Giải bài 36 trang 42 SGK Đại Số và Giải Tích 11 nâng cao
Bài 3: Một số dạng phương trình lượng giác đơn giản
Bài 36 (trang 42 sgk Đại Số và Giải Tích 11 nâng cao): Giải các phương trình sau:
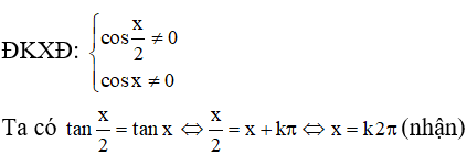
a) tan(x/2) = tanx
b) tan(2x + 10o) + cotx = 0
c) (1 - tanx)(1 + sin2x) = 1 + tanx
d) tanx + tan2x = sin3xcosx
e) tanx + cot2x = 2cot4x
Lời giải:
a)
b)
tan(2x + 10o) + cotx = 0 ⇔ tan(2x + 10o) = tan(90o + x)
⇔ 2x + 10o = 90o + x + k.180o ⇔ x = 80o + k.180o
Hiển nhiên x = 80o + k.180o thỏa mãn ĐKXĐ.
Vậy phương trình đã cho có nghiệm x = 80o + k.180o
c)
d) v
e) ĐKXĐ: cosx ≠ 0, sin2x ≠ 0, sin4x ≠ 0 nhưng chỉ cần sin4x ≠ 0 là đủ vì sin4x = 2sin2xcos2x = 4sinxcosxcos2x. Với điều kiện đó ta có:
Để là nghiệm các giá trị này còn phải thỏa mãn sin4x ≠ 0 . Ta có:
- Nếu k chia hết cho 3 tức là k = 3m, thì sin4x = sin4mπ = 0
- Nếu k không chia hết cho 3, tức là k = 3m + 1 , m ∈ Z thì :
Các bài giải bài tập Đại Số và Giải Tích 11 nâng cao Bài 3 Chương 1 khác:
Bài 27 (trang 41 SGK Đại Số và Giải Tích 11 nâng cao): Giải các phương trình sau : a)2cosx ...
Bài 28 (trang 41 SGK Đại Số và Giải Tích 11 nâng cao): Giải các phương trình sau : a)2cos2x ...
Bài 29 (trang 41 SGK Đại Số và Giải Tích 11 nâng cao): Giải các phương trình sau trên khoảng ...
Bài 30 (trang 41 SGK Đại Số và Giải Tích 11 nâng cao): Giải các phương trình sau : a) 3cosx + ...
Bài 31 (trang 41 SGK Đại Số và Giải Tích 11 nâng cao): Một vật nặng treo bởi một chiếc ....
Bài 32 (trang 42 SGK Đại Số và Giải Tích 11 nâng cao): Tìm giá trị lớn nhất và giá trị nhỏ ...
Bài 33 (trang 42 SGK Đại Số và Giải Tích 11 nâng cao): Giải các phương trình sau : a) 2sin2x ...
Bài 34 (trang 42 SGK Đại Số và Giải Tích 11 nâng cao): Sử dụng công thức biến đổi ...
Bài 35 (trang 42 SGK Đại Số và Giải Tích 11 nâng cao): Dùng công thức hạ bậc ...
Bài 36 (trang 42 SGK Đại Số và Giải Tích 11 nâng cao): Giải các phương trình sau : a) tanx/2....
Tủ sách VIETJACK shopee lớp 10-11 (cả 3 bộ sách):
Đã có app VietJack trên điện thoại, giải bài tập SGK, SBT Soạn văn, Văn mẫu, Thi online, Bài giảng....miễn phí. Tải ngay ứng dụng trên Android và iOS.
Theo dõi chúng tôi miễn phí trên mạng xã hội facebook và youtube:Nếu thấy hay, hãy động viên và chia sẻ nhé! Các bình luận không phù hợp với nội quy bình luận trang web sẽ bị cấm bình luận vĩnh viễn.
- Giải Tiếng Anh 11 Global Success
- Giải sgk Tiếng Anh 11 Smart World
- Giải sgk Tiếng Anh 11 Friends Global
- Lớp 11 - Kết nối tri thức
- Soạn văn 11 (hay nhất) - KNTT
- Soạn văn 11 (ngắn nhất) - KNTT
- Giải sgk Toán 11 - KNTT
- Giải sgk Vật Lí 11 - KNTT
- Giải sgk Hóa học 11 - KNTT
- Giải sgk Sinh học 11 - KNTT
- Giải sgk Lịch Sử 11 - KNTT
- Giải sgk Địa Lí 11 - KNTT
- Giải sgk Giáo dục KTPL 11 - KNTT
- Giải sgk Tin học 11 - KNTT
- Giải sgk Công nghệ 11 - KNTT
- Giải sgk Hoạt động trải nghiệm 11 - KNTT
- Giải sgk Giáo dục quốc phòng 11 - KNTT
- Giải sgk Âm nhạc 11 - KNTT
- Lớp 11 - Chân trời sáng tạo
- Soạn văn 11 (hay nhất) - CTST
- Soạn văn 11 (ngắn nhất) - CTST
- Giải sgk Toán 11 - CTST
- Giải sgk Vật Lí 11 - CTST
- Giải sgk Hóa học 11 - CTST
- Giải sgk Sinh học 11 - CTST
- Giải sgk Lịch Sử 11 - CTST
- Giải sgk Địa Lí 11 - CTST
- Giải sgk Giáo dục KTPL 11 - CTST
- Giải sgk Hoạt động trải nghiệm 11 - CTST
- Giải sgk Âm nhạc 11 - CTST
- Lớp 11 - Cánh diều
- Soạn văn 11 Cánh diều (hay nhất)
- Soạn văn 11 Cánh diều (ngắn nhất)
- Giải sgk Toán 11 - Cánh diều
- Giải sgk Vật Lí 11 - Cánh diều
- Giải sgk Hóa học 11 - Cánh diều
- Giải sgk Sinh học 11 - Cánh diều
- Giải sgk Lịch Sử 11 - Cánh diều
- Giải sgk Địa Lí 11 - Cánh diều
- Giải sgk Giáo dục KTPL 11 - Cánh diều
- Giải sgk Tin học 11 - Cánh diều
- Giải sgk Công nghệ 11 - Cánh diều
- Giải sgk Hoạt động trải nghiệm 11 - Cánh diều
- Giải sgk Giáo dục quốc phòng 11 - Cánh diều
- Giải sgk Âm nhạc 11 - Cánh diều


Giải bài tập SGK & SBT
Tài liệu giáo viên
Sách
Khóa học
Thi online
Hỏi đáp

