Giải bài 76 trang 155 SGK Đại Số 10 nâng cao
Câu hỏi và bài tập ôn tập chương 4
Bài 76 (trang 155 sgk Đại Số 10 nâng cao): Chứng minh các bất đẳng thức
Lời giải:
a) Ta có: | a+ b| < |1+ ab| tương đương:
(a + b)2 < (1 + ab )2
⇔ a2 + 2ab + b2 < 1+ 2ab + a2b2
⇔ a2b2 + 1- a2 - b2 > 0
⇔ (a2b2 –a2 ) – (b2 -1)> 0
⇔ a2.(b2 -1) – (b2 - 1)> 0
⇔ (a2 -1).(b2 – 1) > 0 (*)
(*) luôn đúng vì |a| < 1 nên a2 < 1 hay a2 – 1 < 0
Và |b| < 1 nên b2 < 1 hay b2 – 1 < 0
Do đó, ( a2 – 1 ).(b2 - 1 ) > 0 .
Vậy với |a| < 1 và| b| < 1 thì | a+ b| < | 1+ ab |.
b) Với mọi n nguyên dương, ta có:
Lấy vế cộng vế các bất đẳng thức trên ta được:
Suy ra điều phải chứng minh.
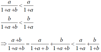
c) Với hai số a, b không âm ta có:
1 + a < 1 + a + b và 1 + b < 1 + a + b
Do đó, ta có:
Suy ra điều phải chứng minh .
Dấu “=” xảy ra khi a = b = 0 .
Các bài giải bài tập Đại số 10 nâng cao bài Câu hỏi ôn tập chương 4 khác:
Bài 76 (trang 155 SGK Đại Số 10 nâng cao): Chứng minh các bất ...
Bài 77 (trang 155 SGK Đại Số 10 nâng cao): Chứng minh các bất đẳng thức sau:...
Bài 78 (trang 155 SGK Đại Số 10 nâng cao): Tìm giá trị nhỏ nhất của các hàm số sau:...
Bài 79 (trang 155 SGK Đại Số 10 nâng cao): Tìm các giá trị của tham số ...
Bài 80 (trang 155 SGK Đại Số 10 nâng cao): Với giá trị nào của m, ...
Bài 81 (trang 155 SGK Đại Số 10 nâng cao): Giải và biện luận các bất ...
Bài 82 (trang 155 SGK Đại Số 10 nâng cao): Giải các bất phương trình sau:...
Bài 83 (trang 156 SGK Đại Số 10 nâng cao): Tìm các giá trị của m sao ...
Bài 84 (trang 156 SGK Đại Số 10 nâng cao): Tìm các giá trị của m sao ...
Bài 85 (trang 156 SGK Đại Số 10 nâng cao): Giải các bất phương trình sau:...
Bài 86 (trang 156 SGK Đại Số 10 nâng cao): Với các giá trị nào của a, ...
Bài 87 (trang 156 SGK Đại Số 10 nâng cao): Trong mỗi câu sau đây, ...
Bài 88 (trang 156 SGK Đại Số 10 nâng cao): a) Tập nghiệm của bất phương ...
Bài 89 (trang 157 SGK Đại Số 10 nâng cao): a) Tập nghiệm của bất phương ..
Để học tốt lớp 10 các môn học sách mới:
- Giải bài tập Lớp 10 Kết nối tri thức
- Giải bài tập Lớp 10 Chân trời sáng tạo
- Giải bài tập Lớp 10 Cánh diều
Tủ sách VIETJACK shopee lớp 10-11 (cả 3 bộ sách):
Đã có app VietJack trên điện thoại, giải bài tập SGK, SBT Soạn văn, Văn mẫu, Thi online, Bài giảng....miễn phí. Tải ngay ứng dụng trên Android và iOS.
Theo dõi chúng tôi miễn phí trên mạng xã hội facebook và youtube:Nếu thấy hay, hãy động viên và chia sẻ nhé! Các bình luận không phù hợp với nội quy bình luận trang web sẽ bị cấm bình luận vĩnh viễn.
- Giải Tiếng Anh 10 Global Success
- Giải Tiếng Anh 10 Friends Global
- Giải sgk Tiếng Anh 10 iLearn Smart World
- Giải sgk Tiếng Anh 10 Explore New Worlds
- Lớp 10 - Kết nối tri thức
- Soạn văn 10 (hay nhất) - KNTT
- Soạn văn 10 (ngắn nhất) - KNTT
- Soạn văn 10 (siêu ngắn) - KNTT
- Giải sgk Toán 10 - KNTT
- Giải sgk Vật lí 10 - KNTT
- Giải sgk Hóa học 10 - KNTT
- Giải sgk Sinh học 10 - KNTT
- Giải sgk Địa lí 10 - KNTT
- Giải sgk Lịch sử 10 - KNTT
- Giải sgk Kinh tế và Pháp luật 10 - KNTT
- Giải sgk Tin học 10 - KNTT
- Giải sgk Công nghệ 10 - KNTT
- Giải sgk Hoạt động trải nghiệm 10 - KNTT
- Giải sgk Giáo dục quốc phòng 10 - KNTT
- Lớp 10 - Chân trời sáng tạo
- Soạn văn 10 (hay nhất) - CTST
- Soạn văn 10 (ngắn nhất) - CTST
- Soạn văn 10 (siêu ngắn) - CTST
- Giải Toán 10 - CTST
- Giải sgk Vật lí 10 - CTST
- Giải sgk Hóa học 10 - CTST
- Giải sgk Sinh học 10 - CTST
- Giải sgk Địa lí 10 - CTST
- Giải sgk Lịch sử 10 - CTST
- Giải sgk Kinh tế và Pháp luật 10 - CTST
- Giải sgk Hoạt động trải nghiệm 10 - CTST
- Lớp 10 - Cánh diều
- Soạn văn 10 (hay nhất) - Cánh diều
- Soạn văn 10 (ngắn nhất) - Cánh diều
- Soạn văn 10 (siêu ngắn) - Cánh diều
- Giải sgk Toán 10 - Cánh diều
- Giải sgk Vật lí 10 - Cánh diều
- Giải sgk Hóa học 10 - Cánh diều
- Giải sgk Sinh học 10 - Cánh diều
- Giải sgk Địa lí 10 - Cánh diều
- Giải sgk Lịch sử 10 - Cánh diều
- Giải sgk Kinh tế và Pháp luật 10 - Cánh diều
- Giải sgk Tin học 10 - Cánh diều
- Giải sgk Công nghệ 10 - Cánh diều
- Giải sgk Hoạt động trải nghiệm 10 - Cánh diều
- Giải sgk Giáo dục quốc phòng 10 - Cánh diều


Giải bài tập SGK & SBT
Tài liệu giáo viên
Sách
Khóa học
Thi online
Hỏi đáp

