Giải bài 51 trang 221 SGK Đại Số và Giải Tích 11 nâng cao
Câu hỏi và bài tập chương 5
Bài 51 (trang 221 sgk Đại Số và Giải Tích 11 nâng cao): Tìm đạo hàm đến cấp được nêu kèm theo của các hàm số sau (n ∈ N*)
Lời giải:
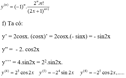
Bằng Phương pháp quy nạp ta chứng minh được:
Bằng Phương pháp quy nạp ta chứng minh được
Bằng Phương pháp quy nạp ta chứng minh được:
y (2n) = (-1) n2 2n-1cos2x
Các bài giải bài tập Đại Số và Giải Tích 11 nâng cao Bài Câu hỏi và bài tập chương 5 khác:
Bài 49 (trang 220 SGK Đại Số và Giải Tích 11 nâng cao): Tìm đạo hàm của ...
Bài 50 (trang 221 SGK Đại Số và Giải Tích 11 nâng cao): a) Chứng minh rằng ...
Bài 51 (trang 221 SGK Đại Số và Giải Tích 11 nâng cao): Tìm đạo hàm đến ....
Bài 52 (trang 221 SGK Đại Số và Giải Tích 11 nâng cao): Tính vi phân của ...
Bài 53 (trang 221 SGK Đại Số và Giải Tích 11 nâng cao): Gọi (C) là đồ thị ...
Bài 54 (trang 221 SGK Đại Số và Giải Tích 11 nâng cao): Tìm một điểm trên ...
Bài 55 (trang 221 SGK Đại Số và Giải Tích 11 nâng cao): Đồ thị (P) của một ...
Bài 56 (trang 221 SGK Đại Số và Giải Tích 11 nâng cao): Cho parabol (P) ....
Bài 57 (trang 222 SGK Đại Số và Giải Tích 11 nâng cao): Một chất điểm chuyển động ...
Tủ sách VIETJACK shopee lớp 10-11 (cả 3 bộ sách):
Đã có app VietJack trên điện thoại, giải bài tập SGK, SBT Soạn văn, Văn mẫu, Thi online, Bài giảng....miễn phí. Tải ngay ứng dụng trên Android và iOS.
Theo dõi chúng tôi miễn phí trên mạng xã hội facebook và youtube:Nếu thấy hay, hãy động viên và chia sẻ nhé! Các bình luận không phù hợp với nội quy bình luận trang web sẽ bị cấm bình luận vĩnh viễn.
- Giải Tiếng Anh 11 Global Success
- Giải sgk Tiếng Anh 11 Smart World
- Giải sgk Tiếng Anh 11 Friends Global
- Lớp 11 - Kết nối tri thức
- Soạn văn 11 (hay nhất) - KNTT
- Soạn văn 11 (ngắn nhất) - KNTT
- Giải sgk Toán 11 - KNTT
- Giải sgk Vật Lí 11 - KNTT
- Giải sgk Hóa học 11 - KNTT
- Giải sgk Sinh học 11 - KNTT
- Giải sgk Lịch Sử 11 - KNTT
- Giải sgk Địa Lí 11 - KNTT
- Giải sgk Giáo dục KTPL 11 - KNTT
- Giải sgk Tin học 11 - KNTT
- Giải sgk Công nghệ 11 - KNTT
- Giải sgk Hoạt động trải nghiệm 11 - KNTT
- Giải sgk Giáo dục quốc phòng 11 - KNTT
- Giải sgk Âm nhạc 11 - KNTT
- Lớp 11 - Chân trời sáng tạo
- Soạn văn 11 (hay nhất) - CTST
- Soạn văn 11 (ngắn nhất) - CTST
- Giải sgk Toán 11 - CTST
- Giải sgk Vật Lí 11 - CTST
- Giải sgk Hóa học 11 - CTST
- Giải sgk Sinh học 11 - CTST
- Giải sgk Lịch Sử 11 - CTST
- Giải sgk Địa Lí 11 - CTST
- Giải sgk Giáo dục KTPL 11 - CTST
- Giải sgk Hoạt động trải nghiệm 11 - CTST
- Giải sgk Âm nhạc 11 - CTST
- Lớp 11 - Cánh diều
- Soạn văn 11 Cánh diều (hay nhất)
- Soạn văn 11 Cánh diều (ngắn nhất)
- Giải sgk Toán 11 - Cánh diều
- Giải sgk Vật Lí 11 - Cánh diều
- Giải sgk Hóa học 11 - Cánh diều
- Giải sgk Sinh học 11 - Cánh diều
- Giải sgk Lịch Sử 11 - Cánh diều
- Giải sgk Địa Lí 11 - Cánh diều
- Giải sgk Giáo dục KTPL 11 - Cánh diều
- Giải sgk Tin học 11 - Cánh diều
- Giải sgk Công nghệ 11 - Cánh diều
- Giải sgk Hoạt động trải nghiệm 11 - Cánh diều
- Giải sgk Giáo dục quốc phòng 11 - Cánh diều
- Giải sgk Âm nhạc 11 - Cánh diều


Giải bài tập SGK & SBT
Tài liệu giáo viên
Sách
Khóa học
Thi online
Hỏi đáp

