Sách bài tập Vật Lí 8 Bài 8: Áp suất chất lỏng - Bình thông nhau
Sách bài tập Vật Lí 8 Bài 8: Áp suất chất lỏng - Bình thông nhau
Bài 8.1 trang 26 Sách bài tập Vật Lí 8: Bốn hình A, B, C, D cùng đựng nước (H.8.1).
a) Áp suất của nước lên đáy bình nào là lớn nhất?
A. Bình A
B. Bình B
C. Bình C
D. Bình D
b) Áp suất của nước lên đấy bình nào là nhỏ nhất?
A. Bình A
B. Bình B
C. Bình C
D. Bình D
Lời giải:
a) Chọn A vì trong tất cả các bình đều là nước nên trọng lượng riêng của chất lỏng là như nhau, bình nào có cột chất lỏng cao nhất thì áp suất sẽ lớn nhất.
b) Chọn D vì trong tất cả các bình đều là nước nên trọng lượng riêng của chất lỏng là như nhau, bình nào có cột chất lỏng thấp nhất thì áp suất sẽ nhỏ nhất.
Bài 8.2 trang 26 Sách bài tập Vật Lí 8: Hai bình A, B thông nhau. Bình A đựng dầu, bình B đựng nước tới cùng một độ cao (H.8.2). Hỏi sau khi mở khóa K, nước và dầu có chảy từ bình nọ sang bình kia không? Hãy chọn trả lời đúng.
A. Không, vì độ cao của cột chất lỏng ở hai bình bằng nhau.
B. Dầu chảy sang nước vì lượng dầu nhiều hơn
C. Dầu chảy sang nước vì dầu nhẹ hơn
D. Nước chảy sang dầu vì áp suất cột nước lớn hơn áp suất cột dầu do trọng lượng riêng của nước lớn hơn dầu.
Lời giải:
Chọn D
Khi mở khóa K nước chảy sang dầu vì áp suất cột nước lớn hơn áp suất cột dầu do trọng lượng riêng của nước lớn hơn dầu.
Bài 8.3 trang 26 Sách bài tập Vật Lí 8: Hãy so sánh áp suất tại điểm A, B, C, D, E trong một bình đựng chất lỏng vẽ ở hình 8.3
Lời giải:
Trong cùng một chất lỏng trọng lượng riêng của chất lỏng là như nhau nên áp suất trong chất lỏng phụ thuộc vào độ sâu của cột chất lỏng so với mặt thoáng. Căn cứ vào hình bên, ta thấy: PE < PC = PB < PD < PA
(PC = PB do hai hai điểm này ở ngang nhau).
Bài 8.4 trang 26 Sách bài tập Vật Lí 8: Một tàu ngầm đang di chuyển ở dưới biển. Áp kế đặt ở ngoài vỏ tàu chỉ áp suất 2,02.106 N/m2. Một lúc sau áp kế chỉ 0,86.106 N/m2.
a) Tàu đã nổi lên hay lặn xuống? Vì sao khẳng định được như vậy?
b) Tính độ sâu của tàu ngầm ở hai thời điểm trên. Cho biết trọng lượng riêng của nước biển bằng 10300 N/m3.
Tóm tắt:
p1 = 2,02.106 N/m2; p2 = 0,86.106 N/m2;
a) Tàu nổi hay lặn?
b) d = 10300 N/m3; Độ sâu h1, h2 = ?
Lời giải:
a) Áp suất tác dụng lên vỏ tàu ngầm giảm, tức cột nước ở phía trên tàu ngầm giảm. Điều này chứng tỏ tàu ngầm đã nổi lên.
b) Áp dụng công thức: p = d.h, ta có:
- Độ sâu của tàu ngầm ở thời điểm trước khi nổi lên:
- Độ sâu của tàu ngầm ở thời điểm sau khi nổi lên:
Bài 8.5 trang 27 Sách bài tập Vật Lí 8: Một cái bình có lỗ nhỏ O ở thành bên và đáy là một pittông A (H.8.4). Người ta đổ nước tới miệng bình. Có một tia nước phun ra từ O.
a) Khi mực nước hạ dần từ miệng bình đến điểm O thì hình dạng của tia nước thay đổi như thế nào?
b) Người ta kéo pittông tới vị trí A’ rồi lại đổ nước cho tới miệng bình. Tia nước phun từ O có gì thay đổi không? Vì sao?
Lời giải:
Hình dạng của tia nước phụ thuộc vào áp suất mà nước tác dụng vào thành bình tại điểm O. Áp suất đó càng lớn thì tia nước càng vọt ra xa bình.
a) Mực nước hạ dần từ miệng bình tới điểm O thì áp suất tác dụng lên điểm O giảm dần. Vì vậy tia nước dần về phía thành bình. Khi mực nước tiến sát điểm O, áp suất rất nhỏ, không tạo được tia nước, và nước sẽ chạy dọc theo thành bình xuống đáy bình.
b) Khi kéo pittông từ vị trí A đến vị trí A’, đáy bình được nâng cao đến gần điểm O, nhưng khoảng cách từ O đến miệng bình không thay đổi, nên áp suất mà nước tác dụng vào điểm O không đổi.
Bài 8.6 trang 27 Sách bài tập Vật Lí 8: Một bình thông nhau chứa nước biển. Người ta đổ thêm xăng vào một nhánh. Hai mặt thoáng ở hai nhánh chênh lệch nhau 18 mm. Tính độ cao của cột xăng. Cho biết trọng lượng riêng của nước biển là 10300 N/m3 và của xăng là 7000 N/m3.
Lời giải:
Giả sử ta đổ xăng vào nhánh bên trái, khi đó chiều cao của cột xăng là h1, nước bên trong ống bên phải dâng lên có độ cao là h2.
Ta có: h = 18mm = 0,018m; d1 = 7000N/m3; d2 = 10300 N/m3.
Xét hai điểm A và B trong hai nhánh nằm trong cùng một mặt phẳng ngang trùng với mặt phân cách giữa xăng và nước biển.
Ta có: pA = pB mà pA = d1.h1; pB = d2.h2;
Suy ra: d1.h1 = d2.h2;
Theo hình vẽ thì h2 = h1 – h, do đó:
d1.h1 = d2.(h1 – h) = d2.h1 – d2.h
Bài 8.7 trang 27 Sách bài tập Vật Lí 8: Hãy so sánh áp suất tại các điểm M, N và Q, trong bình chứa chất lỏng ở hình 8.5
A. pM < pN < pQ
B. pM = pN = pQ
C. pM > pN > pQ
D. pM < pQ < pN
Lời giải:
Chọn C
Vì trong bình chứa cùng một chất lỏng thì trọng lượng riêng tại các điểm là như nhau nên áp suất chất lỏng phụ thuộc vào độ sâu của điểm đó tới mặt thoáng của chất lỏng.
Độ sâu hM > hN > hQ nên pM > pN > pQ.
Bài 8.8 trang 27 Sách bài tập Vật Lí 8: Câu nào sau đây nói về áp suất chất lỏng là đúng?
A. Chất lỏng chỉ gây áp suất theo phương thẳng đứng từ trên xuống.
B. Áp suất chất lỏng chỉ phụ thuộc vào bản chất của chất lỏng.
C. Chất lỏng gây áp suất theo mọi phương.
D. Áp suất chất lỏng chỉ phụ thuộc vào chiều cao của cột chất lỏng.
Lời giải:
Chọn C
Chất lỏng gây áp suất theo mọi phương lên đáy bình, thành bình và cả trong lòng của chất lỏng.
Bài 8.9 trang 27 Sách bài tập Vật Lí 8: Hình 8.6 vẽ mặt cắt của một con đê chắn nước, cho thấy mặt đê bao giờ cũng hẹp hơn chân đê. Đê được cấu tạo như thế nhằm để
A. tiết kiệm đất đắp đê.
B. làm thành mặt phẳng nghiêng, tạo điều kiện thuận lợi cho người muốn đi lên mặt đê.
C. có thể trồng cỏ lên trên đê, giữ cho đê khòi bị lở.
D. chân đê có thể chịu được áp suất lớn hơn nhiều so với mặt đê.
Lời giải:
Chọn D
Mặt đê hẹp hơn chân đê để chân đê có thể chịu được áp suất lớn hơn nhiều so với mặt đê.
Bài 8.10 trang 28 Sách bài tập Vật Lí 8: Một ống thủy tinh hình trụ đựng chất lỏng đang được đặt thẳng đứng. Nếu nghiêng ống đi sao cho chất lỏng không chảy ra khỏi ống, thì áp suất chất lỏng gây ra ở đáy bình.
A. tăng
B. giảm
C. không đổi
D. bằng không.
Lời giải:
Chọn B
Vì chiều cao của cột chất lỏng giảm nên áp suất của nó giảm.
Khi nghiêng ống đi thì khoảng cách từ mặt thoáng chất lỏng tới đáy bình sẽ giảm (tức chiều cao của cột chất lỏng giảm) nên áp suất của nó giảm.
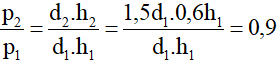
Bài 8.11 trang 28 Sách bài tập Vật Lí 8: Hai bình có tiết diện bằng nhau. Bình thứ nhất chứa chất lỏng có trọng lượng riêng d1, chiều cao h1; bình thứ hai chứa chất lỏng có trọng lượng riêng d2 = 1,5.d1, chiều cao h2 = 0,6.h1. Nếu gọi áp suất chất lỏng tác dụng lên đáy bình 1 là p1, lên đáy bình 2 là p2 thì
A. p2 = 3.p1
B. p2 = 0,9.p1
C. p2 = 9.p1
D. p2 = 0,4.p1
Lời giải:
Chọn B.
Vì áp suất chất lỏng tác dụng lên đáy bình 1: p1 = d1.h1;
Áp suất chất lỏng tác dụng lên đáy bình 2: p2 = d2.h2.
Lập tỉ số ta được:
Vậy p2 = 0,9.p1.
Bài 8.12 trang 28 Sách bài tập Vật Lí 8: Tại sao khi ta lặn luôn cảm thấy tức ngực và càng lặn sâu thì cảm giác tức ngực càng tăng?
Lời giải:
Khi lặn càng sâu thì khoảng cách của người so với mặt thoáng chất lỏng càng lớn nên áp suất của nước càng tăng nên cảm giác tức ngực càng tăng.
Bài 8.13 trang 28 Sách bài tập Vật Lí 8: Trong bình thông nhau vẽ ở hình 8.7, nhánh lớn có tiết diện lớn gấp đôi nhánh nhỏ. Khi chưa mở khóa T, chiều cao của cột nước ở nhánh lớn là 30 cm. Tìm chiều cao của cột nước ở hai nhánh sau khi đã mở khóa T và khi nước đã đứng yên. Bỏ qua thể tích của ống nối hai nhánh.
Lời giải:
Gọi diện tích tiết diện của ống nhỏ là S, thì diện tích tiết diện của ống lớn là 2S. Sau khi mở khóa T, cột nước ở 2 nhánh có cùng chiều cao h.
Do thể tích nước trong bình thông nhau trước và sau khi mở khóa K là không đổi nên ta có: Vtrước = Vsau ↔ H.2S = h.S + 2S.h
(H là chiều cao cột nước lúc đầu khi chưa mở khóa K)
⇒ 2.H = h + 2.h ⇒ h = 20cm.
Bài 8.14 trang 28 Sách bài tập Vật Lí 8: Hình 8.7 SGK (tr.31) mô tả nguyên tắc hoạt động của một máy nâng dùng chất lỏng. Muốn có một lực nâng 20000N tác dụng lên pít- tông lớn, thì phải tác dụng lên pít- tông nhỏ một lực bằng bao nhiêu?
Biết pít – tông lớn có diện tích lớn gấp 100 lần pit-tông nhỏ và chất lỏng có thể truyền nguyên vẹn áp suất từ pit- tông nhỏ sang pit-tông lớn.
Lời giải:
Ta có: F = 20000N; S = 100.s
Theo nguyên lí Pa-xcan ta có:
Vậy phải tác dụng lên pít-tông nhỏ một lực f = 200N.
Bài 8.15 trang 28 Sách bài tập Vật Lí 8: Một ống thủy tinh được bịt kín một đầu bằng màng cao su mỏng. Nhúng ống thủy tinh vào một chậu nước (H.8.8). Màng cao su có hình dạng như thế nào và tại sao lại có hình dạng như thế trong các trường hợp sau đây?
a) khi chưa có đổ nước vào ống tủy tinh.
b) Khi đổ nước vào ống sao cho mực nước trong ống bằng mực nước ngoài ống.
c) Khi đổ nước vào ống sao cho mực nước trong ống thấp hơn mực nước ngoài ống.
d) Khi đổ nước vào ống sao cho mực nước trong ống cao hơn mực nước ngoài ống.
Lời giải:
a) Màng cao su bị cong lên phía trên do áp suất của nước trong chậu gây ra.
b) Khi đổ nước vào ống sao cho mực nước trong ống bằng với mực nước ở ngoài, khi đó áp suất của nước trong ống và ngoài ống cân bằng nhau nên màng cao su có dạng phẳng.
c) Khi đổ nước vào ống sao cho mực nước trong ống thấp hơn mực nước ngoài ống thì áp suất của nước ngoài chậu lớn hơn nên màng cao su bị lõm vào trong ống.
d) Khi đổ nước vào trong ống sao cho mực nước trong ống cao hơn mực nước ngoài ống khi đó áp suất do cột nước trong ống gây ra lớn hơn áp suất của nước ngoài chậu nên màng cao su bị cong xuống phía dưới.
Bài 8.16 trang 29 Sách bài tập Vật Lí 8: Một chiếc tàu bị thủng một lỗ ở độ sâu 2,8 m. Người ta đặt một miếng và áp vào lỗ thủng từ phía trong. Hỏi cần một lực tối thiểu bằng bao nhiêu để giữ miếng vá nếu lỗ thủng rộng 150 cm2 và trọng lượng riêng của nước là 10 000N/3
Tóm tắt
h = 2,8m; S = 150 cm2 = 0,015 m2;
d = 10000 N/m3; F = ?
Lời giải:
Áp suất do nước gây ra tại lỗ thủng là:
p = d.h = 10000.2,8 = 28000 N/m2
Lực tối thiểu để giữ miếng vá là:
F = p.S = 28000. 0,015 = 420N
(Lưu ý: Trên thực tế, áp suất gây ra tại lỗ thủng còn bao gồm cả áp suất khí quyển trên mặt nước, nhưng vì bên trong khoang tàu cũng có không khí nên ta coi phần áp lực do áp suất khí quyển tác dụng lên miếng vá bằng nhau. Do đó lực giữ tối thiểu chỉ cần bằng áp lực do áp suất nước gây ra.)
Bài 8.17 trang 29 Sách bài tập Vật Lí 8: Chuyện vui về thí nghiệm thùng tô – nô của Pa –xcan. Vào thế kỉ thức XVIII, nhà bác học người Pháp Pa- xcan đã thực hiện một thí nghiệm rất lí thú, gọi là thí nghiệm thùng tô – nô của Pa-xcan (H.8.9).
Ở mặt trên của một thùng tô – nô bằng gỗ đựng đầy nước, ông gắn một ống nhỏ, cao nhiều mét. Sau đó ông trèo lên ban công tầng trên và đổ vào ống nhỉ một chai nước đầy.
Hiện tượng kì lạ xảy ra: chiếc thùng tô – nô bằng gỗ vỡ tung và nước bắn ra tứ phía.
Các em hãy dựa vào hình bên để tính toán và giải thích thì nghiệm của Pa – xcan.
Gợi ý: Có thể so sánh áp suất tác dụng cào điểm O ở giữa thùng, khi chỉ có thùng tô – nô chứa đầy nước và khi cả thùng và ống đều chứa đầy nước.
Lời giải:
- Khi thùng chức đầy nước thì áp suất tại điểm O: p1 = d× h.
- Nhận xét: h’=10h, do đó p2=10p1. Như vậy, khi đổ nước vào ống thì áp suất tại điểm O tăng lên gấp 10 lần nên thùng tô – nô bị vỡ.
Xem thêm các bài giải sách bài tập Vật Lí lớp 8 chọn lọc, chi tiết khác:
Xem thêm các loạt bài Để học tốt môn Vật Lí 8 hay khác:
- Giải bài tập Vật lý 8
- Giải VBT Vật Lí 8
- Lý thuyết & 300 Bài tập Vật Lí 8 (có đáp án)
- Top 36 Đề thi Vật Lí 8 có đáp án
Tủ sách VIETJACK shopee lớp 6-8 (2025):
Đã có app VietJack trên điện thoại, giải bài tập SGK, SBT Soạn văn, Văn mẫu, Thi online, Bài giảng....miễn phí. Tải ngay ứng dụng trên Android và iOS.
Theo dõi chúng tôi miễn phí trên mạng xã hội facebook và youtube:Loạt bài Giải sách bài tập Vật Lí lớp 8 (có video giải chi tiết) của chúng tôi được biên soạn bám sát nội dung SBT Vật Lí 8.
Nếu thấy hay, hãy động viên và chia sẻ nhé! Các bình luận không phù hợp với nội quy bình luận trang web sẽ bị cấm bình luận vĩnh viễn.
- Giải Tiếng Anh 8 Global Success
- Giải sgk Tiếng Anh 8 Smart World
- Giải sgk Tiếng Anh 8 Friends plus
- Lớp 8 - Kết nối tri thức
- Soạn văn 8 (hay nhất) - KNTT
- Soạn văn 8 (ngắn nhất) KNTT
- Giải sgk Toán 8 - KNTT
- Giải sgk Khoa học tự nhiên 8 - KNTT
- Giải sgk Lịch Sử 8 - KNTT
- Giải sgk Địa Lí 8 - KNTT
- Giải sgk Giáo dục công dân 8 - KNTT
- Giải sgk Tin học 8 - KNTT
- Giải sgk Công nghệ 8 - KNTT
- Giải sgk Hoạt động trải nghiệm 8 - KNTT
- Giải sgk Âm nhạc 8 - KNTT
- Lớp 8 - Chân trời sáng tạo
- Soạn văn 8 (hay nhất) - CTST
- Soạn văn 8 (ngắn nhất) - CTST
- Giải sgk Toán 8 - CTST
- Giải sgk Khoa học tự nhiên 8 - CTST
- Giải sgk Lịch Sử 8 - CTST
- Giải sgk Địa Lí 8 - CTST
- Giải sgk Giáo dục công dân 8 - CTST
- Giải sgk Tin học 8 - CTST
- Giải sgk Công nghệ 8 - CTST
- Giải sgk Hoạt động trải nghiệm 8 - CTST
- Giải sgk Âm nhạc 8 - CTST
- Lớp 8 - Cánh diều
- Soạn văn 8 Cánh diều (hay nhất)
- Soạn văn 8 Cánh diều (ngắn nhất)
- Giải sgk Toán 8 - Cánh diều
- Giải sgk Khoa học tự nhiên 8 - Cánh diều
- Giải sgk Lịch Sử 8 - Cánh diều
- Giải sgk Địa Lí 8 - Cánh diều
- Giải sgk Giáo dục công dân 8 - Cánh diều
- Giải sgk Tin học 8 - Cánh diều
- Giải sgk Công nghệ 8 - Cánh diều
- Giải sgk Hoạt động trải nghiệm 8 - Cánh diều
- Giải sgk Âm nhạc 8 - Cánh diều


Giải bài tập SGK & SBT
Tài liệu giáo viên
Sách
Khóa học
Thi online
Hỏi đáp

