Giải bài 42 trang 44 SGK Giải Tích 12 nâng cao
Bài 6: Khảo sát sự biến thiên và vẽ đồ thị của một số hàm đa thức
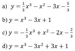
Bài 42 (trang 44 sgk Giải Tích 12 12 nâng cao): Khảo sát và vẽ đồ thị của các hàm số sau:
Lời giải:
a) * TXĐ: R
y'> 0 trên khoảng (-∞; -1)và(3; +∞)
y'< 0 trên khoảng (-1; 3)
yCT=y(3)=-32/3;yCĐ=y(-1)=0
y''=2x-2=2(x-1)=0 < ⇒ x = 1
Bảng xét dấu y’’
Hàm số lồi trên khoảng (-∞; 1).
Hàm số lõm trên khoảng (1; +∞)
Hàm số có 1 điểm uốn u(1; -16/3)
Bảng biến thiên
- Đồ thị
Đi qua (0; -5/3);(5;0)
b) TXĐ: R
y'=3x^2-3=0 < ⇒ x=±1
y'> 0 trên khoảng (-∞; -1)và (1; +∞)
y'< 0 trên khoảng (-1; 1)
yCĐ=y(-1)=3;yCT=y(1)=-1
Bảng xét dấu y’’
| X | -∞ | 0 | +∞ | ||
| Y’’ | - | 0 | + | ||
| Đồ thị | Lồi | điểm uốn u(0; 1) | lõm |
Hàm số có 1 điểm uốn U(0; 1)
• Bảng biến thiên
• Đồ thị
Đi qua (0; 1)
+ Tập xác định D = R.
y'=-x2+2x-2=-[(x-1)2+1]<0 ∀x ∈D
- Hàm số luôn nghịch biến trên khoảng (-∞; +∞)
- Hàm số không có cực trị
- Đồ thị không có tiệm cận.
y''=-2x+2;y''=0 ⇒ x = 1
- Hàm số lồi trên (1; +∞)lõm trên (-∞;1) nhận I(1; -2) làm điểm uốn.
Bảng biến thiên.
d) y=x3-3x2+3x+1
Tập xác định D = R
y'=3x2-6x+3=3(x-1)2>0 ∀x ∈D
- Hàm số luôn đồng biến (-∞; +∞)
- Hàm số không có cực trị
limx→-∞y = + ∞; limx→+∞ y = - ∞
- Đồ thị không có tiệm cận
y'' = 6x-6; y'' = 0 ⇒ x = 1
- Đồ thị lồi trên (-∞;1)
- Đồ thị lõm trên (1; +∞)
Đồ thị nhận I(1; 2) làm tâm đối xứng.
Bảng biến thiên
Các bài giải bài tập Giải Tích 12 nâng cao Bài 6 Chương 1 khác:
Bài 40 (trang 43 SGK Giải Tích 12 nâng cao): a) Khảo sát sự biến thiên và vẽ đồ của hàm số...
Bài 41 (trang 44 SGK Giải Tích 12 nâng cao): a) Khảo sát sự biến thiên và vẽ đồ thị của hàm số...
Bài 42 (trang 44 SGK Giải Tích 12 nâng cao): Khảo sát sự biến thiên và vẽ đồ thị...
Bài 43 (trang 44 SGK Giải Tích 12 nâng cao): a) Khảo sát sự biến thiên và vẽ đồ thị...
Bài 44 (trang 44 SGK Giải Tích 12 nâng cao): Khảo sát sự biến thiên và vẽ đồ thị của...
Đã có app VietJack trên điện thoại, giải bài tập SGK, SBT Soạn văn, Văn mẫu, Thi online, Bài giảng....miễn phí. Tải ngay ứng dụng trên Android và iOS.
Theo dõi chúng tôi miễn phí trên mạng xã hội facebook và youtube:Nếu thấy hay, hãy động viên và chia sẻ nhé! Các bình luận không phù hợp với nội quy bình luận trang web sẽ bị cấm bình luận vĩnh viễn.
- Giải Tiếng Anh 12 Global Success
- Giải sgk Tiếng Anh 12 Smart World
- Giải sgk Tiếng Anh 12 Friends Global
- Lớp 12 Kết nối tri thức
- Soạn văn 12 (hay nhất) - KNTT
- Soạn văn 12 (ngắn nhất) - KNTT
- Giải sgk Toán 12 - KNTT
- Giải sgk Vật Lí 12 - KNTT
- Giải sgk Hóa học 12 - KNTT
- Giải sgk Sinh học 12 - KNTT
- Giải sgk Lịch Sử 12 - KNTT
- Giải sgk Địa Lí 12 - KNTT
- Giải sgk Giáo dục KTPL 12 - KNTT
- Giải sgk Tin học 12 - KNTT
- Giải sgk Công nghệ 12 - KNTT
- Giải sgk Hoạt động trải nghiệm 12 - KNTT
- Giải sgk Giáo dục quốc phòng 12 - KNTT
- Giải sgk Âm nhạc 12 - KNTT
- Giải sgk Mĩ thuật 12 - KNTT
- Lớp 12 Chân trời sáng tạo
- Soạn văn 12 (hay nhất) - CTST
- Soạn văn 12 (ngắn nhất) - CTST
- Giải sgk Toán 12 - CTST
- Giải sgk Vật Lí 12 - CTST
- Giải sgk Hóa học 12 - CTST
- Giải sgk Sinh học 12 - CTST
- Giải sgk Lịch Sử 12 - CTST
- Giải sgk Địa Lí 12 - CTST
- Giải sgk Giáo dục KTPL 12 - CTST
- Giải sgk Tin học 12 - CTST
- Giải sgk Hoạt động trải nghiệm 12 - CTST
- Giải sgk Âm nhạc 12 - CTST
- Lớp 12 Cánh diều
- Soạn văn 12 Cánh diều (hay nhất)
- Soạn văn 12 Cánh diều (ngắn nhất)
- Giải sgk Toán 12 Cánh diều
- Giải sgk Vật Lí 12 - Cánh diều
- Giải sgk Hóa học 12 - Cánh diều
- Giải sgk Sinh học 12 - Cánh diều
- Giải sgk Lịch Sử 12 - Cánh diều
- Giải sgk Địa Lí 12 - Cánh diều
- Giải sgk Giáo dục KTPL 12 - Cánh diều
- Giải sgk Tin học 12 - Cánh diều
- Giải sgk Công nghệ 12 - Cánh diều
- Giải sgk Hoạt động trải nghiệm 12 - Cánh diều
- Giải sgk Giáo dục quốc phòng 12 - Cánh diều
- Giải sgk Âm nhạc 12 - Cánh diều


Giải bài tập SGK & SBT
Tài liệu giáo viên
Sách
Khóa học
Thi online
Hỏi đáp

