Sách bài tập Toán 8 Ôn tập chương 3 phần Đại số
Sách bài tập Toán 8 Ôn tập chương 3 phần Đại số
Bài 62 trang 16 sách bài tập Toán 8 Tập 2: Cho hai biểu thức A = 5/(2m + 1) và B = 4/(2m - 1) . Hãy tìm các giá trị của m để hai biểu thức ấy có giá trị thỏa mãn hệ thức:
a. 2A + 3B = 0
b. A.B = A + B
Lời giải:
⇔ 10(2m – 1) + 12(2m + 1) = 0
⇔ 20m – 10 + 24m + 12 = 0
⇔ 44m + 2 = 0
⇔ m = - 1/22 (thỏa)
Vậy m = - 1/22 thì 2A + 3B = 0.
b. A.B = A + B
⇔ 20 = 5(2m – 1) + 4(2m + 1)
⇔ 20 = 10m – 5 + 8m + 4
⇔ 18m = 21
⇔ m = 7/6 (thỏa)
Vậy m = 7/6 thì A.B = A + B
Bài 63 trang 16 sách bài tập Toán 8 Tập 2: Tính gần đúng nghiệm của các phương trình sau, làm tròn đến chữ số thập phân thứ hai.
a. (x√13 + √5 )(√7 – x√3 ) = 0
b. (x√2,7 – 1,54)(√1,02 + x√3,1) = 0
Lời giải:
a. (x√13 + √5 )(√7 – x√3 ) = 0
⇔ x√13 + √5 = 0 hoặc √7 - x√3 = 0
x√13 + √5 = 0 ⇔ x = - √5 / √13 ≈ -0,62
√7 - x√3 = 0 ⇔ x = √7 / √3 ≈ 1,53
Vậy phương trình có nghiệm x = -0,62 hoặc x = 1,53
b. (x√2,7 – 1,54)(√1,02 + x√3,1) = 0
⇔ x√2,7 – 1,54 = 0 hoặc √1,02 + x√3,1 = 0
x√2,7 – 1,54 = 0 ⇔ x = 1,54/√2,7 ≈ 0,94
√1,02 + x√3,1 = 0 ⇔ x = - √1,02/√3,1 ≈ - 0,57
Vậy phương trình có nghiệm x = 0,94 hoặc x = - 0,57.
Bài 64 trang 16 sách bài tập Toán 8 Tập 2: Giải các phương trình sau:
Lời giải:
⇔ 21(9x – 0,7) – 12(5x – 1,5) = 28(7x – 1,1) – 70(0,4 – 2x)
⇔ 189x – 14,7 – 60x + 18 = 196x – 30,8 – 28 + 140x
⇔ 189x – 60x – 196x – 140x = - 30,8 – 28 + 14,7 – 18
⇔ - 207x = - 62,1 ⇔ x = 0,3
Vậy phương trình có nghiệm x = 0,3
⇔ (3x – 1)(x + 3) – (2x + 5)(x – 1) = (x – 1)(x + 3) – 4
⇔ 3x2 + 9x – x – 3 – 2x2 + 2x – 5x + 5 = x2 + 3x – x – 3 – 4
⇔ 3x2 – 2x2 – x2 + 9x – x + 2x – 5x – 3x + x = -3 – 4 + 3 – 5
⇔ 3x = - 9 ⇔ x = - 3 (loại)
Vậy phương trình vô nghiệm.
⇔ 9(x + 5) – 90 = - 14(x – 5) ⇔ 9x + 45 – 90 = - 14x + 70
⇔ 9x + 14x = 70 – 45 + 90 ⇔ 23x = 115 ⇔ x = 5 (loại)
Vậy phương trình vô nghiệm.
⇔ 32x2 = - 8x(1 + 2x) – 3(1 + 8x)(1 – 2x)
⇔ 32x2 = - 8x – 16x2 – 3 – 18x + 48x2
⇔ 32x2 + 16x2 – 48x2 + 18x + 8x = - 3
⇔ 26x = - 3 ⇔ x = - 3/26 (thỏa mãn)
Vậy phương trình có nghiệm x = - 3/26 .
Bài 65 trang 16 sách bài tập Toán 8 Tập 2: Cho phương trình (ẩn x): 4x2 – 25 + k2 + 4kx = 0
a. Giải phương trình với k = 0
b. Giải phương trình với k = - 3
c. Tìm các giá trị của k sao cho phương trình nhận x = - 2 làm nghiệm
Lời giải:
a. Khi k = 0 ta có phương trình: 4x2 – 25 = 0
⇔ (2x + 5)(2x – 5) = 0
⇔ 2x + 5 = 0 hoặc 2x – 5 = 0
2x + 5 = 0 ⇔ x = - 5/2
2x – 5 = 0 ⇔ x = 5/2
Vậy phương trình có nghiệm x = - 5/2 hoặc x = 5/2
b. Khi k = - 3 ta có phương trình: 4x2 – 25 + (-3)2 + 4(-3)x = 0
⇔ 4x2 – 25 + 9 – 12x = 0
⇔ 4x2 – 12x – 16 = 0
⇔ x2 – 3x – 4 = 0
⇔ x2 – 4x + x – 4 = 0
⇔ x(x – 4) + (x – 4) = 0
⇔ (x + 1)(x – 4) = 0
⇔ x + 1 = 0 hoặc x – 4 = 0
x + 1 = 0 ⇔ x = -1
x – 4 = 0 ⇔ x = 4
Vậy phương trình có nghiệm x = -1 hoặc x = 4.
c. Phương trình nhận x = -2 làm nghiệm nên ta có:
4(-2)2 – 25 + k2 + 4k(-2) = 0
⇔ 16 – 25 + k2 – 8k = 0
⇔ k2 – 8k – 9 = 0
⇔ k2 – 9k + k – 9 = 0
⇔ k(k – 9) + (k – 9) = 0
⇔ (k + 1)(k – 9) = 0
⇔ k + 1 = 0 hoặc k – 9 = 0
k + 1 = 0 ⇔ k = -1
k – 9 = 0 ⇔ k = 9
Vậy k = -1 hoặc k = 9 thì phương trình nhận x = -2 làm nghiệm.
Bài 66 trang 17 sách bài tập Toán 8 Tập 2: Giải các phương trình sau:
a. (x + 2)(x2 – 3x + 5) = (x + 2)x2
c. 2x2 – x = 3 – 6x
Lời giải:
a. (x + 2)(x2 – 3x + 5) = (x + 2)x2
⇔ (x + 2)(x2 – 3x + 5) – (x + 2)x2 = 0
⇔ (x + 2)[(x2 – 3x + 5) – x2] = 0
⇔ (x + 2)(x2 – 3x + 5 – x2) = 0
⇔ (x + 2)(5 – 3x) = 0
⇔ x + 2 = 0 hoặc 5 – 3x = 0
x + 2 = 0 ⇔ x = -2
5 – 3x = 0 ⇔ x = 5/3
Vậy phương trình có nghiệm x = -2 hoặc x = 5/3
⇔ -7x2 + 4 = 5x + 5 – x2 + x – 1
⇔ -7x2 + x2 – 5x – x = 5 – 1 – 4
⇔ -6x2 – 6x = 0
⇔ -x2 – x = 0
⇔ x(x + 1) = 0
⇔ x = 0 hoặc x + 1 = 0
⇔ x = 0 hoặc x = -1 (loại)
Vậy phương trình có nghiệm x = 0.
c. 2x2 – x = 3 – 6x
⇔ 2x2 – x + 6x – 3 = 0
⇔ (2x2 + 6x) – (x + 3) = 0
⇔ 2x(x + 3) – (x + 3) = 0
⇔ (2x – 1)(x + 3) = 0
⇔ 2x – 1 = 0 hoặc x + 3 = 0
2x – 1 = 0 ⇔ x = 1/2
x + 3 = 0 ⇔ x = -3
Vậy phương trình có nghiệm x = 1/2 hoặc x = -3
⇔ (x – 2)(x – 2) – 3(x + 2) = 2x – 22
⇔ x2 – 2x – 2x + 4 – 3x – 6 = 2x – 22
⇔ x2 – 2x – 2x – 3x – 2x + 4 – 6 + 22 = 0
⇔ x2 – 9x + 20 = 0
⇔ x2 – 5x – 4x + 20 = 0
⇔ x(x – 5) – 4(x – 5) = 0
⇔ (x – 4)(x – 5) = 0
⇔ x – 4 = 0 hoặc x – 5 = 0
x – 4 = 0 ⇔ x = 4
x – 5 = 0 ⇔ x = 5
Vậy phương trình có nghiệm x = 4 hoặc x = 5.
Bài 67 trang 17 sách bài tập Toán 8 Tập 2: Số nhà của Khanh là một số tự nhiên có hai chữ số. Nếu thêm chữ số 5 vào bên trái số đó thì được một số kí hiệu là A. Nếu thêm chữ số 5 vào bên phải số đó thì được một số kí hiệu là B. Tìm số nhà của Khanh, biết rằng A - B = 153.
Lời giải:
Gọi x là, số nhà bạn Khanh. Điều kiện: x ∈N* và 9 < x < 100.
Thêm số 5 vào bên trái số nhà bạn Khanh ta được:
A = 5x−−−−−− = 500 + x
Thêm số 5 vào bên phải số nhà bạn Khanh ta được:
B = x5−−−−−− = 10x + 5
Vì hiệu của A - B = 153 nên ta có phương trình:
(500 + x) - (10x + 5) = 153 ⇔ 500 + x - 10x - 5 = 153
⇔ - 9x = 153 – 500 + 5 ⇔ - 9x = - 342 ⇔ x = 38 (thỏa mãn)
Vậy số nhà bạn Khanh là 38.
Bài 68 trang 17 sách bài tập Toán 8 Tập 2: Một đội thợ mỏ lập kế hoạch khai thác than, theo đó mỗi ngày phải khai thác được 50 tấn than. Khi thực hiện, mỗi ngày đội khai thác được 57 tấn than. Do đó, đội đã hoàn thành kế hoạch trước một ngày và còn vượt mức 13 tấn than. Hỏi theo kế hoạch, đội phải khai thác bao nhiêu tấn than?
Lời giải:
Gọi x (tấn) là khối lượng than khai thác theo kế hoạch. ĐK: x > 0.
Thời gian dự định làm là x/50 (ngày)
Khối lượng than thực tế khai thác là x + 13 (tấn)
Thời gian thực tế làm là (x + 13)/57 (ngày)
Vì thời gian hoàn thành sớm hơn kế hoạch một ngày nên ta có phương trình:
⇔ 57x – 50x – 650 = 2850
⇔ 7x = 2850 + 650
⇔ 7x = 3500
⇔ x = 500 (thỏa)
Vậy theo kế hoạch, đội phải khai thác 500 tấn than.
Bài 69 trang 17 sách bài tập Toán 8 Tập 2: Hai ô tô cùng khởi hành từ Lạng Sơn và Hà Nội, quãng đường dài 163km. Trong 43km đầu, hai xe cùng vận tốc. Nhưng sau đó chiếc xe thứ nhất tăng vận tốc lên gấp 1,2 lần vận tốc ban đầu, trong khi đó xe thứ hai vẫn duy trì vận tốc cũ. Do đó xe thứ nhất đến Hà Nội sớm hơn xe thứ hai là 40 phút. Tính vận tốc ban đầu của hai xe.
Lời giải:
Gọi x (km/h) là vận tốc ban đầu của hai xe. Điều kiện: x > 0.
Quãng dường còn lại sau khi xe thứ nhất tăng vận tốc là:
163 – 43 = 120 (km)
Vận tốc xe thứ nhất sau khi tăng tốc là 1,2x (km/h)
Thời gian xe thứ nhất đi hết quãng đường còn lại là 120/(1,2x) (giờ)
Thời gian xe thứ hai đi Hết quãng đường còn lại là 120/x (giờ)
Vì xe thứ nhất đến sớm hơn xe thú hai 40 phút = 2/3 giờ nên ta có phương trình:
120/x - 120/(1,2x) = 2/3
⇔ 120/x - 100/x = 2/3
⇔ 360/3x - 300/3x = 2x/3x
⇔ 360 – 300 = 2x
⇔ 2x = 60 ⇔ x = 30 (thỏa)
Vậy vận tốc ban đầu của hai xe là 30km/h.
Bài 70 trang 17 sách bài tập Toán 8 Tập 2: Một đoàn tàu hỏa từ Hà Nội đi thành phố Hồ Chí Minh. 1 giờ 48 phút sau, một tàu hỏa khác khởi hành từ Nam Định đi thành phố Hồ Chí Minh với vận tốc nhỏ hơn vận tốc của đoàn tàu thứ nhất là 5km/h. Hai đoàn tàu gặp nhau (ở ga nào đó) sau 4 giờ 48 phút kể từ khi đoàn tàu thứ nhất khởi hành. Tính vận tốc của mỗi tàu biết rằng ga Nam Định nằm trên đường từ Hà Nội đi thành phố Hồ Chí Minh và cách Hà Nội 87km
Lời giải:
Gọi x (km/h) là vận tốc của đoàn tàu thứ hai. Điều kiện: x > 0.
Vận tốc của đoàn tàu thứ nhất là x + 5 (km/h)
Khi gặp nhau thì đoàn tàu thứ nhất đi được 4 giờ 48 phút.
Vì đoàn tàu thứ hai đi sau 1 giờ 48 phút nên đoàn tàu thứ nhất đi được 3 giờ
Thời gian đoàn tàu thứ nhất đi được khi hai tàu gặp nhau là:
4 giờ 48 phút = 24/5 giờ
Quãng đường đoàn tàu thứ hai đi được từ lúc khởi hành đến lúc hai đoàn tàu gặp nhau là 3x (km)
Quãng đường đoàn tàu thứ nhất đi được từ lúc khởi hành đến lúc hai đoàn tàu gặp nhau là 24/5 (x + 5) (km)
Theo để bài ta có phương trình:
Vận tốc của đoàn tàu thứ hai là 35km/h, vận tốc của đoàn tàu thứ nhất là 35 + 5 = 40 (km/h).
Bài 71 trang 17 sách bài tập Toán 8 Tập 2: Lúc 7h sáng, một ca nô xuôi dòng từ bến A đến bến B, cách nhau 36km rồi ngay lập tức quay trở về bến A lúc 11 giờ 30 phút. Tính vận tốc của ca nô khi xuôi dòng biết rằng vận tốc của nước chảy là 6km/h.
Lời giải:
Gọi x (km/h) là vận tốc thực của ca nô. Điều kiện: x > 6
Vận tốc của ca nô khi xuôi dòng là x + 6 (km/h)
Vận tốc của ca nô khi ngược dòng là x – 6 (km/h)
Thời gian lúc ca nô đi xuôi dòng là 36/(x + 6) (giờ)
Thời gian lúc ca nô đi ngược dòng là 36/(x - 6) (giờ)
Thời gian ca nô đi và về:
11 giờ 30 phút – 7 giờ = 4 giờ 30 phút = 9/2 giờ
Theo đề bài, ta có phương trình:
⇔ 72(x – 6) + 72(x + 6) = 9(x + 6)(x – 6)
⇔ 72x – 432 + 72x + 432 = 9x2 – 324
⇔ 9x2 – 144x – 324 = 0
⇔ x2 – 16x – 36 = 0
⇔ x2 + 2x – 18x – 36 = 0
⇔ x(x + 2) – 18(x + 2) = 0
⇔ (x + 2)(x – 18) = 0
⇔ x + 2 = 0 hoặc x – 18 = 0
x + 2 = 0 ⇔ x = -2 (loại)
x – 18 = 0 ⇔ x = 18 (thỏa)
Vậy vận tốc thực của ca nô là 18km/h, suy ra vận tốc của ca nô lúc xuôi dòng là 18 + 6 = 24 (km/h).
Bài III.1 trang 18 sách bài tập Toán 8 Tập 2: Giải các phương trình sau
Lời giải:
a. ĐKXĐ: x ≠−7/2/và x ≠ ±3. Mẫu chung là: (2x + 7) (x + 3) (x − 3)
Khử mẫu ta được:
13(x + 3) + (x + 3)(x−3) = 6(2x + 7)
⇔x2 + x − 12 = 0
⇔x2 + 4x − 3x − 12 = 0
⇔x(x + 4) − 3(x + 4) = 0
⇔(x + 4)(x − 3) = 0
⇔x = −4 hoặc x = 3
Trong hai giá trị tìm được, chỉ có x = -4 là thỏa mãn ĐKXĐ. Vậy phương trình có một nghiệm duy nhất x = -4.
Do đó phương trình đã cho có dạng y3 + 6y2 = −12y − 8
Giải phương trình này:
y3 + 6y2 = −12y − 8
⇔y3 + 3y2.2 + 3y.22 + 23 = 0
⇔(y + 2)3 = 0
⇔y =−2
Vậy phương trình đã cho tương đương với phương trình
ĐKXĐ của phương trình là x ≠ -1. Giải phương trình này bằng cách khử mẫu, ta được:
2x − 1 = 3(x + 1)
⇔x = −4
Giá trị x = -4 thỏa mãn ĐKXĐ nên là nghiệm của phương trình đã cho.
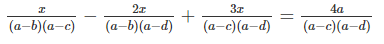
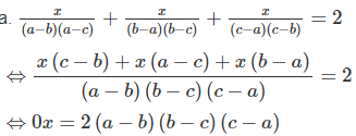
Bài III.2 trang 18 sách bài tập Toán 8 Tập 2: a. Cho ba số a, b và c đôi một phân biệt. Giải phương trình
b. Cho số a và ba số b, c, d khác a và thỏa mãn điều kiện c + d = 2b. Giải phương trình
Lời giải:
Do a, b, c đôi một khác nhau nên 2(a - b)(b - c)(c - a) ≠ 0. Vậy phương trình đã cho vô nghiệm.
⇔ x(a − d) − 2x(a − c) + 3x(a − b) = 4a(a − b)
⇔ x(a − d − 2a + 2c + 3a − 3b) = 4a(a − b)
⇔ x(2a − 3b + 2c − d) = 4a(a − b)
Theo giả thiết, b + d = 2c nên 2a – 3b + 2c – d = 2a – 2b = 2 (a – b ).
Do đó phương trình đã cho tương đương với phương trình 2(a − b)x = 4a(a − b)
Để ý rằng a – b ≠ 0, ta thấy ngay phương trình cuối có nghiệm duy nhất x = 2a.
Vậy phương trình đã cho cũng có nghiệm duy nhất x = 2a.
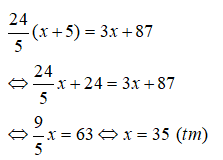
Bài III.3 trang 18 sách bài tập Toán 8 Tập 2: Cần phải thêm vào tử và mẫu của phân số 13/18 với cùng một số tự nhiên nào để được phân số 4/5?
Lời giải:
Gọi x là số tự nhiên cần thêm vào cả tử và mẫu của phân số 13/18 để được phân số 4/5, x > 0
Ta có phương trình
Vậy số tự nhiên cần tìm là 7.
Bài 4 trang 18 sách bài tập Toán 8 Tập 2: Cách đây 10 năm, tuổi của người thứ nhất gấp 3 lần tuổi của người thứ hai. Sau đây 2 năm, tuổi của người thứ hai bằng nửa tuổi của người thứ nhất. Hỏi hiện nay, tuổi của mỗi người là bao nhiêu ?
Lời giải:
Gọi tuổi hiện nay của người thứ hai là x (x nguyên dương). Ta có thể lập bảng:
Từ đó ta có phương trình 3(x − 10) + 10 = 2(x + 2) − 2
⇔ 3x - 30 + 10 = 2x + 4 - 2
⇔ x = 22(tm)
Vậy tuổi hiện nay của người thứ hai là 22 và của người thứ nhất là: 2(x + 2) − 2 = 46
Xem thêm các bài giải sách bài tập Toán lớp 8 chọn lọc, chi tiết khác:
- Bài 1: Liên hệ giữa thứ tự và phép cộng
- Bài 2: Liên hệ giữa thứ tự và phép nhân
- Bài 3: Bất phương trình một ẩn
- Bài 4: Bất phương trình bạc nhất một ẩn
Xem thêm các loạt bài Để học tốt Toán lớp 8 hay khác:
Tủ sách VIETJACK shopee lớp 6-8 (2025):
Đã có app VietJack trên điện thoại, giải bài tập SGK, SBT Soạn văn, Văn mẫu, Thi online, Bài giảng....miễn phí. Tải ngay ứng dụng trên Android và iOS.
Theo dõi chúng tôi miễn phí trên mạng xã hội facebook và youtube:Loạt bài Giải sách bài tập Toán 8 hay, chi tiết của chúng tôi được biên soạn bám sát nội dung Sách bài tập Toán 8 Tập 1 & Tập 2.
Nếu thấy hay, hãy động viên và chia sẻ nhé! Các bình luận không phù hợp với nội quy bình luận trang web sẽ bị cấm bình luận vĩnh viễn.
- Giải Tiếng Anh 8 Global Success
- Giải sgk Tiếng Anh 8 Smart World
- Giải sgk Tiếng Anh 8 Friends plus
- Lớp 8 - Kết nối tri thức
- Soạn văn 8 (hay nhất) - KNTT
- Soạn văn 8 (ngắn nhất) KNTT
- Giải sgk Toán 8 - KNTT
- Giải sgk Khoa học tự nhiên 8 - KNTT
- Giải sgk Lịch Sử 8 - KNTT
- Giải sgk Địa Lí 8 - KNTT
- Giải sgk Giáo dục công dân 8 - KNTT
- Giải sgk Tin học 8 - KNTT
- Giải sgk Công nghệ 8 - KNTT
- Giải sgk Hoạt động trải nghiệm 8 - KNTT
- Giải sgk Âm nhạc 8 - KNTT
- Lớp 8 - Chân trời sáng tạo
- Soạn văn 8 (hay nhất) - CTST
- Soạn văn 8 (ngắn nhất) - CTST
- Giải sgk Toán 8 - CTST
- Giải sgk Khoa học tự nhiên 8 - CTST
- Giải sgk Lịch Sử 8 - CTST
- Giải sgk Địa Lí 8 - CTST
- Giải sgk Giáo dục công dân 8 - CTST
- Giải sgk Tin học 8 - CTST
- Giải sgk Công nghệ 8 - CTST
- Giải sgk Hoạt động trải nghiệm 8 - CTST
- Giải sgk Âm nhạc 8 - CTST
- Lớp 8 - Cánh diều
- Soạn văn 8 Cánh diều (hay nhất)
- Soạn văn 8 Cánh diều (ngắn nhất)
- Giải sgk Toán 8 - Cánh diều
- Giải sgk Khoa học tự nhiên 8 - Cánh diều
- Giải sgk Lịch Sử 8 - Cánh diều
- Giải sgk Địa Lí 8 - Cánh diều
- Giải sgk Giáo dục công dân 8 - Cánh diều
- Giải sgk Tin học 8 - Cánh diều
- Giải sgk Công nghệ 8 - Cánh diều
- Giải sgk Hoạt động trải nghiệm 8 - Cánh diều
- Giải sgk Âm nhạc 8 - Cánh diều


Giải bài tập SGK & SBT
Tài liệu giáo viên
Sách
Khóa học
Thi online
Hỏi đáp

