Sách bài tập Toán 9 Bài 1: Hàm số y = ax2 (a ≠ 0)
Sách bài tập Toán 9 Bài 1: Hàm số y = ax2 (a ≠ 0)
Bài 1 trang 46 Sách bài tập Toán 9 Tập 2: Biết rằng hình lập phương có sáu mặt đều là hình vuông. Giả sử x là độ dài của cạnh hình lập phương.
a. Biểu diễn diện tích toàn phần S (tức là tổng diện tích của sáu mặt) của hình lập phương qua x.
b. Tính các giá trị của S ứng với các giá trị của x cho trong bảng dưới đây rồi điền vào các ô trống.
| x | 1/3 | 1/2 | 1 | 3/2 | 2 | 3 |
| S |
c. Nhận xét sự tăng, giảm của S khi x tăng.
d. Khi S giảm 16 lần thì cạnh x tăng hay giảm bao nhiêu lần ?
e. Tính cạnh của hình lập phương khi S = 27/2 cm2, S = 5cm2.
Lời giải:
a. Diện tích của một mặt hình lập phương là x2.
Hình lập phương có 6 mặt nên có diện tích toàn phần 6x2.
b. Giá trị của S và x được thể hiện trong bảng sau:
| x | 1/3 | 1/2 | 1 | 3/2 | 2 | 3 |
| S | 2/3 | 3/2 | 6 | 27/2 | 24 | 54 |
c. Khi giá trị của x tăng thì giá trị của S tăng.
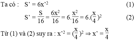
d. Gọi S’ là giá trị của S khi giảm đi 16 lần, x’ là cạnh hình lập phương khi S giảm đi 16 lần.
Vậy khi S giảm đi 16 lần thì cạnh hình vuông giảm đi 4 lần.
Bài 2 trang 46 Sách bài tập Toán 9 Tập 2: Cho hàm số y = 3x2.
a. Lập bảng tính các giá trị của y ứng với các giá trị của x lần lượt bằng : -2 ; -1 ; -1/3 ; 0 ; 1/3 ; 1 ; 2
b. Trên mặt phẳng tọa độ xác định các điểm mà hoành độ là giá trị của x còn tung độ là giá trị tương ứng của y đã tìm ở câu a.
Chẳng hạn, điểm A(-1/3 ; 1/3 )
Lời giải:
a)
b. Các điểm được thể hiện trên hình vẽ dưới.
Bài 3 trang 46 Sách bài tập Toán 9 Tập 2: Cho hàm số y = -3x2.
a. Lập bảng các giá trị của y ứng với các giá trị của x lần lượt bằng : -2 ; -1 ; -1/3 ; 0 ; 1/3 ; 1 ; 2
b. Trên mặt phẳng tọa độ xác định các điểm mà hoành độ là giá trị của x còn tung độ là giá trị tương ứng của y đã tìm ở câu a.
Chẳng hạn, điểm A(-1/3 ; -1/3 )
Lời giải:
a)
b) Các điểm được thể hiện trên hình vẽ dưới.
Bài 4 trang 47 Sách bài tập Toán 9 Tập 2: Cho hàm số y = f(x) = -1,5x2
a. Hãy tính f(1), f(2), f(3) rồi sắp xếp các giá trị này theo thứ tự từ lớn đến bé.
b. Hãy tính f(-3), f(-2), f(-1) rồi sắp xếp các giá trị này theo thứ tự từ bé đến lớn.
c. Phát biểu nhận xét của em về sự đồng biến hay nghịch biến của hàm số này khi x > 0 ; khi x < 0
Lời giải:
a. Ta có: f(1) = -1,5.12 = -1,5
f(2) = -1,5.22 = -6
f(3) = -1,5.32 = -13,5
Theo thứ tự từ lớn đến bé : -1,5; -6; -13,5.
b. Ta có: f(-3)= -1,5.(-3)2 = -13,5
f(-2) = -1,5.(-2)2 = -6
f(-1) = -1,5.(-1)2 = -1,5
Theo thứ tự từ bé đến lớn : -13,5 ; -6 ; -1,5.
c. Hàm số y = f(x) = -1,5x2 có hệ số a = -1,5 < 0 nên hàm số đồng biến khi x < 0, nghịch biến khi x > 0.
Bài 5 trang 47 Sách bài tập Toán 9 Tập 2: Đố : Một hòn bi lăn trên một mặt phẳng nghiêng. Đoạn đường đi được liên hệ với thời gian bởi công thức y = at2, t tính bằng giây, y tính bằng mét. Kết quả kiểm nghiệm được cho bởi bảng sau :
| t | 0 | 1 | 2 | 3 | 4 | 5 | 6 |
| y | 0 | 0,24 | 1 | 4 |
a. Biết rằng chỉ có một lần đo không cẩn thận, hãy xác định hệ số a và đố em biết lần nào đo không cẩn thận ?
b. Có một thời điểm dừng hòn bi lại nhưng quên không tính thời gian, tuy nhiên đo được đoạn đường đi được của hòn bi (kể từ thời điểm xuất phát đến điểm dừng) là 6,25m. Đố em biết lần ấy hòn bi đã lăn bao lâu ?
c. Hãy điền tiếp vào các ô trống còn lại ở bảng trên.
Lời giải:
c)
| t | 0 | 1 | 2 | 3 | 4 | 5 | 6 |
| y | 0 | 0,24 | 1 | 9/4 | 4 | 25/4 | 9 |
Bài 6 trang 47 Sách bài tập Toán 9 Tập 2: Biết rằng nhiệt lượng tỏa ra trên dây dẫn được tính bởi công thức : Q = 0,24RI2t. Trong đó Q là nhiệt lượng tính bằng calo, R là điện trở tính bằng ôm ( Ω), I là cường độ dòng điện tính bằng ampe (A), t là thời gian tính bằng giây (s). Dòng điện chạy qua một dây dẫn có điện trở R = 10 Ω trong thời gian 1 giây.
a. Hãy điền các số thích hợp vào bảng sau :
| I (A) | 1 | 2 | 3 | 4 |
| Q (calo) |
b. Hỏi cường độ dòng điện là bao nhiêu thì nhiệt lượng tỏa ta ra bằng 60 calo ?
Lời giải:
a. Thay R = 10 Ω, t = 1s vào công thức Q = 0,24RI2t, ta có :
Q = 0,24.10.I2.1 = 2,4I2
Giá trị của Q được thể hiện trong bảng sau :
| I (A) | 1 | 2 | 3 | 4 |
| Q (calo) | 2,4 | 9,6 | 21,6 | 38,4 |
b. Nhiệt lượng tỏa ra là 60 calo nghĩa là Q = 60.
Ta có : 60 = 2,4I2 ⇒ I2 = 60/(2,4) = 25
Vậy I = 5 (A).
Bài 1 trang 48 Sách bài tập Toán 9 Tập 2: Một bể nước hình hộp chữ nhật có đáy hình vuông cạnh bằng x mét. Chiều cao của bể bằng 2m. Kí hiệu V (x) là thể tích của bể.
a) Tính thể tích V(x) theo x.
b) Giả sử chiều cao của bể không đổi, hãy tính V(1), V(2), V(3). Nhận xét khi x tăng lên 2 lần, 3 lần thì thể tích tương ứng của bể tăng lên mấy lần?
Lời giải:
Hình hộp chữ nhật đáy hình vuông cạnh x (m) cao 2m.
a) Thể tích của hộp: V(x) = 2x2
b) Chiều cao không thay đổi.
V(1) = 2.12 = 2
V(2) = 2.22 = 8
V(3) = 2.32 = 18
Khi cạnh đáy tăng hai lần thì thể tích tăng 4 lần, cạnh đáy tăng lên 3 lần thì thể tích tăng lên 9 lần.
Bài 2 trang 48 Sách bài tập Toán 9 Tập 2: Cho hàm số y = f(x) = ax2, a ≠ 0. Vì sao với hai giá trị đối nhau của x thì hai giá trị tương ứng của hàm số lại bằng nhau?
Lời giải:
Hàm số y = f(x) = ax2, a ≠ 0
Vì hai giá trị đối nhau của x là x và –x thì x2 = (-x)2
⇒ f(x) = f(-x)
Vậy hai giá trị đối nhau của x thì giá trị tương ứng của hàm số bằng nhau.
Bài 3 trang 48 Sách bài tập Toán 9 Tập 2: Cho một nửa đường tròn đường kính AB) Điểm M chạy trên nửa đường tròn. Kẻ MH vuông góc với AB tại H. Đặt MH = x.
a) Chứng minh rằng hai tam giác AHM và MHB đồng dạng.
b) Chứng minh rằng (AH.BH = MH2 .
c) Khi M chuyển động thì x thay đổi, do đó tích AH.BH cũng thay đổi theo. Kí hiệu tích AH.BH bởi P(x). Hỏi P(x) có phải là một hàm số của biến số x hay không? Viết công thức biểu thị hàm số này.
Lời giải:
c) Với mỗi giá trị của x ta có một giá trị xác định của P(x).
Vậy P(x) là một hàm số.
P(x) = x2
Xem thêm Video Giải sách bài tập Toán lớp 9 (SBT Toán 9) hay và chi tiết khác:
- Bài 2: Đồ thị hàm số y = ax2 (a ≠ 0)
- Bài 3: Phương trình bậc hai một ẩn
- Bài 4: Công thức nghiệm của phương trình bậc hai
- Bài 5: Công thức nghiệm thu gọn
Xem thêm các loạt bài Để học tốt Toán lớp 9 hay khác:
- Giải bài tập Toán 9
- Chuyên đề Toán 9 (có đáp án - cực hay)
- Lý thuyết & 500 Bài tập Toán 9 (có đáp án)
- Các dạng bài tập Toán 9 cực hay
- Đề thi Toán 9
- Đề thi vào 10 môn Toán
Tủ sách VIETJACK luyện thi vào 10 cho 2k11 (2026):
Đã có app VietJack trên điện thoại, giải bài tập SGK, SBT Soạn văn, Văn mẫu, Thi online, Bài giảng....miễn phí. Tải ngay ứng dụng trên Android và iOS.
Theo dõi chúng tôi miễn phí trên mạng xã hội facebook và youtube:Loạt bài Giải sách bài tập Toán 9 hay, chi tiết của chúng tôi được biên soạn bám sát nội dung Sách bài tập Toán 9 Tập 1 & Tập 2.
Nếu thấy hay, hãy động viên và chia sẻ nhé! Các bình luận không phù hợp với nội quy bình luận trang web sẽ bị cấm bình luận vĩnh viễn.
- Giải Tiếng Anh 9 Global Success
- Giải sgk Tiếng Anh 9 Smart World
- Giải sgk Tiếng Anh 9 Friends plus
- Lớp 9 Kết nối tri thức
- Soạn văn 9 (hay nhất) - KNTT
- Soạn văn 9 (ngắn nhất) - KNTT
- Giải sgk Toán 9 - KNTT
- Giải sgk Khoa học tự nhiên 9 - KNTT
- Giải sgk Lịch Sử 9 - KNTT
- Giải sgk Địa Lí 9 - KNTT
- Giải sgk Giáo dục công dân 9 - KNTT
- Giải sgk Tin học 9 - KNTT
- Giải sgk Công nghệ 9 - KNTT
- Giải sgk Hoạt động trải nghiệm 9 - KNTT
- Giải sgk Âm nhạc 9 - KNTT
- Giải sgk Mĩ thuật 9 - KNTT
- Lớp 9 Chân trời sáng tạo
- Soạn văn 9 (hay nhất) - CTST
- Soạn văn 9 (ngắn nhất) - CTST
- Giải sgk Toán 9 - CTST
- Giải sgk Khoa học tự nhiên 9 - CTST
- Giải sgk Lịch Sử 9 - CTST
- Giải sgk Địa Lí 9 - CTST
- Giải sgk Giáo dục công dân 9 - CTST
- Giải sgk Tin học 9 - CTST
- Giải sgk Công nghệ 9 - CTST
- Giải sgk Hoạt động trải nghiệm 9 - CTST
- Giải sgk Âm nhạc 9 - CTST
- Giải sgk Mĩ thuật 9 - CTST
- Lớp 9 Cánh diều
- Soạn văn 9 Cánh diều (hay nhất)
- Soạn văn 9 Cánh diều (ngắn nhất)
- Giải sgk Toán 9 - Cánh diều
- Giải sgk Khoa học tự nhiên 9 - Cánh diều
- Giải sgk Lịch Sử 9 - Cánh diều
- Giải sgk Địa Lí 9 - Cánh diều
- Giải sgk Giáo dục công dân 9 - Cánh diều
- Giải sgk Tin học 9 - Cánh diều
- Giải sgk Công nghệ 9 - Cánh diều
- Giải sgk Hoạt động trải nghiệm 9 - Cánh diều
- Giải sgk Âm nhạc 9 - Cánh diều
- Giải sgk Mĩ thuật 9 - Cánh diều


Giải bài tập SGK & SBT
Tài liệu giáo viên
Sách
Khóa học
Thi online
Hỏi đáp

