Giải bài tập Toán 10 Bài 26 (Kết nối tri thức) hay nhất
Để xem lời giải Toán 10 Bài 26 Kết nối tri thức, bạn vào tên bài hoặc Xem chi tiết.
Giải bài tập Toán 10 Bài 26 (Kết nối tri thức) hay nhất
Lưu trữ: Giải Toán lớp 10 Bài 26 (sách cũ)
Bài 26 (trang 85 sgk Đại Số 10 nâng cao): Giải và biện luận các phương trình sau (m và a là các tham số)
a)(2x + m – 4)(2mx – x + m) = 0;
b)|mx + 2x – 1| = | x|;
c) (mx + 1). √(x – 1)= 0;
d) (2a – 1)/(x – 2) = a – 2 ;
Lời giải:
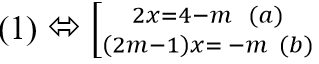
a)Đặt phương trình : (2x + m – 4)(2mx – x + m) = 0 là phương trình (1)
Nếu 2m – 1 = 0 ⇔ m = 1/2 ⇒ (b) vô nghiệm, do đó :
(1) ⇔ (a) ⇔ x = (4 – m)/2 = (4 – 1/2)/2 = 7/4
Nếu 2m – 1 ≠ 0 ⇔ m ≠ 1/2 ⇒ (b) ⇔ x = m/(1 – 2m)
Kết luận : m = 1/2, (1) có hai nghiệm x1 = (4 – m)/2; x2 = m/(1 – 2m) (chú ý trường hợp này có thể x1 = x2).
b)Đặt phương trình : |mx + 2x – 1| = |x| là phương trình (2)
⇒Ta có sự biện luận sau :
Khi m ≠ -1 và m ≠ -3, phương trình (2) có các nghiệm x = 1/(m + 1), x= 1/(m + 3)
Khi m = -1 phương trình (2) có nghiệm x = 1/2. Khi m = -3 phương trình (2) có nghiệm x = -1/2
c)Đặt phương trình : (mx + 1) √(x – 1) = 0 là phương trình (3)
Điều kiện xác định : ∀ x, x ≥ 1.
Nếu m = 0 ⇒Phương trình mx = -1 vô nghiệm
⇒(3) có một nghiệm x = 1
Nếu m ≠ 0 ta có : mx = - 1 ⇔ x = -1/m, giá trị này chỉ là nghiệm của (3)
⇔ -1/m ≥ 1 ⇔ (-m – 1).m ≥ 0 ⇔ -1 ≤ m < 0
Vậy : Phương trình có hai nghiệm x = 1, x = -1/m khi -1 < m < 0
Phương trình có nghiệm x= 1 khi m ≤ -1 hoặc m ≥ 0
d)Gọi phương trình : (2a – 1)/(x – 2) = a – 2 là phương trình (4).
Điều kiện xác định của (4) là : ∀ x ∈ R, x ≠ 2. Khi đó :
Nếu a = 2 thì (d) vô nghiệm , do đó (4) vô nghiệm
Nếu a ≠ 2 thì (d) có nghiệm x = (4a – 5)/(a – 2) , giá trị này chỉ là nghiệm của (4) khi và chỉ khi (4a – 5)/(a – 2) ≠ 2 ⇔ a ≠ 1/2
Vậy :
a = 2 hoặc a = 1/2 thì (4) vô nghiệm
a ≠ 2 và a ≠ 1/2 thì (4) có nghiệm x = (4a – 5)/(a – 2)
e)Đặt phương trình ((m+1)x+m-2)/(x+3) = m là phương trình (5). Khi đó, điều kiện xác định của phương trình là : ∀ x ∈ R, x ≠ -3. Với điều kiện đó thì (5) ⇔ x = 2m + 2, giá trị này là nghiệm của (5) khi và chỉ khi 2m + 2 ≠ -3 ⇔ m ≠ -5/3. Do đó :
m = -5/2, (5) vô nghiệm
m ≠ -5/2, (5) có nghiệm duy nhất x = 2m + 2
f)Đặt phương trình :
Khi đó điều kiện xác định của (6) là : ∀ x ∈ R, x ≠ 1. Ta thấy, nếu a < 0 thì (6) vô nghiệm.
Xét a ≥ 0,
⇔ 1 = -a hoặc 2ax = a – 1
⇔ 2ax = a – 1
Biện luận :
Nếu a = 0 thì (6) vô nghiệm
Nếu a > 0, (6) có nghiệm duy nhất x = (a – 1)/2a khi và chỉ khi (a – 1)/2a ≠ 1 hay (6) có nghiệm duy nhất x= (a – 1)/2a (vì a > 0 thì (a – 1)/2a ≠ 1).
Kết luận : a ≤ 0, (6) vô nghiệm
a > 0, (6) có nghiệm duy nhất x = (a – 1)/2a.
Các bài giải bài tập Đại số 10 nâng cao bài luyện tập (trang 85) Chương 3 khác:
Bài 25 (trang 85 SGK Đại Số 10 nâng cao): Giải và biện luận phương trình ...
Bài 26 (trang 85 SGK Đại Số 10 nâng cao): Giải và biện luận các phương ...
Bài 27 (trang 85 SGK Đại Số 10 nâng cao): Bằng cách đặt ẩn phụ, ...
Bài 28 (trang 85 SGK Đại Số 10 nâng cao): Tìm các giá trị của tham ...
Bài 29 (trang 85 SGK Đại Số 10 nâng cao): Với giá trị nào của m thì ....
Để học tốt lớp 10 các môn học sách mới:
- Giải bài tập Lớp 10 Kết nối tri thức
- Giải bài tập Lớp 10 Chân trời sáng tạo
- Giải bài tập Lớp 10 Cánh diều
Tủ sách VIETJACK shopee lớp 10-11 (cả 3 bộ sách):
Đã có app VietJack trên điện thoại, giải bài tập SGK, SBT Soạn văn, Văn mẫu, Thi online, Bài giảng....miễn phí. Tải ngay ứng dụng trên Android và iOS.
Theo dõi chúng tôi miễn phí trên mạng xã hội facebook và youtube:Nếu thấy hay, hãy động viên và chia sẻ nhé! Các bình luận không phù hợp với nội quy bình luận trang web sẽ bị cấm bình luận vĩnh viễn.
- Giải Tiếng Anh 10 Global Success
- Giải Tiếng Anh 10 Friends Global
- Giải sgk Tiếng Anh 10 iLearn Smart World
- Giải sgk Tiếng Anh 10 Explore New Worlds
- Lớp 10 - Kết nối tri thức
- Soạn văn 10 (hay nhất) - KNTT
- Soạn văn 10 (ngắn nhất) - KNTT
- Soạn văn 10 (siêu ngắn) - KNTT
- Giải sgk Toán 10 - KNTT
- Giải sgk Vật lí 10 - KNTT
- Giải sgk Hóa học 10 - KNTT
- Giải sgk Sinh học 10 - KNTT
- Giải sgk Địa lí 10 - KNTT
- Giải sgk Lịch sử 10 - KNTT
- Giải sgk Kinh tế và Pháp luật 10 - KNTT
- Giải sgk Tin học 10 - KNTT
- Giải sgk Công nghệ 10 - KNTT
- Giải sgk Hoạt động trải nghiệm 10 - KNTT
- Giải sgk Giáo dục quốc phòng 10 - KNTT
- Lớp 10 - Chân trời sáng tạo
- Soạn văn 10 (hay nhất) - CTST
- Soạn văn 10 (ngắn nhất) - CTST
- Soạn văn 10 (siêu ngắn) - CTST
- Giải Toán 10 - CTST
- Giải sgk Vật lí 10 - CTST
- Giải sgk Hóa học 10 - CTST
- Giải sgk Sinh học 10 - CTST
- Giải sgk Địa lí 10 - CTST
- Giải sgk Lịch sử 10 - CTST
- Giải sgk Kinh tế và Pháp luật 10 - CTST
- Giải sgk Hoạt động trải nghiệm 10 - CTST
- Lớp 10 - Cánh diều
- Soạn văn 10 (hay nhất) - Cánh diều
- Soạn văn 10 (ngắn nhất) - Cánh diều
- Soạn văn 10 (siêu ngắn) - Cánh diều
- Giải sgk Toán 10 - Cánh diều
- Giải sgk Vật lí 10 - Cánh diều
- Giải sgk Hóa học 10 - Cánh diều
- Giải sgk Sinh học 10 - Cánh diều
- Giải sgk Địa lí 10 - Cánh diều
- Giải sgk Lịch sử 10 - Cánh diều
- Giải sgk Kinh tế và Pháp luật 10 - Cánh diều
- Giải sgk Tin học 10 - Cánh diều
- Giải sgk Công nghệ 10 - Cánh diều
- Giải sgk Hoạt động trải nghiệm 10 - Cánh diều
- Giải sgk Giáo dục quốc phòng 10 - Cánh diều


Giải bài tập SGK & SBT
Tài liệu giáo viên
Sách
Khóa học
Thi online
Hỏi đáp

