Sách bài tập Toán 8 Bài 7: Phép nhân các phân thức đại số
Sách bài tập Toán 8 Bài 7: Phép nhân các phân thức đại số
Bài 29 trang 32 SBT Toán 8 Tập 1: Làm tính nhân phân thức:
Lời giải:
a.
b.
c.
d.
Bài 30 trang 32 SBT Toán 8 Tập 1: Rút gọn các biểu thức (chú ý dùng quy tắc đổi dấu để thay nhân tử chung)
Lời giải:
a.
b.
c.
Bài 31 trang 32 SBT Toán 8 Tập 1: Phân tích các mẫu thức và các mẫu thức (nếu cần thì dùng phương pháp thêm và bớt cùng một số hạng hoặc tách một số hạng thành hai số hạng) rồi rút gọn biểu thức.
Lời giải:
a.
b.
c.
Bài 32 trang 33 SBT Toán 8 Tập 1: Áp dụng tính chất phân phối của phép nhân đối với phép cộng để rút gọn biểu thức:
Lời giải:
a
b
Bài 33 trang 33 SBT Toán 8 Tập 1: Tính tích x.y, biết rằng x và y thỏa mãn các đẳng thức sau (a, b là các hằng số):
a. (4a2 – 9)x = 4a + 4; với a ≠ ± 3/2 và (3a3 + 3)y = 6a2 + 9a với a ≠ - 1
b. (2a3 – 2b3)x – 3b = 3a; với a ≠ b và (6a + 6b)y = (a – b)2 với a ≠ - b
Lời giải:
a. Vì a ≠ ± 3/2 nên 4a2 – 9 ≠ 0
Vì a ≠ - 1 nên 3a3 + 3 ≠ 0
Do đó:
b. Vì a ≠ b nên 2a3 – 2b3 ≠ 0. Suy ra:
Vì a ≠ - b nên a + b ≠ 0. Suy ra:
Vậy
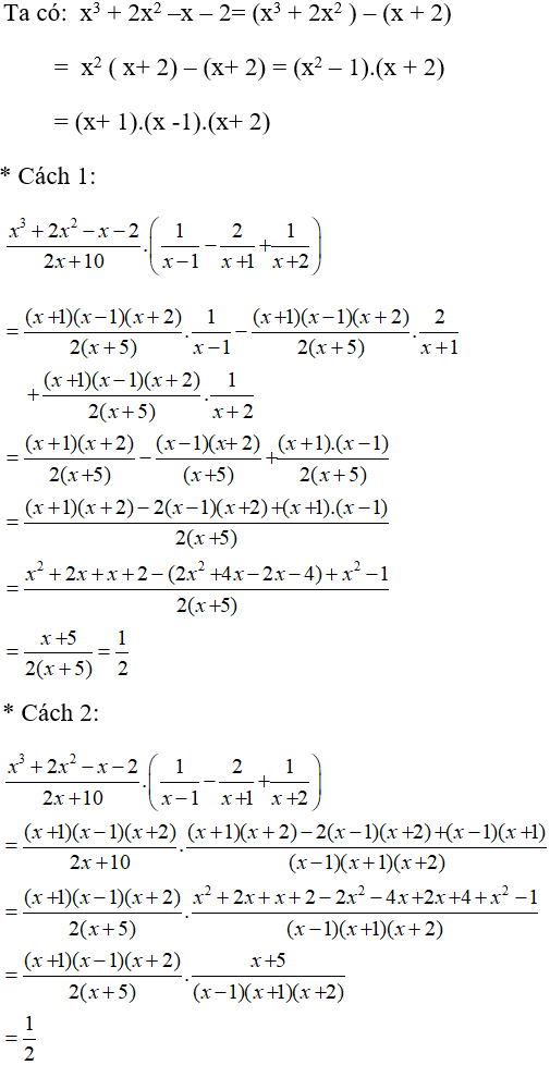
Bài 34 trang 33 SBT Toán 8 Tập 1: Rút gọn biểu thức:
Lời giải:
a.
b.
Bài 35 trang 33 SBT Toán 8 Tập 1: Đố em điền một phân thức vào chỗ trống trong đẳng thức sau:
Lời giải:
Bài 7.1 trang 33 SBT Toán 8 Tập 1: Thực hiện các phép tính sau bằng hai cách: dùng tính chất phân phối của phép nhân đối với phép cộng và không dùng tính chất này:
Lời giải:
a.
b.
Bài 7.2 trang 33 SBT Toán 8 Tập 1: Thực hiện phép nhân
Lời giải:
Xem thêm các bài giải sách bài tập Toán lớp 8 chọn lọc, chi tiết khác:
- Bài 8: Phép chia các phân thức đại số
- Bài 9: Biến đổi các biểu thức hữu tỉ. Giá trị của phân thức
- Ôn tập chương 2 - Phần Đại số
- Bài 1: Tứ giác
Xem thêm các loạt bài Để học tốt Toán lớp 8 hay khác:
Tủ sách VIETJACK shopee lớp 6-8 (2025):
Đã có app VietJack trên điện thoại, giải bài tập SGK, SBT Soạn văn, Văn mẫu, Thi online, Bài giảng....miễn phí. Tải ngay ứng dụng trên Android và iOS.
Theo dõi chúng tôi miễn phí trên mạng xã hội facebook và youtube:Loạt bài Giải sách bài tập Toán 8 hay, chi tiết của chúng tôi được biên soạn bám sát nội dung Sách bài tập Toán 8 Tập 1 & Tập 2.
Nếu thấy hay, hãy động viên và chia sẻ nhé! Các bình luận không phù hợp với nội quy bình luận trang web sẽ bị cấm bình luận vĩnh viễn.
- Giải Tiếng Anh 8 Global Success
- Giải sgk Tiếng Anh 8 Smart World
- Giải sgk Tiếng Anh 8 Friends plus
- Lớp 8 - Kết nối tri thức
- Soạn văn 8 (hay nhất) - KNTT
- Soạn văn 8 (ngắn nhất) KNTT
- Giải sgk Toán 8 - KNTT
- Giải sgk Khoa học tự nhiên 8 - KNTT
- Giải sgk Lịch Sử 8 - KNTT
- Giải sgk Địa Lí 8 - KNTT
- Giải sgk Giáo dục công dân 8 - KNTT
- Giải sgk Tin học 8 - KNTT
- Giải sgk Công nghệ 8 - KNTT
- Giải sgk Hoạt động trải nghiệm 8 - KNTT
- Giải sgk Âm nhạc 8 - KNTT
- Lớp 8 - Chân trời sáng tạo
- Soạn văn 8 (hay nhất) - CTST
- Soạn văn 8 (ngắn nhất) - CTST
- Giải sgk Toán 8 - CTST
- Giải sgk Khoa học tự nhiên 8 - CTST
- Giải sgk Lịch Sử 8 - CTST
- Giải sgk Địa Lí 8 - CTST
- Giải sgk Giáo dục công dân 8 - CTST
- Giải sgk Tin học 8 - CTST
- Giải sgk Công nghệ 8 - CTST
- Giải sgk Hoạt động trải nghiệm 8 - CTST
- Giải sgk Âm nhạc 8 - CTST
- Lớp 8 - Cánh diều
- Soạn văn 8 Cánh diều (hay nhất)
- Soạn văn 8 Cánh diều (ngắn nhất)
- Giải sgk Toán 8 - Cánh diều
- Giải sgk Khoa học tự nhiên 8 - Cánh diều
- Giải sgk Lịch Sử 8 - Cánh diều
- Giải sgk Địa Lí 8 - Cánh diều
- Giải sgk Giáo dục công dân 8 - Cánh diều
- Giải sgk Tin học 8 - Cánh diều
- Giải sgk Công nghệ 8 - Cánh diều
- Giải sgk Hoạt động trải nghiệm 8 - Cánh diều
- Giải sgk Âm nhạc 8 - Cánh diều


Giải bài tập SGK & SBT
Tài liệu giáo viên
Sách
Khóa học
Thi online
Hỏi đáp

