Giải bài 16 trang 213 SGK Giải Tích 12 nâng cao
Câu hỏi và bài tập ôn tập cuối năm
Bài 16 (trang 213 sgk Giải Tích 12 nâng cao):
a) Cho hình thang cong A giới hạn bởi đồ thị hàm số y=ex, trục hoành và các đường thẳng x = 0 và x = 1. Tính thể tích khối tròn xoay tạo được khi quay A quang trục hoành.
b) Cho hình phẳng B giới hạn bởi parabol y=x2+1 và đường thẳng y = 2. Tính thể tích khối tròn xoay tạo được khi quay B quanh trục tung.
Lời giải:
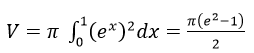
a) Thể tích cần tìm là:
b) Do y= x2 + 1 nên x2 = y- 1. Thể tích cần tìm là:
Các bài giải bài tập Giải Tích 12 nâng cao Bài Ôn tập cuối năm khác:
BÀI TẬP TỰ LUẬN
Bài 2 (trang 211 SGK Giải Tích 12 nâng cao): a) Khảo sát sự biến thiên và vẽ đồ thị của hàm số...
Bài 3 (trang 211 SGK Giải Tích 12 nâng cao): Gọi (C) là đồ thị của hàm số y = lnx và (D)...
Bài 4 (trang 212 SGK Giải Tích 12 nâng cao): Một xưởng in có 8 máy in, mỗi máy in được 3600 bản...
Bài 5 (trang 212 SGK Giải Tích 12 nâng cao): Tìm giá trị lớn nhất và giá trị nhỏ nhất...
Bài 8 (trang 212 SGK Giải Tích 12 nâng cao): a) Tìm đạo hàm của các hàm só y - cosx.e2tanx...
Bài 9 (trang 212 SGK Giải Tích 12 nâng cao): a) Vẽ đồ thị của các hàm số y = 2x,...
Bài 10 (trang 212 SGK Giải Tích 12 nâng cao): Giải các phương trình và hệ phương trình...
Bài 11 (trang 213 SGK Giải Tích 12 nâng cao): Tìm tập xác định của các hàm số sau....
Bài 12 (trang 213 SGK Giải Tích 12 nâng cao): Tìm nguyên hàm của mỗi hàm số sau...
Bài 13 (trang 213 SGK Giải Tích 12 nâng cao): Tìm hàm số f, biết rằng f'(x)...
Bài 14 (trang 213 SGK Giải Tích 12 nâng cao): Tính các tích phân sau...
Bài 15 (trang 213 SGK Giải Tích 12 nâng cao): Tính diện tích các hình phẳng giới hạn...
Bài 16 (trang 213 SGK Giải Tích 12 nâng cao): a) Cho hình thang cong A giới hạn bởi đồ thị....
Bài 17 (trang 213 SGK Giải Tích 12 nâng cao): Cho các số phức z1 = 1 + i, z2 = 1 - 2i. Hãy tính...
Bài 19 (trang 214 SGK Giải Tích 12 nâng cao): a) Xác định phần thực của số phức...
Bài 20 (trang 214 SGK Giải Tích 12 nâng cao): Xác định tập hợp các điểm M trên mặt phẳng...
Bài 21 (trang 214 SGK Giải Tích 12 nâng cao): Tìm các căn bậc hai của mỗi số phức....
Bài 22 (trang 214 SGK Giải Tích 12 nâng cao): Giải các phương trình sau trên C...
Bài 24 (trang 214 SGK Giải Tích 12 nâng cao): Hàm số f(x) = ...
BÀI TẬP TRẮC NGHIỆM KHÁCH QUAN
Bài 25 (trang 215 SGK Giải Tích 12 nâng cao): Hàm số f(x) = sin2x - 2sinx có...
Bài 26 (trang 215 SGK Giải Tích 12 nâng cao): Gọi (C) là đồ thị của hàm số....
Bài 27 (trang 215 SGK Giải Tích 12 nâng cao): Đồ thị của hàm số y = x3 - x + 1 tiếp xúc...
Bài 28 (trang 215 SGK Giải Tích 12 nâng cao): Cho hai số dương a và b. Đặt X=...
Bài 29 (trang 215 SGK Giải Tích 12 nâng cao): Cho hai số không âm a và b...
Bài 30 (trang 215 SGK Giải Tích 12 nâng cao): Cho (C) là dồ thị của hàm số y = log2x...
Bài 31 (trang 216 SGK Giải Tích 12 nâng cao): Cho hàm số f(x) = log5(x2 + 1)....
Bài 32 (trang 216 SGK Giải Tích 12 nâng cao): Biết rằng đồ thị của hàm số y = ax và đồ thị...
Bài 33 (trang 216 SGK Giải Tích 12 nâng cao): Cho hàm số f(x)=...
Bài 35 (trang 216 SGK Giải Tích 12 nâng cao): Gọi S là tập hợp tất cả các số nguyên dương...
Bài 36 (trang 217 SGK Giải Tích 12 nâng cao): Cho số phức z tùy ý. Xét....
Bài 37 (trang 217 SGK Giải Tích 12 nâng cao): Cho số phức tùy ý z...
Bài 38 (trang 217 SGK Giải Tích 12 nâng cao): Nếu môđun của số phức z bằng...
Đã có app VietJack trên điện thoại, giải bài tập SGK, SBT Soạn văn, Văn mẫu, Thi online, Bài giảng....miễn phí. Tải ngay ứng dụng trên Android và iOS.
Theo dõi chúng tôi miễn phí trên mạng xã hội facebook và youtube:Nếu thấy hay, hãy động viên và chia sẻ nhé! Các bình luận không phù hợp với nội quy bình luận trang web sẽ bị cấm bình luận vĩnh viễn.
- Giải Tiếng Anh 12 Global Success
- Giải sgk Tiếng Anh 12 Smart World
- Giải sgk Tiếng Anh 12 Friends Global
- Lớp 12 Kết nối tri thức
- Soạn văn 12 (hay nhất) - KNTT
- Soạn văn 12 (ngắn nhất) - KNTT
- Giải sgk Toán 12 - KNTT
- Giải sgk Vật Lí 12 - KNTT
- Giải sgk Hóa học 12 - KNTT
- Giải sgk Sinh học 12 - KNTT
- Giải sgk Lịch Sử 12 - KNTT
- Giải sgk Địa Lí 12 - KNTT
- Giải sgk Giáo dục KTPL 12 - KNTT
- Giải sgk Tin học 12 - KNTT
- Giải sgk Công nghệ 12 - KNTT
- Giải sgk Hoạt động trải nghiệm 12 - KNTT
- Giải sgk Giáo dục quốc phòng 12 - KNTT
- Giải sgk Âm nhạc 12 - KNTT
- Giải sgk Mĩ thuật 12 - KNTT
- Lớp 12 Chân trời sáng tạo
- Soạn văn 12 (hay nhất) - CTST
- Soạn văn 12 (ngắn nhất) - CTST
- Giải sgk Toán 12 - CTST
- Giải sgk Vật Lí 12 - CTST
- Giải sgk Hóa học 12 - CTST
- Giải sgk Sinh học 12 - CTST
- Giải sgk Lịch Sử 12 - CTST
- Giải sgk Địa Lí 12 - CTST
- Giải sgk Giáo dục KTPL 12 - CTST
- Giải sgk Tin học 12 - CTST
- Giải sgk Hoạt động trải nghiệm 12 - CTST
- Giải sgk Âm nhạc 12 - CTST
- Lớp 12 Cánh diều
- Soạn văn 12 Cánh diều (hay nhất)
- Soạn văn 12 Cánh diều (ngắn nhất)
- Giải sgk Toán 12 Cánh diều
- Giải sgk Vật Lí 12 - Cánh diều
- Giải sgk Hóa học 12 - Cánh diều
- Giải sgk Sinh học 12 - Cánh diều
- Giải sgk Lịch Sử 12 - Cánh diều
- Giải sgk Địa Lí 12 - Cánh diều
- Giải sgk Giáo dục KTPL 12 - Cánh diều
- Giải sgk Tin học 12 - Cánh diều
- Giải sgk Công nghệ 12 - Cánh diều
- Giải sgk Hoạt động trải nghiệm 12 - Cánh diều
- Giải sgk Giáo dục quốc phòng 12 - Cánh diều
- Giải sgk Âm nhạc 12 - Cánh diều


Giải bài tập SGK & SBT
Tài liệu giáo viên
Sách
Khóa học
Thi online
Hỏi đáp

