Giải bài 19 trang 226 SGK Đại Số và Giải Tích 11 nâng cao
Câu hỏi và bài tập ôn tập cuối năm
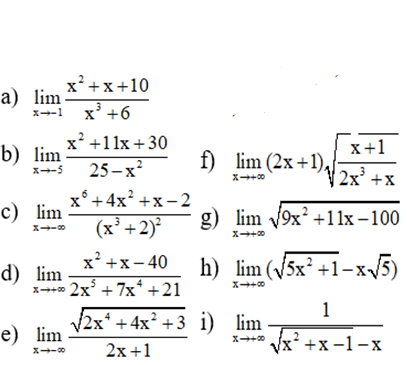
Bài 19 (trang 226 sgk Đại Số và Giải Tích 11 nâng cao): Tính các giới hạn của các hàm số sau:
Lời giải:
Các bài giải bài tập Đại Số và Giải Tích 11 nâng cao Bài Câu hỏi và bài tập ôn tập cuối năm khác:
Bài 1 (trang 223 SGK Đại Số và Giải Tích 11 nâng cao): a) Tính sin....
Bài 2 (trang 223 SGK Đại Số và Giải Tích 11 nâng cao): Giải phương trình ...
Bài 3 (trang 223 SGK Đại Số và Giải Tích 11 nâng cao): a) Tìm giá trị nhỏ nhất ...
Bài 4 (trang 223 SGK Đại Số và Giải Tích 11 nâng cao): Giải các phương trình ...
Bài 5 (trang 224 SGK Đại Số và Giải Tích 11 nâng cao): Giải các phương trình ...
Bài 6 (trang 224 SGK Đại Số và Giải Tích 11 nâng cao): Giải các phương trình ....
Bài 7 (trang 224 SGK Đại Số và Giải Tích 11 nâng cao): Một đoàn tàu ...
Bài 8 (trang 224 SGK Đại Số và Giải Tích 11 nâng cao): Cho tập hợp ...
Bài 9 (trang 224 SGK Đại Số và Giải Tích 11 nâng cao): Một túi chứa ...
Bài 10 (trang 224 SGK Đại Số và Giải Tích 11 nâng cao): Gọi X là biến ...
Bài 11 (trang 225 SGK Đại Số và Giải Tích 11 nâng cao): Ta đã biết ....
Bài 12 (trang 225 SGK Đại Số và Giải Tích 11 nâng cao): Cho dãy số ...
Bài 13 (trang 225 SGK Đại Số và Giải Tích 11 nâng cao): Cho dãy số ...
Bài 14 (trang 225 SGK Đại Số và Giải Tích 11 nâng cao): Cho dãy số ...
Bài 15 (trang 225 SGK Đại Số và Giải Tích 11 nâng cao): Các số x - y ...
Bài 16 (trang 226 SGK Đại Số và Giải Tích 11 nâng cao): Tính giới hạn ....
Bài 17 (trang 226 SGK Đại Số và Giải Tích 11 nâng cao): Tính giới hạn ...
Bài 18 (trang 226 SGK Đại Số và Giải Tích 11 nâng cao): Tìm số hạng đầu ...
Bài 19 (trang 226 SGK Đại Số và Giải Tích 11 nâng cao): Tính giới hạn ...
Bài 20 (trang 226 SGK Đại Số và Giải Tích 11 nâng cao): Chứng minh rằng ...
Bài 21 (trang 226 SGK Đại Số và Giải Tích 11 nâng cao): Tìm đạo hàm của ....
Bài 22 (trang 227 SGK Đại Số và Giải Tích 11 nâng cao): Cho hàm số y = ...
Bài 23 (trang 227 SGK Đại Số và Giải Tích 11 nâng cao): Giải các phương trình ...
Bài 24 (trang 227 SGK Đại Số và Giải Tích 11 nâng cao): Cho hyperbol ...
Bài 25 (trang 227 SGK Đại Số và Giải Tích 11 nâng cao): Một điểm M chuyển ...
Tủ sách VIETJACK shopee lớp 10-11 (cả 3 bộ sách):
Đã có app VietJack trên điện thoại, giải bài tập SGK, SBT Soạn văn, Văn mẫu, Thi online, Bài giảng....miễn phí. Tải ngay ứng dụng trên Android và iOS.
Theo dõi chúng tôi miễn phí trên mạng xã hội facebook và youtube:Nếu thấy hay, hãy động viên và chia sẻ nhé! Các bình luận không phù hợp với nội quy bình luận trang web sẽ bị cấm bình luận vĩnh viễn.
- Giải Tiếng Anh 11 Global Success
- Giải sgk Tiếng Anh 11 Smart World
- Giải sgk Tiếng Anh 11 Friends Global
- Lớp 11 - Kết nối tri thức
- Soạn văn 11 (hay nhất) - KNTT
- Soạn văn 11 (ngắn nhất) - KNTT
- Giải sgk Toán 11 - KNTT
- Giải sgk Vật Lí 11 - KNTT
- Giải sgk Hóa học 11 - KNTT
- Giải sgk Sinh học 11 - KNTT
- Giải sgk Lịch Sử 11 - KNTT
- Giải sgk Địa Lí 11 - KNTT
- Giải sgk Giáo dục KTPL 11 - KNTT
- Giải sgk Tin học 11 - KNTT
- Giải sgk Công nghệ 11 - KNTT
- Giải sgk Hoạt động trải nghiệm 11 - KNTT
- Giải sgk Giáo dục quốc phòng 11 - KNTT
- Giải sgk Âm nhạc 11 - KNTT
- Lớp 11 - Chân trời sáng tạo
- Soạn văn 11 (hay nhất) - CTST
- Soạn văn 11 (ngắn nhất) - CTST
- Giải sgk Toán 11 - CTST
- Giải sgk Vật Lí 11 - CTST
- Giải sgk Hóa học 11 - CTST
- Giải sgk Sinh học 11 - CTST
- Giải sgk Lịch Sử 11 - CTST
- Giải sgk Địa Lí 11 - CTST
- Giải sgk Giáo dục KTPL 11 - CTST
- Giải sgk Hoạt động trải nghiệm 11 - CTST
- Giải sgk Âm nhạc 11 - CTST
- Lớp 11 - Cánh diều
- Soạn văn 11 Cánh diều (hay nhất)
- Soạn văn 11 Cánh diều (ngắn nhất)
- Giải sgk Toán 11 - Cánh diều
- Giải sgk Vật Lí 11 - Cánh diều
- Giải sgk Hóa học 11 - Cánh diều
- Giải sgk Sinh học 11 - Cánh diều
- Giải sgk Lịch Sử 11 - Cánh diều
- Giải sgk Địa Lí 11 - Cánh diều
- Giải sgk Giáo dục KTPL 11 - Cánh diều
- Giải sgk Tin học 11 - Cánh diều
- Giải sgk Công nghệ 11 - Cánh diều
- Giải sgk Hoạt động trải nghiệm 11 - Cánh diều
- Giải sgk Giáo dục quốc phòng 11 - Cánh diều
- Giải sgk Âm nhạc 11 - Cánh diều


Giải bài tập SGK & SBT
Tài liệu giáo viên
Sách
Khóa học
Thi online
Hỏi đáp

