Sách bài tập Toán 8 Bài 9: Biến đổi các biểu thức hữu tỉ. Giá trị của phân thức
Sách bài tập Toán 8 Bài 9: Biến đổi các biểu thức hữu tỉ. Giá trị của phân thức
Bài 44 trang 36 SBT Toán 8 Tập 1: Biến đổi các biểu thức sau thành phân thức:
Lời giải:
a.
b.
c.
d.
Bài 45 trang 36 SBT Toán 8 Tập 1: Thực hiện các phép tính sau:
Lời giải:
a.
b.
c.
d.
Bài 46 trang 36 SBT Toán 8 Tập 1: Tìm điều kiện của biến để giá trị của phân thức xác định:
Lời giải:
a. Phân thức: xác định với mọi x ∈ R
b. Phân thức:xác định khi x + 2004 ≠ 0 ⇒ x ≠ - 2004
c. Phân thức: xác định khi 3x – 7 ≠ 0 ⇒ x ≠ 7/3
d. Phân thức: xác định khi x + z ≠ 0 ⇒ x ≠ - z
Bài 47 trang 36 SBT Toán 8 Tập 1: Phân tích mẫu thức của các phân thức sau thành nhân tử rồi tìm điều kiện của x để giá trị của phân thức xác định:
Lời giải:
a. xác định khi:
x(2 – 3x) ≠ 0 ⇔
Vậy phân thức xác định với x ≠ 0 và x ≠ 2/3
b. xác định khi (2x + 1)3 ≠ 0
Suy ra: 2x + 1 ≠ 0 ⇒ x ≠ - 1/2
c. xác định khi:
(4 – 3x)2 ≠ 0 ⇒ 4 – 3x ≠ 0 ⇒ x ≠ 4/3
d. xác định khi:
(x – 2y)(x + 2y) ≠ 0 ⇔ ⇒ x ≠ ± 2y
Bài 48 trang 37 SBT Toán 8 Tập 1: Có bạn nói rằng các phân thức có cùng điều kiện biến x. Điều đó đúng hay sai? Vì sao?
Lời giải:
Ta có: xác định khi 2x – 2 ≠ 0 ⇒ 2x ≠ 2 ⇒ x ≠ 1
xác định khi (x – 1)2 ≠ 0 ⇒ x – 1 ≠ 0 ⇒ x ≠ 1
xác định khi (x – 1)(x2 + 1) ≠ 0 hay x – 1 ≠ 0
( vì với mọi x thì x2 ≥ 0 nên x2 + 1 > 0)
Do đó, phân thức xác định với x ≠ 1.
Vậy các phân thức có cùng điều kiện biến x là đúng.
Bài 49 trang 37 SBT Toán 8 Tập 1: a. Tìm một phân thức (một biến) mà giá trị của nó xác định với mọi giá trị của biến khác các số nguyên lẻ lớn hơn 5 và nhỏ hơn 10.
b. Tìm một phân thức (một biến) mà giá trị của nó xác định với mọi giá trị của biến khác ± √2
Lời giải:
a
+) Tập hợp các số nguyên lẻ lớn hơn 5 và nhỏ hơn 10 là: { 7; 9}.
+) Do đó, phân thức cần tìm xác định với x ≠ 7; x ≠ 9 . Suy ra: x – 7 ≠ 0 và x – 9 ≠ 0
Ta chọn phân thức là
b. Phân thức một biến màgiá trị của nó được xác định với mọi giá trị của biến khác ± √2 => x ≠ √2 và x ≠ - √2
Suy ra: x - √2 ≠ 0 và x + √2 ≠ 0 ta chọn phân thức:
(với a là một hằng số)
Bài 50 trang 37 SBT Toán 8 Tập 1: Đố em tìm được một cặp phân thức của biến x mà khi giá trị của phân thức này bằng 0 thì giá trị của phân thức kia không xác định và ngược lại khi giá trị phân thức kia bằng 0 thì giá trị phân này không xác định. Em tìm được bao nhiêu cặp như thế?
Lời giải:
Ta chỉ cần tìm hai phân thức là nghịch đảo của nhau.
Ví dụ:
. Có vô số cặp phân thức như vậy.
Có vô số cặp phân thức như vậy.
Bài 51 trang 37 SBT Toán 8 Tập 1: Tìm giá trị của các biểu thức:
Lời giải:
a. 9x2 – 6x + 1 ≠ 0 ⇒ (3x – 1)2 ≠ 0 ⇒ x ≠ 1/3 ta có x = - 8 ≠ 1/3
Thay x = - 8 vào biểu thức, ta có:
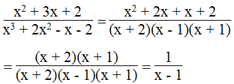
b. Ta có: x3 + 2x2 – x – 2 = x2(x + 2) – (x + 2) = (x2 -1). (x+ 2) = (x +1).(x-1)(x+ 2)
Do đó, để x3 + 2x2 – x - 2 ≠ 0 khi (x + 2)(x – 1)(x + 1) ≠ 0 ⇒ x ≠ - 2 và x ≠ ± 1
Ta có: x = 1000001 thỏa mãn điều kiện.
Thay x = 1000001 vào biểu thức ta được:
Bài 52 trang 37 SBT Toán 8 Tập 1: Tìm điều kiện của các biến trong mỗi phân thức sau đây. Chứng minh rằng khi giá trị của phân thức xác định thì giá trị đó không phụ thuộc vào các biến x và y (nghĩa là chứng tỏ rằng có thể biến đổi phân thức đã cho thành một biểu thức không chứa x và y)
a.
b. (a là hằng số khác - 3/2 )
Lời giải:
a. xác định khi:
(x + y)(6x – 6y) ≠ 0 ⇒
Điều kiện x ≠ ± y
Vậy biểu thức không phụ thuộc vào x, y.
b. xác định khi 4ax + 6x + 9y + 6ay ≠ 0
⇒ 2x(2a + 3) + 3y(2a + 3) = (2a + 3)(2x + 3y) ≠ 0
Ta có: 2a + 3 ≠ 0 ⇒ a ≠ - 3/2 ; 2x + 3y ≠ 0 ⇒ x ≠ - 3/2 y
Điều kiện: x ≠ - 3/2 y và a ≠ - 3/2
Vậy biểu thức không phụ thuộc vào x, y.
Bài 53 trang 37 SBT Toán 8 Tập 1: Đố em tìm được giá trị của x để giá trị của phân thứcbằng:
a. – 2 b. 2 c. 0
Lời giải:
Điều kiện: x3 – 2x2 = x2(x – 2) ≠ 0 ⇒ x ≠ 0 và x ≠ 2
Ta có:
a. Nếu phân thức đã cho bằng -2 thì biểu thức x - 2 cũng có giá trị bằng -2. Suy ra: x - 2 = -2 ⇒ x = 0 không thỏa mãn điều kiện.
Vậy không có giá trị nào của x để phân thức bằng -2
b. Nếu phân thức đã cho bằng 2 thì biểu thức x - 2 cũng có giá trị bằng 2. Suy ra: x- 2 = 2 ⇒ x = 4. Với x = 4 thỏa mãn điều kiện.
Vậy khi x = 4 thì phân thức có giá trị bằng 2.
c. Nếu phân thức có giá trị bằng 0 thì biểu thức x - 2 cũng có giá trị bằng 0. Suy ra: x - 2 = 0 ⇒ x = 2 mà x = 2 không thỏa mãn điều kiện.
Vậy không có giá trị nào của x để phân thức có giá trị bằng 0.
Bài 54 trang 37 SBT Toán 8 Tập 1: Cho biểu thức
a. Tìm điểu kiện của biến x để giá trị của biểu thức được xác định.
b. Tìm giá trị của x để giá trị của biểu thức bằng 1.
c. Tìm giá trị của x để giá trị của biểu thức bằng - 1/2
d. Tìm giá trị của x để giá trị của biểu thức bằng -3
Lời giải:
a. Biểu thức xác định khi 2x + 10 ≠ 0, x ≠ 0 và 2x(x + 5) ≠ 0
Điều kiện x ≠ 0 và x ≠ - 5
b. Nếu giá trị phân thức bằng 1 thì giá trị của biểu thức (x - 1) / 2 cũng bằng 1.
Suy ra: (x - 1) / 2 = 1 ⇒ x – 1 = 2 ⇒ x = 3 mà x = 3 thỏa mãn điều kiện.
Vậy x = 3 thì giá trị của phân thức bằng 1.
c. Nếu giá trị phân thức bằng - 1/2 thì giá trị của biểu thức (x - 1) / 2 cũng bằng - 1/2.
Suy ra: (x - 1) / 2 = - 1/2 ⇒ x – 1 = - 1 ⇒ x = 0 mà x = 0 không thỏa mãn điều kiện.
Vậy không có giá trị nào của x để phân thức bằng - 1/2 .
d. Nếu giá trị phân thức bằng – 3 thì giá trị của biểu thức (x - 1) / 2 cũng bằng - 3.
Suy ra: (x - 1) / 2 = -3 ⇒ x – 1 = -6 ⇒ x = -5 mà x = -5 không thỏa mãn điều kiện.
Vậy không có giá trị nào của x để phân thức bằng -3.
Bài 55 trang 38 SBT Toán 8 Tập 1: Tìm x, biết:
Lời giải:
Biểu thức bằng 0 khi tử bằng 0 và mẫu khác 0
Ta có: 2x + 4 = 0 => x = - 2 (thỏa mãn điều kiện)
Vậy với x = - 2 thì giá trị của biểu thức bằng 0.
Biểu thức bằng 0 khi tử bằng 0 và mẫu khác 0
Ta có: x + 3 = 0 => x = -3 (không thỏa mãn điều kiện)
Vậy không có giá trị nào của x để biểu thức bằng 0.
Bài 56 trang 38 SBT Toán 8 Tập 1: Với giá trị nào của x thì giá trị của mỗi biểu thức sau bằng 0:
Lời giải:
a. Biểu thức xác định khi: x2 – 4 = (x+ 2).(x- 2) ≠ 0 và (x + 2)2 ≠ 0 hay x ≠ ± 2 .
Ta có:
Biểu thức bằng 0 khi (x – 1)(x + 6) = 0 và (x – 2)(x + 2)2 ≠ 0
+) Ta có: (x - 1).(x + 6) = 0 khi x - 1= 0 hay x + 6 = 0
x - 1 = 0 khi x = 1 ( thỏa mãn điều kiện)
x + 6 = 0 khi x = -6 ( thỏa mãn điều kiện)
Vậy với x = 1 hoặc x = - 6 thì giá trị biểu thức bằng 0.
b.
Biểu thức bằng 0 khi x3 = 0 và x2 + x + 1 ≠ 0
Ta có: x3 = 0 ⇒ x = 0;
x2 + x + 1 = x2 + 2.x.1/2 + 1/4 + 3/4 = (x+ 1/2 )2 + 3/4 ≠ 0 mọi x.
Vậy với x = 0 thì giá trị của biểu thức bằng 0.
Bài 57 trang 38 SBT Toán 8 Tập 1: Tìm giá trị nguyên của biến x để tại đó giá trị của mỗi biểu thức sau là một số nguyên:
Lời giải:
a. Vì 2 / (x - 3) là một số nguyên nên 2 ⋮ (x – 3) và x ≠ 3
Suy ra: x – 3 ∈ Ư(2) = {- 2; - 1; 1; 2}
Ta có:x – 3 = - 2 ⇒ x = 1; x – 3 = - 1 ⇒ x = 2
x – 3 = 1 ⇒ x = 4; x – 3 = 2 ⇒ x = 5
Vậy với x ∈ {1; 2; 4; 5} thì 2 / (x - 3) là một số nguyên.
b. Vì 3 / (x + 2) là một số nguyên nên 3 ⋮ (x + 2) và x ≠ - 2
Suy ra: x + 2 ∈ Ư(3) = {- 3; - 1; 1; 3}
Ta có: x + 2 = - 3 ⇒ x = - 5; x + 2= - 1 ⇒ x = - 3
x + 2 = 1 ⇒ x = -1; x + 2 = 3 ⇒ x = 1
Vậy với x ∈ {-5; -3; -1; 1} thì 3 / (x + 2) là một số nguyên.
c. Ta có:
Với x là số nguyên ta có: 3x2 + 8x + 33 là số nguyên.
Để biểu thức đã cho là số nguyên thì 131 ⋮ (x – 4) và x ≠ 4
Suy ra: x – 4 ∈ Ư(131) = {-131; -1; 1; 131}
Ta có: x – 4 = -131 ⇒ x = -127; x – 4 = -1 ⇒ x = 3
x – 4 = 1 ⇒ x = 5; x – 4 = 131 ⇒ x = 135
Vậy với x ∈ {-127; 3; 5; 135} thì là số nguyên.
d. Ta có:
Vì x là số nguyên nên x – 1 là số nguyên.
Để biểu thức đã cho là số nguyên thì 3 ⋮ (3x + 2) và x ≠ -2/3
Suy ra: 3x + 2 ∈ Ư(3) = {-3; -1; 1; 3}
Ta có: 3x + 2 = -3 ⇒ x = -5/3 ∉ Z (loại)
3x + 2 = -1 ⇒ x = - 1
3x + 2 = 1 ⇒ x = -1/3 ∉ Z (loại)
3x + 2 = 3 ⇒ x = 1/3 ∉ Z (loại)
x = -1 khác -3/2
Vậy với x = - 1 thìcó giá trị nguyên.
Bài 9.1 trang 39 SBT Toán 8 Tập 1: Biết rằng
Hãy tính giá trị của biểu thức Q. Câu trả lời nào sau đây là sai ?
A. Giá trị của Q tại x = 4 là (4 - 3)/(4 + 3) = 1/7
B. Giá trị của Q tại x = 1 là (1 - 3)/(1 + 3) = (-1)/2
C. Giá trị của Q tại x = 3 là (3 - 3)/(3 + 3) = 0
D. Giá trị của Q tại x = 3 không xác định.
Lời giải:
Chọn đáp án C
Giá trị của biểu thức
Giá trị của Q tại x = 3 là (3-3)/(3+3) = 0 sai vì x = 3 phân thức đã cho không xác định.
Bài 9.2 trang 39 SBT Toán 8 Tập 1: Với mỗi biểu thức sau, hãy tìm giá trị của x để giá trị tương ứng của biểu thức bằng 1:
Lời giải:
Giá trị biểu thức bằng 0 khi
⇒ x = 0 hoặc (x + 1) = 0 hoặc x – 1 = 0
x + 1 = 0 hay x = - 1
x – 1 = 0 hay x = 1
x = 0 không thỏa mãn điều kiện nên loại
Vậy x = 1 hoặc x = -1
Giá trị biểu thức bằng 0
Khi x3 + x2 – x – 1 = 0 ⇒ x2(x + 1) − (x + 1) = 0
⇒ (x + 1) (x2 − 1) = 0
⇒ x + 1 = 0 hoặc x – 1 = 0
x + 1 = 0 ⇒ x = −1
x - 1 = 0 ⇒ x = 1
x = 1 và x = -1 không thỏa mãn điều kiện
Vậy không có giá trị nào của x để giá trị tương ứng của biểu thức bằng 1.
Xem thêm các bài giải sách bài tập Toán lớp 8 chọn lọc, chi tiết khác:
Xem thêm các loạt bài Để học tốt Toán lớp 8 hay khác:
Tủ sách VIETJACK shopee lớp 6-8 (2025):
Đã có app VietJack trên điện thoại, giải bài tập SGK, SBT Soạn văn, Văn mẫu, Thi online, Bài giảng....miễn phí. Tải ngay ứng dụng trên Android và iOS.
Theo dõi chúng tôi miễn phí trên mạng xã hội facebook và youtube:Loạt bài Giải sách bài tập Toán 8 hay, chi tiết của chúng tôi được biên soạn bám sát nội dung Sách bài tập Toán 8 Tập 1 & Tập 2.
Nếu thấy hay, hãy động viên và chia sẻ nhé! Các bình luận không phù hợp với nội quy bình luận trang web sẽ bị cấm bình luận vĩnh viễn.
- Giải Tiếng Anh 8 Global Success
- Giải sgk Tiếng Anh 8 Smart World
- Giải sgk Tiếng Anh 8 Friends plus
- Lớp 8 - Kết nối tri thức
- Soạn văn 8 (hay nhất) - KNTT
- Soạn văn 8 (ngắn nhất) KNTT
- Giải sgk Toán 8 - KNTT
- Giải sgk Khoa học tự nhiên 8 - KNTT
- Giải sgk Lịch Sử 8 - KNTT
- Giải sgk Địa Lí 8 - KNTT
- Giải sgk Giáo dục công dân 8 - KNTT
- Giải sgk Tin học 8 - KNTT
- Giải sgk Công nghệ 8 - KNTT
- Giải sgk Hoạt động trải nghiệm 8 - KNTT
- Giải sgk Âm nhạc 8 - KNTT
- Lớp 8 - Chân trời sáng tạo
- Soạn văn 8 (hay nhất) - CTST
- Soạn văn 8 (ngắn nhất) - CTST
- Giải sgk Toán 8 - CTST
- Giải sgk Khoa học tự nhiên 8 - CTST
- Giải sgk Lịch Sử 8 - CTST
- Giải sgk Địa Lí 8 - CTST
- Giải sgk Giáo dục công dân 8 - CTST
- Giải sgk Tin học 8 - CTST
- Giải sgk Công nghệ 8 - CTST
- Giải sgk Hoạt động trải nghiệm 8 - CTST
- Giải sgk Âm nhạc 8 - CTST
- Lớp 8 - Cánh diều
- Soạn văn 8 Cánh diều (hay nhất)
- Soạn văn 8 Cánh diều (ngắn nhất)
- Giải sgk Toán 8 - Cánh diều
- Giải sgk Khoa học tự nhiên 8 - Cánh diều
- Giải sgk Lịch Sử 8 - Cánh diều
- Giải sgk Địa Lí 8 - Cánh diều
- Giải sgk Giáo dục công dân 8 - Cánh diều
- Giải sgk Tin học 8 - Cánh diều
- Giải sgk Công nghệ 8 - Cánh diều
- Giải sgk Hoạt động trải nghiệm 8 - Cánh diều
- Giải sgk Âm nhạc 8 - Cánh diều


Giải bài tập SGK & SBT
Tài liệu giáo viên
Sách
Khóa học
Thi online
Hỏi đáp

