔ x(3x – 1) – 4(3x – 1) = 0 ⇔ (x – 4)(3x – 1) = 0
⇔ x – 4 = 0 hoặc 3x – 1 = 0
x – 4 = 0 ⇔ x = 4 (thỏa mãn)
3x – 1 = 0 ⇔ x = 1/3 (thỏa mãn)
Vậy phương trình có nghiệm x = 4 hoặc x = 1/3
⇔ (x – 3)(x – 4) + (x – 2)(x – 2) = - (x – 2)(x – 4)
⇔ x2 – 4x – 3x + 12 + x2 – 2x – 2x + 4 = -x2 + 4x + 2x – 8
⇔ 3x2 – 17x + 24 = 0
⇔ 3x2 – 9x – 8x + 24 = 0
⇔ 3x(x – 3) – 8(x – 3) = 0 ⇔ (3x – 8)(x – 3) = 0
⇔ 3x – 8 = 0 hoặc x – 3 = 0
3x – 8 = 0 ⇔ x = 8/3 (thỏa mãn)
x – 3 = 0 ⇔ x = 3 (thỏa mãn)
Vậy phương trình có nghiệm x = 8/3 hoặc x = 3
⇔ x2 + x + 1 + 2x2 – 5 = 4(x – 1)
⇔ x2 + x + 1 + 2x2 – 5 = 4x – 4 ⇔ 3x2 – 3x = 0 ⇔ 3x(x – 1) = 0
⇔ x = 0 (thỏa mãn) hoặc x – 1 = 0 ⇔ x = 1 (loại)
Vậy phương trình có nghiệm x = 0
⇔ 13(x + 3) + x2 – 9 = 6(2x + 7)
⇔ 13x + 39 + x2 – 9 = 12x + 42
⇔ x2 + x – 12 = 0
⇔ x2 – 3x + 4x – 12 = 0
⇔ x(x – 3) + 4(x – 3) = 0
⇔ (x + 4)(x – 3) = 0
⇔ x + 4 = 0 hoặc x – 3 = 0
x + 4 = 0 ⇔ x = -4 (thỏa mãn)
x – 3 = 0 ⇔ x = 3 (loại)
Vậy phương trình có nghiệm x = -4.
Bài 42 trang 13 sách bài tập Toán 8 Tập 2: Cho phương trình ẩn x:
a. Giải phương trình khi a = - 3
b. Giải phương trình khi a = 1
c. Giải phương trình khi a = 0
d. Tìm giá trị của a sao cho phương trình nhận x = 1/2 là nghiệm.
Lời giải:
a. Khi a = - 3, ta có phương trình:
⇔ (3 – x)(x – 3) + (x + 3)2 = -24
⇔ 3x – 9 – x2 + 3x + x2 + 6x + 9 = -24 ⇔ 12x = - 24
⇔ x = -2 (thỏa mãn)
Vậy phương trình có nghiệm x = -2
b. Khi a = 1, ta có phương trình:
⇔ (x + 1)2 + (x – 1)(1 – x) = 4
⇔ x2 + 2x + 1 + x – x2 – 1 + x = 4
⇔ 4x = 4 ⇔ x = 1 (loại)
Vậy phương trình vô nghiệm.
c. Khi a = 0, ta có phương trình:
Phương trình nghiệm đúng với mọi giá trị của x ≠ 0
Vậy phương trình có nghiệm x ∈ R / x ≠ 0.
d. Thay x = 1/2 vào phương trình, ta có:
ĐKXĐ:
⇔ (1 + 2a)(2a + 1) + (1 – 2a)(2a – 1) = 4a(3a + 1)
⇔ 2a + 1 + 4a2 + 2a + 2a – 1 – 4a2 + 2a = 12a2 + 4a
⇔ 12a2 – 4a = 0 ⇔ 4a(3a – 1) = 0 ⇔ 4a = 0 hoặc 3a – 1 = 0
⇔ a = 0 (thỏa mãn) hoặc a = 1/3 (thỏa mãn)
Vậy khi a = 0 hoặc a = 1/3 thì phương trình có nghiệm x = 1/2
Bài 5.1 trang 13 sách bài tập Toán 8 Tập 2: Giải các phương trình:
Lời giải:
a. Ta có:
ĐKXĐ của phương trình là x ≠ 2; x ≠ 1/2; x ≠ 1; x ≠ -1; x ≠ 13.
Ta biến đổi phương trình đã cho thành
Khử mẫu và rút gọn:
(2x − 1)(3x − 1) = 6(x2 − 1)
⇔−5x + 1 = −6 ⇔ x = 7/5
Giá trị x = 7/5 thỏa mãn ĐKXĐ.
Vậy phương trình có nghiệm là x = 7/5
b. Cách 1. ĐKXĐ: x≠ ± 1. Biến đổi vế trái thành
Ta đưa phương trình đã cho về dạng
Giải phương trình này bằng cách khử mẫu:
4(x + 1) = (x − 1)(x + 1)
⇔(x + 1)(x − 5) = 0
⇔x = −1 hoặc x = 5
Trong hai giá trị vừa tìm được, chỉ có x = 5 là thỏa mãn ĐKXĐ.
Vậy phương trình đã cho có một nghiệm duy nhất x = 5.
Cách 2. Đặt ta có phương trình
ĐKXĐ của phương trình này là y ≠ 0 và y ≠ −1. Giải phương trình này bằng cách khử mẫu:
2y2 − 2 = 1 + y
⇔2(y2 − 1)−(y + 1) = 0
⇔(y + 1)(2y − 3) = 0
⇔y = −1 hoặc y = 3/2
Trong hai giá trị tìm được, chỉ có y = 3/2 là thỏa mãn ĐKXĐ
Vậy phương trình đã cho tương đương với phương trình
Giải phương trình này ta được x = 5
c. ĐKXĐ: x∈{0;−1;−2;−3}. Ta biến đổi phương trình như sau:
Ta có:
(1) ⇔x = −5
Tóm lại, phương trình đã cho có tập nghiệm là S = {−5;−3/2}
Xem thêm các bài giải sách bài tập Toán lớp 8 chọn lọc, chi tiết khác:
- Bài 6 - 7: Giải bài toán bằng cách lập phương trình
- Ôn tập chương 3
- Bài 1: Liên hệ giữa thứ tự và phép cộng
- Bài 2: Liên hệ giữa thứ tự và phép nhân
Xem thêm các loạt bài Để học tốt Toán lớp 8 hay khác:
Tủ sách VIETJACK shopee lớp 6-8 (2025):
Đã có app VietJack trên điện thoại, giải bài tập SGK, SBT Soạn văn, Văn mẫu, Thi online, Bài giảng....miễn phí. Tải ngay ứng dụng trên Android và iOS.
Theo dõi chúng tôi miễn phí trên mạng xã hội facebook và youtube:Loạt bài Giải sách bài tập Toán 8 hay, chi tiết của chúng tôi được biên soạn bám sát nội dung Sách bài tập Toán 8 Tập 1 & Tập 2.
Nếu thấy hay, hãy động viên và chia sẻ nhé! Các bình luận không phù hợp với nội quy bình luận trang web sẽ bị cấm bình luận vĩnh viễn.
- Giải Tiếng Anh 8 Global Success
- Giải sgk Tiếng Anh 8 Smart World
- Giải sgk Tiếng Anh 8 Friends plus
- Lớp 8 - Kết nối tri thức
- Soạn văn 8 (hay nhất) - KNTT
- Soạn văn 8 (ngắn nhất) KNTT
- Giải sgk Toán 8 - KNTT
- Giải sgk Khoa học tự nhiên 8 - KNTT
- Giải sgk Lịch Sử 8 - KNTT
- Giải sgk Địa Lí 8 - KNTT
- Giải sgk Giáo dục công dân 8 - KNTT
- Giải sgk Tin học 8 - KNTT
- Giải sgk Công nghệ 8 - KNTT
- Giải sgk Hoạt động trải nghiệm 8 - KNTT
- Giải sgk Âm nhạc 8 - KNTT
- Lớp 8 - Chân trời sáng tạo
- Soạn văn 8 (hay nhất) - CTST
- Soạn văn 8 (ngắn nhất) - CTST
- Giải sgk Toán 8 - CTST
- Giải sgk Khoa học tự nhiên 8 - CTST
- Giải sgk Lịch Sử 8 - CTST
- Giải sgk Địa Lí 8 - CTST
- Giải sgk Giáo dục công dân 8 - CTST
- Giải sgk Tin học 8 - CTST
- Giải sgk Công nghệ 8 - CTST
- Giải sgk Hoạt động trải nghiệm 8 - CTST
- Giải sgk Âm nhạc 8 - CTST
- Lớp 8 - Cánh diều
- Soạn văn 8 Cánh diều (hay nhất)
- Soạn văn 8 Cánh diều (ngắn nhất)
- Giải sgk Toán 8 - Cánh diều
- Giải sgk Khoa học tự nhiên 8 - Cánh diều
- Giải sgk Lịch Sử 8 - Cánh diều
- Giải sgk Địa Lí 8 - Cánh diều
- Giải sgk Giáo dục công dân 8 - Cánh diều
- Giải sgk Tin học 8 - Cánh diều
- Giải sgk Công nghệ 8 - Cánh diều
- Giải sgk Hoạt động trải nghiệm 8 - Cánh diều
- Giải sgk Âm nhạc 8 - Cánh diều


Giải bài tập SGK & SBT
Tài liệu giáo viên
Sách
Khóa học
Thi online
Hỏi đáp

