Sách bài tập Toán 9 Bài 6: Biến đổi đơn giản biểu thức chứa căn thức bậc hai
Sách bài tập Toán 9 Bài 6: Biến đổi đơn giản biểu thức chứa căn thức bậc hai
Bài 56 trang 14 Sách bài tập Toán 9 Tập 1: Đưa thừa số ra ngoài dấu căn:
Lời giải:
Bài 57 trang 14 Sách bài tập Toán 9 Tập 1: Đưa thừa số vào trong dấu căn:
Lời giải:
Bài 58 trang 14 Sách bài tập Toán 9 Tập 1: Rút gọn các biểu thức:
Lời giải:
Bài 59 trang 14 Sách bài tập Toán 9 Tập 1: Rút gọn biểu thức:
Lời giải:
Bài 60 trang 15 Sách bài tập Toán 9 Tập 1: Rút gọn các biểu thức:
Lời giải:
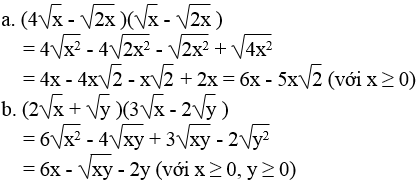
Bài 61 trang 15 Sách bài tập Toán 9 Tập 1: Khai triển và rút gọn các biểu thức (với x và y không âm)
Lời giải:
Bài 62 trang 15 Sách bài tập Toán 9 Tập 1: Khai triển và rút gọn các biểu thức (với x và y không âm)
Lời giải:
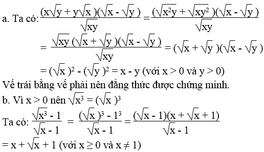
Bài 63 trang 15 Sách bài tập Toán 9 Tập 1: Chứng minh:
Lời giải:
Bài 64 trang 15 Sách bài tập Toán 9 Tập 1: a. Chứng minh:
b. Rút gọn biểu thức:
Lời giải:
Bài 65 trang 15 Sách bài tập Toán 9 Tập 1: Tìm x, biết:
Lời giải:
Bài 66 trang 15 Sách bài tập Toán 9 Tập 1: Tìm x, biết:
Lời giải:
Bài 67 trang 15 Sách bài tập Toán 9 Tập 1: Áp dụng bất đẳng thức Cô-si cho hai số không âm, chứng minh:
a. Trong các hình chữ nhật có cùng chu vi thì hình vuông có diện tích lớn nhất.
b. Trong các hình chữ nhật có cùng diện tích thì hình vuông có chu vi bé nhất.
Lời giải:
Với hai số không âm a và b, bất đẳng thức Cô-si cho hai số đó là:
≥
a. Các hình chữ nhật có cùng chu vi thì
không đổi. Từ bất đẳng thức
≥
và
không đổi suy ra ab đạt giá trị lớn nhất bằng
khi a = b.
Điều này cho thấy trong các hình chữ nhật có cùng chu vi thì hình vuông có diện tích lớn nhất.
b. Các hình chữ nhật có cùng diện tích thì ab không đổi. Từ bất đẳng thức
≥
và ab không đổi suy ra
đạt giá trị nhỏ nhât bằng ab khi a = b.
Điều này cho thấy trong các hình chữ nhật có cùng diện tích thì hình vuông có chu vi bé nhất.
Bài 1 trang 16 Sách bài tập Toán 9 Tập 1: Rút gọn biểu thức 3√(x2y) + x√y với x < 0, y ≥ 0 ta được
A. 4x√y; B. -4x√y; C. -2x√y; D. 4√(x^2 y).
Hãy chọn đáp án đúng.
Lời giải:
Chọn đáp án C
Xem thêm Video Giải sách bài tập Toán lớp 9 (SBT Toán 9) hay và chi tiết khác:
- Bài 7: Biến đổi đơn giản biểu thức chứa căn thức bậc hai (tiếp theo)
- Bài 8: Rút gọn biểu thức chứa căn thức bậc hai
- Bài 9: Căn bậc ba
- Ôn tập chương 1
Xem thêm các loạt bài Để học tốt Toán lớp 9 hay khác:
- Giải bài tập Toán 9
- Chuyên đề Toán 9 (có đáp án - cực hay)
- Lý thuyết & 500 Bài tập Toán 9 (có đáp án)
- Các dạng bài tập Toán 9 cực hay
- Đề thi Toán 9
- Đề thi vào 10 môn Toán
Tủ sách VIETJACK luyện thi vào 10 cho 2k11 (2026):
Đã có app VietJack trên điện thoại, giải bài tập SGK, SBT Soạn văn, Văn mẫu, Thi online, Bài giảng....miễn phí. Tải ngay ứng dụng trên Android và iOS.
Theo dõi chúng tôi miễn phí trên mạng xã hội facebook và youtube:Loạt bài Giải sách bài tập Toán 9 hay, chi tiết của chúng tôi được biên soạn bám sát nội dung Sách bài tập Toán 9 Tập 1 & Tập 2.
Nếu thấy hay, hãy động viên và chia sẻ nhé! Các bình luận không phù hợp với nội quy bình luận trang web sẽ bị cấm bình luận vĩnh viễn.
- Giải Tiếng Anh 9 Global Success
- Giải sgk Tiếng Anh 9 Smart World
- Giải sgk Tiếng Anh 9 Friends plus
- Lớp 9 Kết nối tri thức
- Soạn văn 9 (hay nhất) - KNTT
- Soạn văn 9 (ngắn nhất) - KNTT
- Giải sgk Toán 9 - KNTT
- Giải sgk Khoa học tự nhiên 9 - KNTT
- Giải sgk Lịch Sử 9 - KNTT
- Giải sgk Địa Lí 9 - KNTT
- Giải sgk Giáo dục công dân 9 - KNTT
- Giải sgk Tin học 9 - KNTT
- Giải sgk Công nghệ 9 - KNTT
- Giải sgk Hoạt động trải nghiệm 9 - KNTT
- Giải sgk Âm nhạc 9 - KNTT
- Giải sgk Mĩ thuật 9 - KNTT
- Lớp 9 Chân trời sáng tạo
- Soạn văn 9 (hay nhất) - CTST
- Soạn văn 9 (ngắn nhất) - CTST
- Giải sgk Toán 9 - CTST
- Giải sgk Khoa học tự nhiên 9 - CTST
- Giải sgk Lịch Sử 9 - CTST
- Giải sgk Địa Lí 9 - CTST
- Giải sgk Giáo dục công dân 9 - CTST
- Giải sgk Tin học 9 - CTST
- Giải sgk Công nghệ 9 - CTST
- Giải sgk Hoạt động trải nghiệm 9 - CTST
- Giải sgk Âm nhạc 9 - CTST
- Giải sgk Mĩ thuật 9 - CTST
- Lớp 9 Cánh diều
- Soạn văn 9 Cánh diều (hay nhất)
- Soạn văn 9 Cánh diều (ngắn nhất)
- Giải sgk Toán 9 - Cánh diều
- Giải sgk Khoa học tự nhiên 9 - Cánh diều
- Giải sgk Lịch Sử 9 - Cánh diều
- Giải sgk Địa Lí 9 - Cánh diều
- Giải sgk Giáo dục công dân 9 - Cánh diều
- Giải sgk Tin học 9 - Cánh diều
- Giải sgk Công nghệ 9 - Cánh diều
- Giải sgk Hoạt động trải nghiệm 9 - Cánh diều
- Giải sgk Âm nhạc 9 - Cánh diều
- Giải sgk Mĩ thuật 9 - Cánh diều


Giải bài tập SGK & SBT
Tài liệu giáo viên
Sách
Khóa học
Thi online
Hỏi đáp

