Giải bài 37 trang 36 SGK Giải Tích 12 nâng cao
Luyện tập (trang 36)
Bài 37 (trang 36 sgk Giải Tích 12 nâng cao):Tìm các tiệm cận của mỗi đồ thị hàm số sau:
Lời giải:
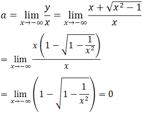
a) TXĐ: D = (-∞; -1] ∪[1; +∞)
Vậy đường thẳng y = 2x là tiệm cận xiên của đồ thị (khi x->+∞)
Vậy đường thẳng y = 0 là tiệm cận ngang của đồ thị (khi x → -∞)
Kết luận: các đường tiệm cận của đồ thị là: y = 2x (khi x → +∞), y=0 (khi x → -∞)
b) TXĐ: D = (-∞; 1] ∪[3; +∞)
Ta có:
Vậy đường thẳng y = -x + 2 là tiệm cận xiên của đồ thị (khi x → -∞)
Đường thẳng y = x – 2 là tiệm cận xiên của đồ thị (khi x → -∞)
TXĐ: D = R
Ta có:
Vậy đường thẳng y = -x là tiệm cận xiên của đồ thị (khi x → -∞)
Đường thẳng y = x là tiệm cận xiên của đồ thị (khi x → -∞)
Kết luận: Tiệm cận của đồ thị là: y = -x, (khi x → -∞) và y = x (khi x → +∞)
d) TXĐ: D = R \ {± 1}
nên đường thẳng x = -1 là tiệm cận đứng của đồ thị (khi x → (-1)- và khi x → (-1)+).
Tương tự, đường thẳng x = 1 là tiệm cận đứng của đồ thị hàm số (khi x → 1- và khi x → 1+)
Nên đường thẳng y = 1 là tiệm cận ngang của đồ thị (khi x → -∞) và khi x → +∞)
Các bài giải bài tập Giải Tích 12 nâng cao Bài Luyện tập (trang 36) khác:
Bài 37 (trang 36 SGK Giải Tích 12 nâng cao): Tìm các đường tiệm cận của đồ thị....
Bài 38 (trang 36 SGK Giải Tích 12 nâng cao):a) Tìm tiệm cận đứng và tiệm cận xiên ...
Bài 39 (trang 36 SGK Giải Tích 12 nâng cao): Cùng các câu hỏi như trong bài tập 38...
Đã có app VietJack trên điện thoại, giải bài tập SGK, SBT Soạn văn, Văn mẫu, Thi online, Bài giảng....miễn phí. Tải ngay ứng dụng trên Android và iOS.
Theo dõi chúng tôi miễn phí trên mạng xã hội facebook và youtube:Nếu thấy hay, hãy động viên và chia sẻ nhé! Các bình luận không phù hợp với nội quy bình luận trang web sẽ bị cấm bình luận vĩnh viễn.
- Giải Tiếng Anh 12 Global Success
- Giải sgk Tiếng Anh 12 Smart World
- Giải sgk Tiếng Anh 12 Friends Global
- Lớp 12 Kết nối tri thức
- Soạn văn 12 (hay nhất) - KNTT
- Soạn văn 12 (ngắn nhất) - KNTT
- Giải sgk Toán 12 - KNTT
- Giải sgk Vật Lí 12 - KNTT
- Giải sgk Hóa học 12 - KNTT
- Giải sgk Sinh học 12 - KNTT
- Giải sgk Lịch Sử 12 - KNTT
- Giải sgk Địa Lí 12 - KNTT
- Giải sgk Giáo dục KTPL 12 - KNTT
- Giải sgk Tin học 12 - KNTT
- Giải sgk Công nghệ 12 - KNTT
- Giải sgk Hoạt động trải nghiệm 12 - KNTT
- Giải sgk Giáo dục quốc phòng 12 - KNTT
- Giải sgk Âm nhạc 12 - KNTT
- Giải sgk Mĩ thuật 12 - KNTT
- Lớp 12 Chân trời sáng tạo
- Soạn văn 12 (hay nhất) - CTST
- Soạn văn 12 (ngắn nhất) - CTST
- Giải sgk Toán 12 - CTST
- Giải sgk Vật Lí 12 - CTST
- Giải sgk Hóa học 12 - CTST
- Giải sgk Sinh học 12 - CTST
- Giải sgk Lịch Sử 12 - CTST
- Giải sgk Địa Lí 12 - CTST
- Giải sgk Giáo dục KTPL 12 - CTST
- Giải sgk Tin học 12 - CTST
- Giải sgk Hoạt động trải nghiệm 12 - CTST
- Giải sgk Âm nhạc 12 - CTST
- Lớp 12 Cánh diều
- Soạn văn 12 Cánh diều (hay nhất)
- Soạn văn 12 Cánh diều (ngắn nhất)
- Giải sgk Toán 12 Cánh diều
- Giải sgk Vật Lí 12 - Cánh diều
- Giải sgk Hóa học 12 - Cánh diều
- Giải sgk Sinh học 12 - Cánh diều
- Giải sgk Lịch Sử 12 - Cánh diều
- Giải sgk Địa Lí 12 - Cánh diều
- Giải sgk Giáo dục KTPL 12 - Cánh diều
- Giải sgk Tin học 12 - Cánh diều
- Giải sgk Công nghệ 12 - Cánh diều
- Giải sgk Hoạt động trải nghiệm 12 - Cánh diều
- Giải sgk Giáo dục quốc phòng 12 - Cánh diều
- Giải sgk Âm nhạc 12 - Cánh diều


Giải bài tập SGK & SBT
Tài liệu giáo viên
Sách
Khóa học
Thi online
Hỏi đáp

