Sách bài tập Toán 8 Bài 8: Phép chia các phân thức đại số
Sách bài tập Toán 8 Bài 8: Phép chia các phân thức đại số
Bài 36 trang 34 SBT Toán 8 Tập 1: Hãy làm các phép chia sau:
Lời giải:
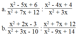
Bài 37 trang 34 SBT Toán 8 Tập 1: Thực hiện phép tính:
Lời giải:
a.
Bài 38 trang 34 SBT Toán 8 Tập 1: Rút gọn biểu thức:
Lời giải:
Bài 39 trang 34 SBT Toán 8 Tập 1: Thực hiện phép chia phân thức:
Lời giải:
a.
b.
Bài 40 trang 34 SBT Toán 8 Tập 1: Tìm Q, biết:
a.
b.
Lời giải:
a.
Ta có
b.
Ta có
Bài 41 trang 34 SBT Toán 8 Tập 1: Rút gọn các biểu thức ( chú ý đến các thứ tự các phép tính):
Lời giải:
a.
b.
c.
d.
e.
f.
Bài 42 trang 35 SBT Toán 8 Tập 1: Hà Nội cách TP. Hồ Chí Minh x km. Quãng đường từ Hà Nội đến Huế ngắn hơn quãng đường từ Huế đến TP. Hồ Chí Minh là 411km. Một con tàu xuất phát từ TP. Hồ Chí Minh đi Hà Nội. Sau đó 8 giờ con tàu thứ hai xuất phát từ Hà Nội đi TP. Hồ Chí Minh, chúng gặp nhau tại Huế rồi tiếp tục đi. Con tàu thứ hai phải đi 20 giờ nữa mới đến TP. Hồ Chí Minh. Hãy biểu diễn:
a. Chiều dài quãng đường Hà Nội - Huế, Huế - TP. Hồ Chí Minh.
b. Vận tốc của con tàu thứ hai.
c. Thời gian của con tàu thứ hai từ Hà Nội vào Huế.
d. Thời gian của con tàu thứ nhất từ TP. Hồ Chí Minh ra Huế.
e. Vận tốc con tàu thứ nhất.
f. Thời gian đi của con tàu thứ nhất từ Huế ra Hà Nội.
Lời giải:
a. Quãng đường Hà Nội đến Huế là (km)
Quãng đường từ Huế đến TP.Hồ Chí Minh là (km)
b. Vận tốc tàu thứ hai là: (km/h)
c. Thời gian tàu thứ hai từ Hà Nội đến Huế là:
d) Thời gian đi của con tàu thứ nhất từ thành phố Hồ Chí Minh ra Huế bằng tổng thời gian con tàu thứ hai đi từ Hà Nội ra Huế và 8h:
e. Vận tốc tàu thứ nhất là:
f. Thời gian tàu thứ nhất đi từ Huế ra Hà Nội là:
Bài 43 trang 35 SBT Toán 8 Tập 1: Đố em điền được một phân thức vào chỗ trống của đẳng thức:
Lời giải:
Ta có:
Để
thì
Vậy phân thức cần điền là
Bài 8.1 trang 35 SBT Toán 8 Tập 1: Hãy thực hiện các phép tính sau :
So sánh kết quả của a với kết quả của b; kết quả của c với kết quả của d
Phép chia có tính chất giao hoán và tính chất kết hợp hay không ?
Lời giải:
Kết quả câu b là nghịch đảo kết quả câu a.
Kết quả câu c và d khác nhau. Phép chia không có tính chất giao hoán, tính chất kết hợp.
Bài 8.2 trang 35 SBT Toán 8 Tập 1: Tìm phân thức P biết :
Lời giải:
a.
b.
Xem thêm các bài giải sách bài tập Toán lớp 8 chọn lọc, chi tiết khác:
- Bài 9: Biến đổi các biểu thức hữu tỉ. Giá trị của phân thức
- Ôn tập chương 2 - Phần Đại số
- Bài 1: Tứ giác
- Bài 2: Hình thang
Xem thêm các loạt bài Để học tốt Toán lớp 8 hay khác:
Tủ sách VIETJACK shopee lớp 6-8 (2025):
Đã có app VietJack trên điện thoại, giải bài tập SGK, SBT Soạn văn, Văn mẫu, Thi online, Bài giảng....miễn phí. Tải ngay ứng dụng trên Android và iOS.
Theo dõi chúng tôi miễn phí trên mạng xã hội facebook và youtube:Loạt bài Giải sách bài tập Toán 8 hay, chi tiết của chúng tôi được biên soạn bám sát nội dung Sách bài tập Toán 8 Tập 1 & Tập 2.
Nếu thấy hay, hãy động viên và chia sẻ nhé! Các bình luận không phù hợp với nội quy bình luận trang web sẽ bị cấm bình luận vĩnh viễn.
- Giải Tiếng Anh 8 Global Success
- Giải sgk Tiếng Anh 8 Smart World
- Giải sgk Tiếng Anh 8 Friends plus
- Lớp 8 - Kết nối tri thức
- Soạn văn 8 (hay nhất) - KNTT
- Soạn văn 8 (ngắn nhất) KNTT
- Giải sgk Toán 8 - KNTT
- Giải sgk Khoa học tự nhiên 8 - KNTT
- Giải sgk Lịch Sử 8 - KNTT
- Giải sgk Địa Lí 8 - KNTT
- Giải sgk Giáo dục công dân 8 - KNTT
- Giải sgk Tin học 8 - KNTT
- Giải sgk Công nghệ 8 - KNTT
- Giải sgk Hoạt động trải nghiệm 8 - KNTT
- Giải sgk Âm nhạc 8 - KNTT
- Lớp 8 - Chân trời sáng tạo
- Soạn văn 8 (hay nhất) - CTST
- Soạn văn 8 (ngắn nhất) - CTST
- Giải sgk Toán 8 - CTST
- Giải sgk Khoa học tự nhiên 8 - CTST
- Giải sgk Lịch Sử 8 - CTST
- Giải sgk Địa Lí 8 - CTST
- Giải sgk Giáo dục công dân 8 - CTST
- Giải sgk Tin học 8 - CTST
- Giải sgk Công nghệ 8 - CTST
- Giải sgk Hoạt động trải nghiệm 8 - CTST
- Giải sgk Âm nhạc 8 - CTST
- Lớp 8 - Cánh diều
- Soạn văn 8 Cánh diều (hay nhất)
- Soạn văn 8 Cánh diều (ngắn nhất)
- Giải sgk Toán 8 - Cánh diều
- Giải sgk Khoa học tự nhiên 8 - Cánh diều
- Giải sgk Lịch Sử 8 - Cánh diều
- Giải sgk Địa Lí 8 - Cánh diều
- Giải sgk Giáo dục công dân 8 - Cánh diều
- Giải sgk Tin học 8 - Cánh diều
- Giải sgk Công nghệ 8 - Cánh diều
- Giải sgk Hoạt động trải nghiệm 8 - Cánh diều
- Giải sgk Âm nhạc 8 - Cánh diều


Giải bài tập SGK & SBT
Tài liệu giáo viên
Sách
Khóa học
Thi online
Hỏi đáp

